-
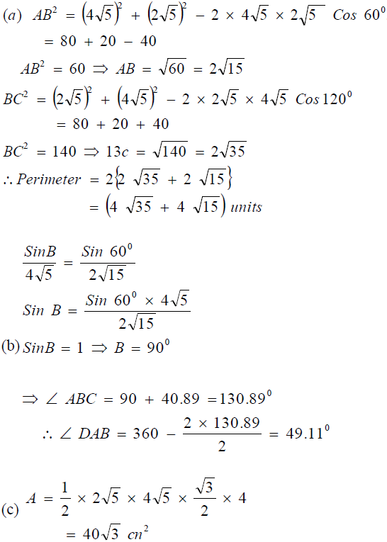
Four ships are at sea, such that ship B is 520km on a bearing of 2100 from ship A. Ship C is
due North of ship...
(Solved)
Four ships are at sea, such that ship B is 520km on a bearing of 2100 from ship A. Ship C is
due North of ship B and due west of ship A. The fourth ship D is 100km on a bearing of 3400
from ship A and 240km on a bearing of 0700 from C.
(a) Draw a rough sketch showing the positions of ships A, B, C and D.
(b) Use your sketch to find the size of
(i) angle ADC
(ii) angle BAD
(c) calculate to the nearest whole number
(i) the distance of C from A.
(ii) the area of the quadrilateral ABCD.
(iii) determine the bearing of B from D
Date posted:
August 6, 2019
.
Answers (1)
-
The prices of admission to a concert are as follows:
Primary school children - Ksh. 100 each
Secondary students - Ksh. 200
University - ksh. 400
One day the...
(Solved)
The prices of admission to a concert are as follows:
Primary school children - Ksh. 100 each
Secondary students - Ksh. 200
University - ksh. 400
One day the money taken from the university students was twice the proceeds of the
primary sales while four times as many as tickets sold to secondary as to primary. If the
total collections at the ticket office were Sh. 22,000, find the number of tickets which
were sold altogether.
Date posted:
August 6, 2019
.
Answers (1)
-
A two digit number is such that its value is equal four times the sum of its digits. If the digits
are interchanged, the new number...
(Solved)
A two digit number is such that its value is equal four times the sum of its digits. If the digits
are interchanged, the new number formed exceeds two-thirds of the original number by 52.
Find the original number.
Date posted:
August 6, 2019
.
Answers (1)
-
Using a ruler and a pair of compasses only construct.
a) A line PQ, 8cm long. On the line construct triangle PQR such that angle QPR...
(Solved)
Using a ruler and a pair of compasses only construct.
a) A line PQ, 8cm long. On the line construct triangle PQR such that angle QPR = 750 and
line PR = 7cm. measure line QR
b) Construct a circum circle of triangle PQR.
Date posted:
August 6, 2019
.
Answers (1)
-
A helicopter is stationed at an airport H on a bearing of 0600 and 800km from another
airport P. A third airport J is on a...
(Solved)
A helicopter is stationed at an airport H on a bearing of 0600 and 800km from another
airport P. A third airport J is on a bearing of 1400 and 1200km from H.
a) Using a scale of 1cm rep. 100km.
(i) Show the relative positions of P, H and J
(ii) Determine the distance between P and J.
b) A jet flying at a speed of 1.035Km/hr left J towards P. The helicopter at H also took
off towards P at the same time. Find the speed at which the helicopter will fly so as to
arrive at P, 12 minutes later than the jet.
Date posted:
August 6, 2019
.
Answers (1)
-
A straight line passing through the points (8,-2) and (4,-4) has its equation in the form ax +
by + c = 0, where a, b...
(Solved)
A straight line passing through the points (8,-2) and (4,-4) has its equation in the form ax +
by + c = 0, where a, b and c are integers.
a) Determine the numerical values of a, b and c.
b) If the line in (a) above cuts the x-axis at point P, determine the coordinates of P.
c) Another line, which is perpendicular to the line in (a) above passes through point P and cuts the
y axis at Q. determine the coordinates of point Q.
d) Find the length of QP
Date posted:
August 6, 2019
.
Answers (1)
-
The figure below shows the graph of logy against logX
(Solved)
The figure below shows the graph of logy against logX

If the law connecting x and y is of the form y = axb, where a and b are constants. Find the
values of a and b.
Date posted:
August 6, 2019
.
Answers (1)
-
The figure shows a circle centre O with line POS as a diameter. QOR is an equilateral
triangle and PT =ST. given that angle POQ =640,...
(Solved)
The figure shows a circle centre O with line POS as a diameter. QOR is an equilateral
triangle and PT =ST. given that angle POQ =640, find the sizes of angle SPT and angle STR.

