-
The figure drawn below is a square ABCD of sides 36.75cm.
(Solved)
The figure drawn below is a square ABCD of sides 36.75cm. The shaded area is formed out of
two segments. DCB and DKB. Find the area of the shaded region.

Date posted:
August 8, 2019
.
Answers (1)
-
Find all the integral values of x which satisfy the inequalities.
x + 8 > 4x - 6 = 3(4 - x)
(Solved)
Find all the integral values of x which satisfy the inequalities.
x + 8 > 4x - 6 ≥ 3(4 - x)
Date posted:
August 8, 2019
.
Answers (1)
-
A Kenyan bank buys and sells foreign currencies at the exchange rates shown below
(Solved)
A Kenyan bank buys and sells foreign currencies at the exchange rates shown below

An American arrived in Kenya with 20,000 Euros. He converted all the Euros to Kenya shillings at the bank. He spent Ksh 2510200 while in Kenya and converted the remaining Kenya shillings into US dollars at the bank. Find the amount in Dollars that he received.
Date posted:
August 8, 2019
.
Answers (1)
-
If the points x, y and z are collinear, find the value of t
(Solved)
The position vectors of points x, y and z are
respectively. If the points x, y and z are collinear, find the value of t
Date posted:
August 8, 2019
.
Answers (1)
-
Triangle ABC has vertices A at (1, 4) and B at (0, 1) and the line y = x + 1 and its axis of
symmetry....
(Solved)
Triangle ABC has vertices A at (1, 4) and B at (0, 1) and the line y = x + 1 and its axis of
symmetry. Find the co-ordinates of C.
Date posted:
August 8, 2019
.
Answers (1)
-
Find by calculation the sum of all the interior angles in the figure ABCDEFGHI below
(Solved)
Find by calculation the sum of all the interior angles in the figure ABCDEFGHI below

Date posted:
August 8, 2019
.
Answers (1)
-
The table below shows the number of goals scored in 40 soccer matches during a certain season.
(Solved)
The table below shows the number of goals scored in 40 soccer matches during a certain season.

Calculate the mean number of goals scored per match.
Date posted:
August 8, 2019
.
Answers (1)
-
Use mathematical tables to evaluate to 4 decimal places.
(Solved)
Use mathematical tables to evaluate to 4 decimal places.

Date posted:
August 8, 2019
.
Answers (1)
-
Given that position vectors of points A and B are as given below and C is a point on AB such that AC : CB...
(Solved)
Given that position vectors of points A and B are as given below and C is a point on AB such that AC : CB = 1 : 2. Find the coordinates of the point C.

Date posted:
August 8, 2019
.
Answers (1)
-
Simplify the expression
(Solved)
Simplify the expression 
Date posted:
August 8, 2019
.
Answers (1)
-
Make x the subject of the formula
(Solved)
Make x the subject of the formula 
Date posted:
August 8, 2019
.
Answers (1)
-
Solve the simultaneous equations
xy = 4
x + y = 5
(Solved)
Solve the simultaneous equations
xy = 4
x + y = 5
Date posted:
August 8, 2019
.
Answers (1)
-
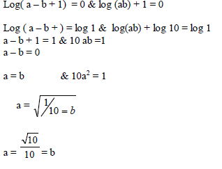
Find t
(Solved)

Date posted:
August 8, 2019
.
Answers (1)
-
Evaluate the expression.
(Solved)
Evaluate the expression.

Date posted:
August 8, 2019
.
Answers (1)
-
A trouser whose marked price is Kshs 800 is sold to a customer after allowing him a discount of
13%.
(Solved)
A trouser whose marked price is Kshs 800 is sold to a customer after allowing him a discount of
13%. If the trader makes a profit of 20%, find how much the trader paid for the trouser.
Date posted:
August 8, 2019
.
Answers (1)
-
In the given figure, GJ is parallel to HI, FH is parallel to CJ.
(Solved)
In the given figure, GJ is parallel to HI, FH is parallel to CJ. Angle AGB = 300 and angle AHC
= 630. Find angle GCJ.

Date posted:
August 8, 2019
.
Answers (1)
-
Express the number 1470 and 7056 each as a product of its prime factor.
(Solved)
Express the number 1470 and 7056 each as a product of its prime factor. Hence evaluate
leaving the answer in prime factor form.
Date posted:
August 8, 2019
.
Answers (1)
-
The diameter of a circle to 2 s.f is given by 2.8cm. By taking pi = 3.142, calculate the percentage error in the determination of...
(Solved)
The diameter of a circle to 2 s.f is given by 2.8cm. By taking pi = 3.142, calculate the percentage error in the determination of its perimeter correct to 4 d.p
Date posted:
August 7, 2019
.
Answers (1)
-
Find the equation of the perpendicular bisector of the line segment passing through the points A(4,3) and B(2,7) in the form y=mx + c.
(Solved)
Find the equation of the perpendicular bisector of the line segment passing through the points A(4,3) and B(2,7) in the form y=mx + c.
Date posted:
August 7, 2019
.
Answers (1)
-
A UK tourist comes to Kenya with £30, 000. He pays 20% commission at the airport and his expenses in Kenya amounted to Kshs. 90,000....
(Solved)
A UK tourist comes to Kenya with £30, 000. He pays 20% commission at the airport and his expenses in Kenya amounted to Kshs. 90,000. How much money did he remain with in Ksh?(Take 1 UK £ = Kshs 70.50)
Date posted:
August 7, 2019
.
Answers (1)