-
A particle moves on a straight line. The velocity after to seconds is given by v = 3t2 – 6t – 8. The distance of...
(Solved)
A particle moves on a straight line. The velocity after to seconds is given by v = 3t2 – 6t – 8. The distance of the particle from the origin after one second is 10 metres. Calculate the distance of the particle from the origin after 2 seconds.
Date posted:
August 16, 2019
.
Answers (1)
-
Five pupils A, B, C, D and E obtained the marks 53,41,60,80 and 56 respectively. The table below shows part of the work to find...
(Solved)
Five pupils A, B, C, D and E obtained the marks 53,41,60,80 and 56 respectively. The table below shows part of the work to find the standard deviation.

(a) Complete the table.
(b) Find the standard deviation
Date posted:
August 16, 2019
.
Answers (1)
-
Factorize completely 3x2 – 2xy-y2.
(Solved)
Factorize completely 3x2 – 2xy-y2.
Date posted:
August 16, 2019
.
Answers (1)
-
The angle of elevation of the top of a tower from a point x on the horizontal is 28.5.From another point y, 8 meters near...
(Solved)
The angle of elevation of the top of a tower from a point x on the horizontal is 28.5.From another point y, 8 meters near to the base of the tower, the angle of elevation of the top of the tower is 37.20. Calculate, to one decimal place, the height of the tower.
Date posted:
August 16, 2019
.
Answers (1)
-
Find the equation of a straight line that is parallel to the line whose equation is 2y – 5x-8=0 and passes through A where A...
(Solved)
Find the equation of a straight line that is parallel to the line whose equation is 2y – 5x-8=0 and passes through A where A is a point of intersection of 3x – 2y = 0 and 3x + y = 81.
Date posted:
August 16, 2019
.
Answers (1)
-
Security light poles have been erected along both sides of a street in Ndhiwa town. The poles are 50m apart a long the...
(Solved)
Security light poles have been erected along both sides of a street in Ndhiwa town. The poles are 50m apart a long the left hand side of the road while they are 80m a part a long the right hand side. At one end of the road the poles are directly opposite each other. How many poles will be erected by the time the poles are directly opposite each other at the end of the road?
Date posted:
August 16, 2019
.
Answers (1)
-
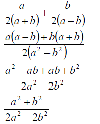
Solve for X in the equation;
(Solved)
Solve for X in the equation;

Date posted:
August 16, 2019
.
Answers (1)
-
Solve the equation;
(Solved)
Solve the equation;

Date posted:
August 16, 2019
.
Answers (1)
-
Find the value of X if
(Solved)
Find the value of X if

Date posted:
August 16, 2019
.
Answers (1)
-
One interior angle of a certain polygon is 840. If each of the other angles is 1470, how many sides does this polygon have?
(Solved)
One interior angle of a certain polygon is 840. If each of the other angles is 1470, how many sides does this polygon have?
Date posted:
August 16, 2019
.
Answers (1)
-
Two equal circles with centres O and Q and radius 8cm intersect at point A and B as shown below
Given that the distance between O...
(Solved)
Two equal circles with centres O and Q and radius 8cm intersect at point A and B as shown below

Given that the distance between O and Q is 12cm and that line AB meets OQ at X, find
(a) the length of chord AB
(b) the area of the shaded region
(c) the reflex angle AOB
Date posted:
August 16, 2019
.
Answers (1)
-
Easy coach bus left Nairobi at 8.00am and traveled towards Eldoret at an average speed of 80km/hr.8.00a.m a car left Eldoret towards Nairobi at an...
(Solved)
Easy coach bus left Nairobi at 8.00am and traveled towards Eldoret at an average speed of 80km/hr.8.00a.m a car left Eldoret towards Nairobi at an average speed of 120km/h.Given that the distance between Nairobi and Eldoret is 400km.Calculate
(a) the time the car arrived in Nairobi
(b) the time the two vehicles met
(c) the distance from Nairobi to the meeting point
(d) the distance of the bus from Eldoret when the car arrived in Nairobi
Date posted:
August 16, 2019
.
Answers (1)
-
Matrix P is given by(a) Find p-1 (b) Two institutes regions and Alphax purchased beans at sh.B per bag and maize at sh.M perbags. Regions...
(Solved)
Matrix P is given by