Date posted:
August 6, 2019
.
Answers (1)
-
A man invests Ksh. 24,000 in an account which pays 16% interest p.a. the interest is compounded quarterly. Find the amount in the account after...
(Solved)
A man invests Ksh. 24,000 in an account which pays 16% interest p.a. the interest iscompounded quarterly. Find the amount in the account after 1 ½ years.
Date posted:
August 6, 2019
.
Answers (1)
-
Given the simultaneous equations:
5x + y = 19
-x + 3y = 9
Write down the equations in matrix form hence find the values of x and...
(Solved)
Given the simultaneous equations:
5x + y = 19
-x + 3y = 9
Write down the equations in matrix form hence find the values of x and y.
Date posted:
August 6, 2019
.
Answers (1)
-
Use table of cubes and reciprocals to evaluate.
(Solved)
Use table of cubes and reciprocals to evaluate.

Date posted:
August 6, 2019
.
Answers (1)
-
The figure below shows speed time graph of a journey. If total distance travelled in 80
second is 920m
i. Calculate the acceleration during the first 15...
(Solved)
The figure below shows speed time graph of a journey. If total distance travelled in 80
second is 920m

a. Calculate the acceleration during the first 15 seconds.
b. The distance travelled in the final 40 seconds.
Date posted:
August 6, 2019
.
Answers (1)
-
The surface area of a spherical ball is increased by 21% after pressure was pumped in.
The surface area of a spherical ball is increased by...
(Solved)
The surface area of a spherical ball is increased by 21% after pressure was pumped in.
(a) Find the circumference of the original ball if the one with increased pressure has a
circumference of 55cm.
(b) Calculate the percentage increase in volume of the ball.
Date posted:
August 6, 2019
.
Answers (1)
-
Solve for x in the equation
(Solved)
Solve for x in the equation

Date posted:
August 6, 2019
.
Answers (1)
-
Wasike and Wanjala live 40km apart. Wasike starts cycling from his home at 8.00a.m
toward’s Wanjala’s house at 16km/h. Wanjala stars cycling towards Wasike’s house 30
minutes...
(Solved)
Wasike and Wanjala live 40km apart. Wasike starts cycling from his home at 8.00a.m
toward’s Wanjala’s house at 16km/h. Wanjala stars cycling towards Wasike’s house 30
minutes later at 8km/h. what time did they meet.
Date posted:
August 6, 2019
.
Answers (1)
-
The actual area of an estate is 3510 hectares. The estate is represented by a rectangle
measuring 2.6cm by 1.5 cm on the map whose scale...
(Solved)
The actual area of an estate is 3510 hectares. The estate is represented by a rectangle
measuring 2.6cm by 1.5 cm on the map whose scale is 1:n. Find the value of n.
Date posted:
August 6, 2019
.
Answers (1)
-
The circle below whose area is 18.05 cm2 circumscribes a triangle ABC where AB = 6.3
cm, BC = 5.7 and AC = 4.8cm. Find the...
(Solved)
The circle below whose area is 18.05 cm2 circumscribes a triangle ABC where AB = 6.3
cm, BC = 5.7 and AC = 4.8cm. Find the area of the shaded part.

Date posted:
August 6, 2019
.
Answers (1)
-
The hire purchase term of a cupboard is a deposit of Ksh. 4,400 and six monthly
instalments of ksh. 900 each. The hire purchase price is...
(Solved)
The hire purchase term of a cupboard is a deposit of Ksh. 4,400 and six monthly
instalments of ksh. 900 each. The hire purchase price is 175% of the cost price while the
cash price is 25% more than the cost price. What is the cash price of the cupboard?
Date posted:
August 6, 2019
.
Answers (1)
-
A cold water tap can fill a bath in 10 minutes while a hot water tap can fill it in 8 minutes.
The drainage pipe can...
(Solved)
A cold water tap can fill a bath in 10 minutes while a hot water tap can fill it in 8 minutes.
The drainage pipe can empty it in 5 minutes. The cold water and hot water taps are left
running for 4 minutes. After which all the three taps are left running. Find how long it
takes to fill the bath.
Date posted:
August 6, 2019
.
Answers (1)
-
Find the integral values of the following simultaneous linear inequalities.
(Solved)
Find the integral values of the following simultaneous linear inequalities.

Date posted:
August 6, 2019
.
Answers (1)