-
In Barsumbat mixed secondary school, there are 120 more boys than girls.Half of the boys are two-thirds of the girls are boarders. If there are...
(Solved)
In Barsumbat mixed secondary school, there are 120 more boys than girls.Half of the boys are two-thirds of the girls are boarders. If there are 480 boarders, find the total number of students in the school.
Date posted:
August 16, 2019
.
Answers (1)
-
Use tables of square ,cubes roots and reciprocals to find the value of x if
(Solved)
Use tables of square ,cubes roots and reciprocals to find the value of x if

Date posted:
August 16, 2019
.
Answers (1)
-
During the year 2001 Samora had 40 more goats than sheep and half as many cows as sheep. In the year 2002 his goats increased...
(Solved)
During the year 2001 Samora had 40 more goats than sheep and half as many cows as sheep. In the year 2002 his goats increased by 50%, his cows decreased by 10% and his sheep increased by 20%.At the end of 2002 all his animals were 690.Calculate to the nearest whole number the percentage increase in the number of animals during the year 2002.
Date posted:
August 16, 2019
.
Answers (1)
-
A pilot fly from P to S through Q and R he distance of Q from P is 820 km on a bearing of 0550...
(Solved)
A pilot fly from P to S through Q and R he distance of Q from P is 820 km on a bearing of 0550 .R is 600km on bearing of 3300 from Q while S is on a bearing of 240° a distance of a 1000km
from R.
a) Using a suitable scale draw a diagram representing the routes of the flight
b) On the return journey the pilot flew directly from S to P .What was his direction of flight.
c) How long did the flight in (b) above take If the pilot travelled at 650km/h?
d) If on reaching S the pilot decided to fly directly to Q what would have been his direction of flight and time taken if he flew at 700km/h?
Date posted:
August 16, 2019
.
Answers (1)
-
The 2nd 7th and 22nd terms of an arithmetic progression are the first three consecutive terms of a geometric progression. The 10th term of the...
(Solved)
The 2nd, 7th and 22nd terms of an arithmetic progression are the first three consecutive terms of a geometric progression. The 10th term of the arithmetic progression is 21 Determine:
a) The first term and the common difference of the A.P
b) The sum of the first six terms of the G.P
Date posted:
August 16, 2019
.
Answers (1)
-
A slaughter house bought a number of sheep at sh 1200 each and a number of oxen at sh 15000 each. They paid a total...
(Solved)
A slaughter house bought a number of sheep at sh 1200 each and a number of oxen at sh 15000 each. They paid a total amount of sh 135,000.lf they had bought twice as many sheep and three oxen less they would have saved sh 15000.
a) Find the number of each type of animals they bought.
b) The slaughter house sold all the animals at a profit of 30% per sheep and 35% per oxen.Determine the total profit they made.
Date posted:
August 16, 2019
.
Answers (1)
-
Form a quadratic equation in t whose roots are - 4 and 7.
(Solved)
Form a quadratic equation in t whose roots are - 4 and 7.
Date posted:
August 16, 2019
.
Answers (1)
-
Every week the number of absentees in a school was recorded. This was done for 39 weeks these observations were tabulated as shown below.Estimate the...
(Solved)
Every week the number of absentees in a school was recorded. This was done for 39 weeks these observations were tabulated as shown below.

Estimate the median absentee rate per week in the school
Date posted:
August 16, 2019
.
Answers (1)
-
A student at a certain college has a 60% chance of passing an examination at the first attempt.Each time a student fails and repeats the...
(Solved)
A student at a certain college has a 60% chance of passing an examination at the first attempt.Each time a student fails and repeats the examination his chances of passing are increased by 15% Calculate the probability that a student in the college passes an examination at the second or at the third attempt.
Date posted:
August 16, 2019
.
Answers (1)
-
Given that the equation of the normal to the curve y = x2 + 3x +5 at point C is 5y + x =46 find...
(Solved)
Given that the equation of the normal to the curve y = x2 + 3x +5 at point C is 5y + x =46 find the coordinates of C.
Date posted:
August 16, 2019
.
Answers (1)
-
Under a transformation whose matrix T is given below,a figure whose area is 2.5 cm2 is mapped onto a figure whose area is l0 cm2.Find...
(Solved)
Under a transformation whose matrix T is given below,a figure whose area is 2.5 cm2 is mapped onto a figure whose area is l0 cm2.Find two possible values of a and hence write down two possible matrices.