(a) Find p-1
(b) Two institutes regions and Alphax purchased beans at sh.B per bag and maize at sh.M per bag. Regions purchased 8 bags of beans and 14 bags of maize for sh. 47,600. Alphax
purchased 10 bags of beans and 16 bags of maize for sh. 57,400.
(i) form a matrix equation to represent the information above
(ii) Use the matrix p p-1 to find the prices of one bag of each item
(c) The price of bean later went up by 5% and that of maize remain constant. Regions bought the same quality of beans but spent the same total amount of money as before on the two items. State the new ratio of beans and maize.
Date posted:
August 16, 2019
.
Answers (1)
-
The acceleration of a particle at a time to seconds is given by a=3t2-6tm/s2.When t=1, the velocity of the particle is 6m/s.Find
(a) The equation representing...
(Solved)
The acceleration of a particle at a time to seconds is given by a=3t2-6tm/s2.When t=1, the velocity of the particle is 6m/s.Find
(a) The equation representing the velocity of the particle at any time.
(b) (i) the time when the particle attains constant velocity.
(ii) the constant velocity at that time.
(c) The distance traveled by the particle between t=2s and t=6 sec.
Date posted:
August 16, 2019
.
Answers (1)
-
In a physics test student scored the following marks.
72 50 43 58 62 49 69 60 84 62 55
89 67 92 81 75 63 77...
(Solved)
In a physics test student scored the following marks.
72 50 43 58 62 49 69 60 84 62 55
89 67 92 81 75 63 77 95 65 54 35
45 73 41 56 50 36 49 58 61 85
38 64 76 78 51 43 72 37 62 55
(a) Using a class width of 10 and 35-44 as the first class, make a frequency table of the grouped data.
(b) Estimate
(i) the mean
(ii) the median
Date posted:
August 16, 2019
.
Answers (1)
-
A bus travels from Nairobi to Kisumu a distance of 320 km at a speed of x km/hr.If the speed is reduced by 20km/hr the...
(Solved)
A bus travels from Nairobi to Kisumu a distance of 320 km at a speed of x km/hr.If the speed is reduced by 20km/hr the bus would take 48 minutes more.
(a) Form an equation to represent the given information and simplify it
(b) Find the speed of the bus
(c) Determine the time taken by the bus for the whole journey
(d) Another car is moving from Kisumu to Nairobi at a speed of 80km/h.Determine their relative speed.
Date posted:
August 16, 2019
.
Answers (1)
-
Calculate the area of the shaded segment of the circle given in the figure below.
(Solved)
Calculate the area of the shaded segment of the circle given in the figure below.

Date posted:
August 16, 2019
.
Answers (1)
-
In the figure below, ABCD is a parallelogram. AD is produced to E and BE and CD meet at F.
If angle DEF=250 and angle BFD=700,...
(Solved)
In the figure below, ABCD is a parallelogram. AD is produced to E and BE and CD meet at F.

If angle DEF=250 and angle BFD=700, find the size of angle ABF.
Date posted:
August 16, 2019
.
Answers (1)
-
The sum of the interior angles of a polygon is 19800.How many triangles can this polygon be
divided into.
(Solved)
The sum of the interior angles of a polygon is 19800.How many triangles can this polygon be
divided into.
Date posted:
August 16, 2019
.
Answers (1)
-
Solve for x given that:
Log (x-4)+2=log 5+log(2x+10)
(Solved)
Solve for x given that:
Log (x-4)+2=log 5+log(2x+10)
Date posted:
August 16, 2019
.
Answers (1)