-
Solve for x in 3x – 3 x 15x = 15x
(Solved)
Solve for x in 3x – 3 x 15x = 15x
Date posted:
August 14, 2019
.
Answers (1)
-
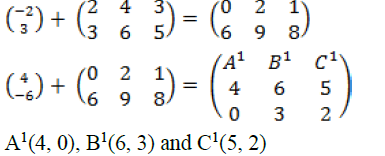
Evaluate the expression below.
(Solved)
Evaluate the expression below.

Date posted:
August 14, 2019
.
Answers (1)
-
The figure below represent a rectangle PQRS inscribed in a circle centre O and radius 17cm. PQ =16cm.
Calculate
(a) The length PS of the rectangle
(b)...
(Solved)
The figure below represent a rectangle PQRS inscribed in a circle centre O and radius 17cm. PQ =16cm.

Calculate
(a) The length PS of the rectangle
(b) The angle ROS
(c) The area of the shaded region
Date posted:
August 14, 2019
.
Answers (1)
-
The table below shows the names of 200 persons measured to the nearest kg.
(a) Calculate the mean mas.
(b) Calculate the median mass
(Solved)
The table below shows the names of 200 persons measured to the nearest kg

(a) Calculate the mean mas.
(b) Calculate the median mass
Date posted:
August 14, 2019
.
Answers (1)
-
A newly built classroom measuring 6m long 4.5m wide and 3.2 m high is to be cemented on the floor and all inside walls. The...
(Solved)
A newly built classroom measuring 6m long, 4.5m wide and 3.2 m high is to be cemented on the floor and all inside walls. The classroom has one door measuring 1.85m by 80cm by 80cm and four windows measuring 1.5m by 70cm each.Cementing materials cost 500 per square meter while labour costs 20% of the cost of cementing materials.Calculate:
(a) To one decimal place, the total surface are to be cemented
(b) The cost of cementing materials
(c) The total cost of cementing the classroom
Date posted:
August 14, 2019
.
Answers (1)
-
A form IV maths teacher originally worked out the mean mark of her 30 students to be 41. After the correction of the test, she...
(Solved)
A form IV maths teacher originally worked out the mean mark of her 30 students to be 41. After the correction of the test, she added some marks of the test, she added some marks to Njoki,Chelimo and Nafula in the ratio 2:3:4,if the new mean mark for the class is 42.5 determine how many more marks Nafula was added than Chelimo.
Date posted:
August 14, 2019
.
Answers (1)
-
Solve for x in the equation below.
9(x-1) X 3(2x+1) = 243
(Solved)
Solve for x in the equation below.
9(x-1) X 3(2x+1) = 243
Date posted:
August 14, 2019
.
Answers (1)
-
Form the quadratic equation whose roots are x= -5/3 and x=1
(Solved)
Form the quadratic equation whose roots are x= -5/3 and x=1
Date posted:
August 14, 2019
.
Answers (1)
-
Nyongesa spends a total of sh.970 on buying 3 text books and 5 pens. If he had bought 2 text books and 5 pens he...
(Solved)
Nyongesa spends a total of sh.970 on buying 3 text books and 5 pens. If he had bought 2 text books and 5 pens he would have saved sh.90. Find the cost of one text book.
Date posted:
August 14, 2019
.
Answers (1)
-
An open right circular cone has radius of 5cm and a perpendicular height of 12cm .Calculate the surface area of the cone.(Take pi to be 3.14)
(Solved)
An open right circular cone has radius of 5cm and a perpendicular height of 12cm .Calculate the surface area of the cone.(Take pi to be 3.14)
Date posted:
August 14, 2019
.
Answers (1)
-
Evaluate without using mathematical tables
(Solved)
Evaluate without using mathematical tables

Date posted:
August 14, 2019
.
Answers (1)
-
A surveyor recorded the measurements of a field in a field book using lines AB 260m as shown below.
(Solved)
A surveyor recorded the measurements of a field in a field book using lines AB 260m as shown below.

a) Sketch the map of the field.
b) Find the area of the field in hectares.
Date posted:
August 14, 2019
.
Answers (1)
-
In the figure below E is the mid point of BC. AD: DC 3:2 and F is the meeting point of BD and AE.If AB...
(Solved)
In the figure below E is the mid point of BC. AD: DC 3:2 and F is the meeting point of BD and AE.

