-
What is the exact value of if x=3, y=x+3 and w=2x+y
(Solved)
What is the exact value of if x=3, y=x+3 and w=2x+y

Date posted:
August 15, 2019
.
Answers (1)
-
Evaluate without using calculator or mathematical tables leaving your answer as a simplified fraction.
(Solved)
Evaluate without using calculator or mathematical tables leaving your answer as a simplified fraction.

Date posted:
August 15, 2019
.
Answers (1)
-
The diagram below shows a cross section of an oil pipeline centre O and radius 14 cm. The pipe constitutes two other smaller pipes centres...
(Solved)
The diagram below shows a cross section of an oil pipeline centre O and radius 14 cm. The pipe constitutes two other smaller pipes centres O1 and O2 with radii 7 cm and 10.5 cm respectively.Oil flows through this smaller pipes. The pipes with centre O1 and O2 intersect at P and Q.

(a) Find the area of the un shaded region if PQ = 5 cm
(b) Find the area of the shaded region.
Date posted:
August 15, 2019
.
Answers (1)
-
Three business partners Omoit, Achola and Amoit contributed Ksh. 100,000, Ksh.80,000 and ksh.50,000 respectively to start a business. After one year the business realized a...
(Solved)
Three business partners Omoit, Achola and Amoit contributed Ksh. 100,000, Ksh.80,000 and ksh.50,000 respectively to start a business. After one year the business realized a profit which they shared in the ratio of their contributions.
(a) If Amoit’s share of profit was Kshs.20, 000, how much was the total amount of profit?
(b) At the beginning of the second year, Amoit boosted his shares by Ksh. 10,000. If the business profit increased by 20% at the end of the second year. Calculate;
(i) Omoit’s share of the profit.
(ii) The difference between Omoit’s and Achola’s share of the profit.
Date posted:
August 15, 2019
.
Answers (1)
-
In the figure below two circles ABSR and ABPQ intersect at AB. UST is a tangent to the circle ABSR at S. Angle BPQ =...
(Solved)
In the figure below two circles ABSR and ABPQ intersect at AB. UST is a tangent to the circle ABSR at S.
Angle BPQ = 700, PBU = 1050 and BUS = 600.

Giving reasons for your answers, find angles
(a) BAR
(b) BSU
(c) STR
(d) BRS
(e) AQP
Date posted:
August 15, 2019
.
Answers (1)
-
Akukuranut women group decided to raise sh.126,000 towards a poultry farming project. Each
woman was to contribute equal amount. Before the contributions, 7 of them pulled...
(Solved)
Akukuranut women group decided to raise sh.126,000 towards a poultry farming project. Each
woman was to contribute equal amount. Before the contributions, 7 of them pulled out from the
project therefore the remaining members had to pay more.
(a) If P stands for the original number of members, show that the increase in contribution Was

(b) If the increase in contribution per person was sh.200, find the number of women
That were originally involved in the project.
(c) Calculate percentage increase in the contribution per person caused by the withdrawal of
some women to one decimal place.
Date posted:
August 15, 2019
.
Answers (1)
-
Find the area of the square of sides (x + 2) Hence find 1022.
(Solved)
Find the area of the square of sides (x + 2) Hence find 1022.
Date posted:
August 15, 2019
.
Answers (1)
-
Simplify the expression
(Solved)
Simplify the expression

Date posted:
August 15, 2019
.
Answers (1)
-
1600cm3 of fresh water of density 1g/cm3 are mixed with 1400cm3 of sea water of density 1.25g/cm3. Determine the density of the mixture.
(Solved)
1600cm3 of fresh water of density 1g/cm3 are mixed with 1400cm3 of sea water of density 1.25g/cm3. Determine the density of the mixture.
Date posted:
August 15, 2019
.
Answers (1)
-
The figure below is a right pyramid with slant height of 5cm and square base of 4cm.
(a) Draw its net and label it.
(b) Calculate...
(Solved)
The figure below is a right pyramid with slant height of 5cm and square base of 4cm.

(a) Draw its net and label it.
(b) Calculate the total surface area.
Date posted:
August 15, 2019
.
Answers (1)
-
Chakol booksellers received US Dollars 100,000. The money was converted into Kenya Shillings in a bank which buys and sells foreign currencies as follows :
...
(Solved)
Chakol booksellers received US Dollars 100,000. The money was converted into Kenya Shillings in a bank which buys and sells foreign currencies as follows :
Buyng Selling
(In Kenya shillings) (In Kenya shillings)
1 US Dollar 77.24 77.44
1 Sterling pound 121.93 122.27
(a) Calculate the amount of money in Kenya shillings, the business received.
(b) The business exchanged the Kenya shillings calculated in (a) above, into sterling Pounds to buy a car from Britain. Calculate the cost of the car to the nearest Sterling pound.
Date posted:
August 15, 2019
.
Answers (1)
-
The G.C.D of two numbers is 36 and their L.C.M. is 1260. If one of the numbers is 252,find the other number.
(Solved)
The G.C.D of two numbers is 36 and their L.C.M. is 1260. If one of the numbers is 252,find the other number.
Date posted:
August 15, 2019
.
Answers (1)
-
Twenty women working 12 hours a day take 12 days to complete a job. How many more days will it take eight women working 20...
(Solved)
Twenty women working 12 hours a day take 12 days to complete a job. How many more days will it take eight women working 20 hrs a day to complete the same job ?
Date posted:
August 15, 2019
.
Answers (1)
-
Solve the inequalities and represnt the solution on number line. 3x – 9 < 5x + 3= 2x – 6
(Solved)
Solve the inequalities and represnt the solution on number line. 3x – 9 < 5x + 3≤ 2x – 6
Date posted:
August 15, 2019
.
Answers (1)
-
B(2, 5) is a point on the circumference of a circle whose equation is 2x2 + 2y2 – 4x – 8y = 10.Find the equation...
(Solved)
B(2, 5) is a point on the circumference of a circle whose equation is 2x2 + 2y2 – 4x – 8y = 10.Find the equation of the tangent to the circle at point B.
Date posted:
August 15, 2019
.
Answers (1)
-
Okisai is three times as old as his son now. If ten years ago the sun of their ages was 44. How Old was Okisai...
(Solved)
Okisai is three times as old as his son now. If ten years ago the sun of their ages was 44. How Old was Okisai when his son was born ?
Date posted:
August 15, 2019
.
Answers (1)
-
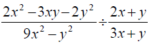
Simplify the expression below.
(Solved)
Simplify the expression below.

Date posted:
August 15, 2019
.
Answers (1)
-
Atyang bought 3 blouses and 2 skirts for a total of Ksh.500. Awino bought 4 blouses and 5 skirts for a total of Ksh.900. Find...
(Solved)
Atyang bought 3 blouses and 2 skirts for a total of Ksh.500. Awino bought 4 blouses and 5 skirts for a total of Ksh.900. Find the cost of 1 blouse and 3 skirts.
Date posted:
August 15, 2019
.
Answers (1)
-
Without using mathematical tables or calculators evaluate.
(Solved)
Without using mathematical tables or calculators evaluate.

Date posted:
August 15, 2019
.
Answers (1)
-
Use reciprocal tables to find the value of
(Solved)
Use reciprocal tables to find the value of

Date posted:
August 15, 2019
.
Answers (1)