-
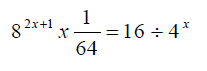
Solve the equation
(Solved)
Solve the equation

Date posted:
August 16, 2019
.
Answers (1)
-
A measuring cylinder of radius 5cm contains water whose level reads 6cm high. A spherical object is immersed in the water and the new level...
(Solved)
A measuring cylinder of radius 5cm contains water whose level reads 6cm high. A spherical object is immersed in the water and the new level reads 10cm. Calculate the radius of the spherical object.
Date posted:
August 16, 2019
.
Answers (1)
-
In triangle ABC below, AC=BC, AB is parallel to DE, AB=15cm, DE=7.5cm and BE=6cm.
Calculate
a) Length CE
b) Area of quadrilateral ABED.
(Solved)
In triangle ABC below, AC=BC, AB is parallel to DE, AB=15cm, DE=7.5cm and BE=6cm.

Calculate
a) Length CE
b) Area of quadrilateral ABED.
Date posted:
August 16, 2019
.
Answers (1)
-
Mr. Owino spends a quarter of his salary on school fees. He spends two-thirds of the remainder on food and a fifth of what is...
(Solved)
Mr. Owino spends a quarter of his salary on school fees. He spends two-thirds of the remainder on food and a fifth of what is left on transport. He saves the balance. In a certain month he saved Sh.3400. What is his salary?
Date posted:
August 16, 2019
.
Answers (1)
-
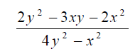
Simplify the expression
(Solved)
Simplify the expression

Date posted:
August 16, 2019
.
Answers (1)
-
Construct a triangle PQT such that PQ = 10 cm QR = 9 cm and RP = 8 cm.
i) Construct the locus of the point...
(Solved)
Construct a triangle PQT such that PQ = 10 cm QR = 9 cm and RP = 8 cm.
i) Construct the locus of the point x such that QX = XR and mark with the letter X the
point where this locus meets QR.
ii) Construct the locus of the point X such that QX = XR and mark with the letter X the
point where this locus meets QR
iii) Construct the locus of the point Y such that PY= 6cm and mark with the letter Y, the
point where the locus meets PR.
iv) By Shading the unwanted regions show the area bounded by the three loci by the
letter T such that QT≥ TR
PT ≤ 6 cm
angle PRT ≤ angle QRT
Label the region required by the letter T.
Date posted:
August 15, 2019
.
Answers (1)
-
Tsuma bought some rice at sh 30 per kg.He packed two- fifths of the rice in 2kg packets which he sold at shs. 85 per...
(Solved)
Tsuma bought some rice at sh 30 per kg.He packed two- fifths of the rice in 2kg packets which he sold at shs. 85 per packet. He packed the other three- fifths in 3 kg packets and sold thee at shs. 120 per packet. He sold all the rice in this way and made a profit of sh. 4400.
a) Determine the amount of rice bought.
b) Calculate to one decimal place.
i) The percentage profit he made.
ii) The percentage profit she would have made if he had sold all the rice in 2kg packet.
Date posted:
August 15, 2019
.
Answers (1)
-
In The figure , The circle centre O is the circum circle of triangle PQR and also the in circle of triangle ABC.
Given that angle...
(Solved)
In The figure , The circle centre O is the circum circle of triangle PQR and also the in circle of triangle ABC.

Given that angle BAC = 620 and angle ACB = 440
Calculate
a) < PQR
b) < QPR
c) < POQ
d) if BC = 10 cm, calculate the radius of the circle.
Date posted:
August 15, 2019
.
Answers (1)
-
Use tables of reciprocal only to work out
(Solved)
Use tables of reciprocal only to work out

Date posted:
August 15, 2019
.
Answers (1)
-
Under an enlargement centre ( 2,1) the image of P ( 1,-1) is P` ( 4,5). Determine the scale factor of the enlargement
(Solved)
Under an enlargement centre ( 2,1) the image of P ( 1,-1) is P` ( 4,5). Determine the scale factor of the enlargement
Date posted:
August 15, 2019
.
Answers (1)
-
Given that a = 3, b = -1 and C = 2 evaluate
(Solved)
Given that a = 3, b = -1 and C = 2 evaluate