Date posted:
August 16, 2019
.
Answers (1)
-
The line passing through the point C(-1,3t) and D (t,3) is parallel to the line whose equation is 2y – 3x = 9. Write down...
(Solved)
The line passing through the point C(-1,3t) and D (t,3) is parallel to the line whose equation is 2y – 3x = 9. Write down the coordinates of C and D.
Date posted:
August 16, 2019
.
Answers (1)
-
Find y if log2y – 2 = log292
(Solved)
Find y if log2y – 2 = log292
Date posted:
August 16, 2019
.
Answers (1)
-
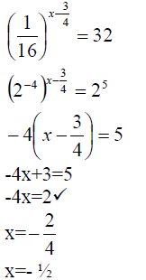
Solve the equation
(Solved)
Solve the equation

Date posted:
August 16, 2019
.
Answers (1)
-
Determine the value of subtracting the reciprocal of the expression below from 1.
(Solved)
Determine the value of subtracting the reciprocal of the expression below from 1.

Date posted:
August 16, 2019
.
Answers (1)
-
A ship leaves port M and sails on a bearing of 0500 heading towards Island L. Two navy destroyers sail from a noval base N...
(Solved)
A ship leaves port M and sails on a bearing of 0500 heading towards Island L. Two navy destroyers sail from a noval base N to intercept the ship. Destroyer A sails such that it covers the shortest distance possible. Destroyer B sails on a bearing of 200 to L. If the bearing of N from M is 1000 and distance NM=300Km, Using a scale of 1cm to represent 50Km, determine
i) the positions of M,N and L.
ii) the distance traveled by destroyer A.
iii) the distance traveled by destroyer B.
iv) the bearing of N from L.
Date posted:
August 16, 2019
.
Answers (1)
-
Maru Secondary School consumes 40 bags of maize and 25 bags of beans per term. Kadu Secondary School consumes 35 bags of maize and 18...
(Solved)
Maru Secondary School consumes 40 bags of maize and 25 bags of beans per term. Kadu Secondary School consumes 35 bags of maize and 18 bags of beans per term. The schools purchase the grains from the same grain store. Maru pays sh.380,000 while Kadu pays sh.301,500 for the grains.
a) Write down two equations representing the cost of grains in the two schools.
b) Using matrix method , calculate the cost of each bag of maize and beans.
c) The following term the price of each bag of maize increased by 20% while that of beans decreased by 15%.
i) How much did Maru pay for the grains?
ii) If the school enrollment increased by 10% and the food ration also increased proportionally, how much would the school spend on the grains?
Date posted:
August 16, 2019
.
Answers (1)
-
Karis owns a farm that is triangular in shape as shown below.
a) Calculate the size of angle BAC.
b) Find the area of the farm in...
(Solved)
Karis owns a farm that is triangular in shape as shown below.

a) Calculate the size of angle BAC.
b) Find the area of the farm in hectares.
c) Karis wishes to irrigate his farm using a sprinkler machine situated in the farm such that it is equidistant from points A,B and C.
i) Calculate the distance of the sprinkler from point C.
ii) The sprinkler rotates in a circular motion so that the maximum point reached by the water jets is the vertices A,B, and C. Calculate the area outside his farm that will be irrigated.
Date posted:
August 16, 2019
.
Answers (1)
-
John is a sales agent in a company that pays him a basic salary of sh.5000. In addition he is given a commission of 5%...
(Solved)
John is a sales agent in a company that pays him a basic salary of sh.5000. In addition he is given a commission of 5% on sales worth sh.200, 000 and 7.5% on any additional sales above sh. 200,000.
a) In January his total sale was sh. 420,000. How much did he earn in total.
b) In February, his total earnings was sh.28125. Calculate his total sales in February.
c) The following year the company changed its policy to a flat rate commission of 9% on goods sold. In the first month, John sold goods worth sh.450,000. Find the percentage change in earning compared to the old policy.
Date posted:
August 16, 2019
.
Answers (1)
-
Solve the equation
(Solved)
Solve the equation

Date posted:
August 16, 2019
.
Answers (1)