If AB = b and AC = c
i) BD
ii) AE
b) If BF = t BD and AF = n AE. Find the value of t and n.
c) State the ratio of BD to BF.
Date posted:
August 14, 2019
.
Answers (1)
-
A group of people planned to contribute equally towards a water project which needed kshs. 2,000,000 to complete. However, 40 members of the group withdrew...
(Solved)
A group of people planned to contribute equally towards a water project which needed kshs. 2,000,000 to complete. However, 40 members of the group withdrew from the project. As a result, each of the remaining members were to contribute ksh 2500 more.
(a) Find the original number of members in the group.
(b) Forty five percent of the value of the project was funded by Constituency Development Fund (CDF). Calculate the amount that would be made by each of the remaining members of the group.
(c) Members contribution were in terms of labour provided and money contributed. The ratio of the value of labour to the money contributed was 6:19, calculate the total amount of money contributed by the members.
Date posted:
August 14, 2019
.
Answers (1)
-
B is 102km on the bearing of 112° from A. C is 94km on the bearing of 062° from B D is 073°from A and...
(Solved)
B is 102km on the bearing of 112° from A. C is 94km on the bearing of 062° from B D is 073° from A and 336° from C.
(a) Using a scale of 1cm to represent 20km,draw a diagram to show the positions of A,B,C and D.
(b) Using your diagram, determine;
i) The bearing of B from D and A from C.
ii) The distance AC and BD
Date posted:
August 14, 2019
.
Answers (1)
-
The vertices of a triangle are A(2,5), B(4,3) and C(2,3). H represents a half turn rotation about the point (0,2).
a) Draw triangles ABC and A',B',C'...
(Solved)
The vertices of a triangle are A(2,5), B(4,3) and C(2,3). H represents a half turn rotation about the point (0,2).
a) Draw triangles ABC and A',B',C' under H
b)T represents a reflection in the line x = 0 and K represents a translation
.Find the coordinates of A” , B”,C” of A’, B’,C’ under TK. Hence draw triangle A”B”,C”.
c) Find the area of triangle A”,B”,C’
Date posted:
August 14, 2019
.
Answers (1)
-
An aircraft flying at 800 knots leaves airport A(600N,120E) at 9am local time for airport B (600N,880W) along the parallel of latitude. Find the local...
(Solved)
An aircraft flying at 800 knots leaves airport A(600N,120E) at 9am local time for airport B (600N,880W) along the parallel of latitude. Find the local time at B when the plane lands.
Date posted:
August 14, 2019
.
Answers (1)
-
Solve for m in;
Log5 – 2 + (2m+10) = log (m-4)
(Solved)
Solve for m in;
Log5 – 2 + (2m+10) = log (m-4)
Date posted:
August 14, 2019
.
Answers (1)
-
Two similar containers have base areas 25cm2 and 324cm2 respectively. Calculate the Capacity of the larger container correct to one decimal place if the capacity...
(Solved)
Two similar containers have base areas 25cm2 and 324cm2 respectively. Calculate the Capacity of the larger container correct to one decimal place if the capacity of the smaller one is 8cm3
Date posted:
August 14, 2019
.
Answers (1)
-
In the figure below ED and EA are tangents to the circle at D and A. DC is parallel to AB and0. Calculate the...
(Solved)
In the figure below ED and EA are tangents to the circle at D and A. DC is parallel to AB and 0. Calculate the value of x.

Date posted:
August 14, 2019
.
Answers (1)