-
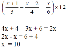
Solve the equation;
(Solved)
Solve the equation;

Date posted:
August 16, 2019
.
Answers (1)
-
Find the value of X if
(Solved)
Find the value of X if

Date posted:
August 16, 2019
.
Answers (1)
-
One interior angle of a certain polygon is 840. If each of the other angles is 1470, how many sides does this polygon have?
(Solved)
One interior angle of a certain polygon is 840. If each of the other angles is 1470, how many sides does this polygon have?
Date posted:
August 16, 2019
.
Answers (1)
-
Two equal circles with centres O and Q and radius 8cm intersect at point A and B as shown below
Given that the distance between O...
(Solved)
Two equal circles with centres O and Q and radius 8cm intersect at point A and B as shown below

Given that the distance between O and Q is 12cm and that line AB meets OQ at X, find
(a) the length of chord AB
(b) the area of the shaded region
(c) the reflex angle AOB
Date posted:
August 16, 2019
.
Answers (1)
-
Easy coach bus left Nairobi at 8.00am and traveled towards Eldoret at an average speed of 80km/hr.8.00a.m a car left Eldoret towards Nairobi at an...
(Solved)
Easy coach bus left Nairobi at 8.00am and traveled towards Eldoret at an average speed of 80km/hr.8.00a.m a car left Eldoret towards Nairobi at an average speed of 120km/h.Given that the distance between Nairobi and Eldoret is 400km.Calculate
(a) the time the car arrived in Nairobi
(b) the time the two vehicles met
(c) the distance from Nairobi to the meeting point
(d) the distance of the bus from Eldoret when the car arrived in Nairobi
Date posted:
August 16, 2019
.
Answers (1)
-
Matrix P is given by(a) Find p-1 (b) Two institutes regions and Alphax purchased beans at sh.B per bag and maize at sh.M perbags. Regions...
(Solved)
Matrix P is given by

(a) Find p-1
(b) Two institutes regions and Alphax purchased beans at sh.B per bag and maize at sh.M per bag. Regions purchased 8 bags of beans and 14 bags of maize for sh. 47,600. Alphax
purchased 10 bags of beans and 16 bags of maize for sh. 57,400.
(i) form a matrix equation to represent the information above
(ii) Use the matrix p p-1 to find the prices of one bag of each item
(c) The price of bean later went up by 5% and that of maize remain constant. Regions bought the same quality of beans but spent the same total amount of money as before on the two items. State the new ratio of beans and maize.
Date posted:
August 16, 2019
.
Answers (1)
-
The acceleration of a particle at a time to seconds is given by a=3t2-6tm/s2.When t=1, the velocity of the particle is 6m/s.Find
(a) The equation representing...
(Solved)
The acceleration of a particle at a time to seconds is given by a=3t2-6tm/s2.When t=1, the velocity of the particle is 6m/s.Find
(a) The equation representing the velocity of the particle at any time.
(b) (i) the time when the particle attains constant velocity.
(ii) the constant velocity at that time.
(c) The distance traveled by the particle between t=2s and t=6 sec.
Date posted:
August 16, 2019
.
Answers (1)
-
In a physics test student scored the following marks.
72 50 43 58 62 49 69 60 84 62 55
89 67 92 81 75 63 77...
(Solved)
In a physics test student scored the following marks.
72 50 43 58 62 49 69 60 84 62 55
89 67 92 81 75 63 77 95 65 54 35
45 73 41 56 50 36 49 58 61 85
38 64 76 78 51 43 72 37 62 55
(a) Using a class width of 10 and 35-44 as the first class, make a frequency table of the grouped data.
(b) Estimate
(i) the mean
(ii) the median
Date posted:
August 16, 2019
.
Answers (1)
-
A bus travels from Nairobi to Kisumu a distance of 320 km at a speed of x km/hr.If the speed is reduced by 20km/hr the...
(Solved)
A bus travels from Nairobi to Kisumu a distance of 320 km at a speed of x km/hr.If the speed is reduced by 20km/hr the bus would take 48 minutes more.
(a) Form an equation to represent the given information and simplify it
(b) Find the speed of the bus
(c) Determine the time taken by the bus for the whole journey
(d) Another car is moving from Kisumu to Nairobi at a speed of 80km/h.Determine their relative speed.
Date posted:
August 16, 2019
.
Answers (1)
-
Calculate the area of the shaded segment of the circle given in the figure below.
(Solved)
Calculate the area of the shaded segment of the circle given in the figure below.