Date posted:
August 15, 2019
.
Answers (1)
-
The acceleration, ams-2, of a particle is given by a = 25 – 9t2, where t is time in seconds after the particles passes a...
(Solved)
The acceleration, ams-2, of a particle is given by a = 25 – 9t2, where t is time in seconds after the particles passes a fixed point O.If the particle passes O, With a velocity of 4 ms-1 find.
a) An expression for velocity v, in terms of t.
b) The velocity of the particle when t = 2 seconds.
Date posted:
August 15, 2019
.
Answers (1)
-
The sum of the digits in three digit number is nine. The tens ten is digits half the sum of the other two and the...
(Solved)
The sum of the digits in three digit number is nine. The tens ten is digits half the sum of the other two and the hundreds digit is half the units digit. Find the number.
Date posted:
August 15, 2019
.
Answers (1)
-
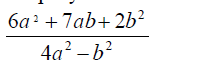
Simplify the expression
(Solved)
Simplify the expression

Date posted:
August 15, 2019
.
Answers (1)
-
Find the equation of a line perpendicular to 2x +4Y = 8, which crosses the line at its y –Intercept.
(Solved)
Find the equation of a line perpendicular to 2x +4Y = 8, which crosses the line at its y –Intercept.
Date posted:
August 15, 2019
.
Answers (1)
-
If x: y = 4:7 and y :z = 5:3 find the ratio x:y: z
(Solved)
If x: y = 4:7 and y :z = 5:3 find the ratio x:y: z
Date posted:
August 15, 2019
.
Answers (1)
-
The diagram below (not drawn to scale) shows the position of a harbor H and three islands A,B and C. C is due North of...
(Solved)
The diagram below (not drawn to scale) shows the position of a harbor H and three islands A,B and C. C is due North of H. The bearing of A from H is 0620 and angle HAB=1280 HA=54km and AB=31km.

a) Calculate the distance HB
b) Find the bearing of B from A
c) Given that the bearing of A from C is 1330, calculate AC
d) A light ship L is positioned due North of H and equidistant from A and H.
Calculate HL.
Date posted:
August 15, 2019
.
Answers (1)
-
A private farmer in Mwea produced 14,400bags of rice in 2008. This was a decrease of 20% over the production in 2007. In 2009 he...
(Solved)
A private farmer in Mwea produced 14,400bags of rice in 2008. This was a decrease of 20% over the production in 2007. In 2009 he increased production by 30%. In 2010,he managed to produce 12,000 bags of rice.
a) Find the number of bags of rice he produced in;
i) 2007
ii) 2009
b) What was the percentage decrease in production in 2010 over that of
previous year?
c) Calculate the percentage decrease in production in 2010 over that in 2007
d) The price per bag of rice was Ksh 3500 in 2010, how much did he get if he
sold 65% of the produce in that year.
Date posted:
August 15, 2019
.
Answers (1)
-
Four towns P, Q, R and S are such that town Q is 120km due east of town P. Town R is 160km due north...
(Solved)
Four towns P, Q, R and S are such that town Q is 120km due east of town P. Town R is 160km due north of town Q, town S is on a bearing of 3300 from P and on a bearing of 3000 from R.
a) Using ruler and compasses only, show the relative positions of towns P,Q,R and S. Take a scale of 1cm rep 50km.
b) Determine
i) The distance SP in km
ii) The bearing of S from Q
iii) How far north, S is, from line QP produced.
Date posted:
August 15, 2019
.
Answers (1)
-
A flag post 12m long is fixed on top of a tower. From a point on horizontal ground, the angles of elevation of the top...
(Solved)
A flag post 12m long is fixed on top of a tower. From a point on horizontal ground, the angles of elevation of the top and bottom of the flag post are 460 and 330 respectively.
Calculate
a) The horizontal distance from the point on the ground to the base of the tower.
b) The total height of the tower and the flag.
c) The shortest distances from the point on the ground to
i) The top of the flag post.
ii) The top of the tower.
Date posted:
August 15, 2019
.
Answers (1)