Date posted:
August 16, 2019
.
Answers (1)
-
In the figure below, ABCD is a parallelogram. AD is produced to E and BE and CD meet at F.
If angle DEF=250 and angle BFD=700,...
(Solved)
In the figure below, ABCD is a parallelogram. AD is produced to E and BE and CD meet at F.

If angle DEF=250 and angle BFD=700, find the size of angle ABF.
Date posted:
August 16, 2019
.
Answers (1)
-
The sum of the interior angles of a polygon is 19800.How many triangles can this polygon be
divided into.
(Solved)
The sum of the interior angles of a polygon is 19800.How many triangles can this polygon be
divided into.
Date posted:
August 16, 2019
.
Answers (1)
-
Solve for x given that:
Log (x-4)+2=log 5+log(2x+10)
(Solved)
Solve for x given that:
Log (x-4)+2=log 5+log(2x+10)
Date posted:
August 16, 2019
.
Answers (1)
-
Simplify the expression below.
(Solved)
Simplify the expression below.

Date posted:
August 16, 2019
.
Answers (1)
-
Below is an equation of a straight line.
(i).Find the gradient of the line
(ii) Equation of a line passing through point (2,3) and parallel to...
(Solved)
Below is an equation of a straight line.

(i).Find the gradient of the line
(ii) Equation of a line passing through point (2,3) and parallel to the given line
Date posted:
August 16, 2019
.
Answers (1)
-
Solve for x in the equation
(Solved)
Solve for x in the equation

Date posted:
August 16, 2019
.
Answers (1)
-
In Barsumbat mixed secondary school, there are 120 more boys than girls.Half of the boys are two-thirds of the girls are boarders. If there are...
(Solved)
In Barsumbat mixed secondary school, there are 120 more boys than girls.Half of the boys are two-thirds of the girls are boarders. If there are 480 boarders, find the total number of students in the school.
Date posted:
August 16, 2019
.
Answers (1)
-
Use tables of square ,cubes roots and reciprocals to find the value of x if
(Solved)
Use tables of square ,cubes roots and reciprocals to find the value of x if

Date posted:
August 16, 2019
.
Answers (1)
-
During the year 2001 Samora had 40 more goats than sheep and half as many cows as sheep. In the year 2002 his goats increased...
(Solved)
During the year 2001 Samora had 40 more goats than sheep and half as many cows as sheep. In the year 2002 his goats increased by 50%, his cows decreased by 10% and his sheep increased by 20%.At the end of 2002 all his animals were 690.Calculate to the nearest whole number the percentage increase in the number of animals during the year 2002.
Date posted:
August 16, 2019
.
Answers (1)
-
A pilot fly from P to S through Q and R he distance of Q from P is 820 km on a bearing of 0550...
(Solved)
A pilot fly from P to S through Q and R he distance of Q from P is 820 km on a bearing of 0550 .R is 600km on bearing of 3300 from Q while S is on a bearing of 240° a distance of a 1000km
from R.
a) Using a suitable scale draw a diagram representing the routes of the flight
b) On the return journey the pilot flew directly from S to P .What was his direction of flight.
c) How long did the flight in (b) above take If the pilot travelled at 650km/h?
d) If on reaching S the pilot decided to fly directly to Q what would have been his direction of flight and time taken if he flew at 700km/h?
Date posted:
August 16, 2019
.
Answers (1)