-
The matrix given below has no inverse. Find k
(Solved)
The matrix given below has no inverse. Find k

Date posted:
August 19, 2019
.
Answers (1)
-
Complete the table below for
(Solved)
a) Complete the table below for 

(b) Draw the graph of 
(c) Use your graph to solve equation y = 2x³ + x² - 5x + 2
(d) Use your graph to solve equation y = 2x³ + x² - 11x - 10
(e) Find the gradient of the curve at x = 2.
Date posted:
August 19, 2019
.
Answers (1)
-
When the price of a packet of Kangumu was increase by sh.2, Kiptoo found that with his usual pocket money of sh. 600, he could...
(Solved)
When the price of a packet of Kangumu was increase by sh.2, Kiptoo found that with his usual pocket money of sh. 600, he could buy 3 packets of kangumu fewer than before. Determine the current price of a packet of kangumu.
Date posted:
August 19, 2019
.
Answers (1)
-
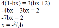
Solve the equation:
(Solved)
Solve the equation:

Date posted:
August 19, 2019
.
Answers (1)
-
The sum of the first 16 terms of an A.P is 2000. The sum of the next four terms is 900.
(Solved)
The sum of the first 16 terms of an A.P is 2000. The sum of the next four terms is 900. Calculate the first term and the common difference.
Date posted:
August 19, 2019
.
Answers (1)
-
One interior angle of a polygon is equal to 80° and each of the other interior angles are 128°
(Solved)
One interior angle of a polygon is equal to 80° and each of the other interior angles are 128°. Find the number of sides of the polygon.
Date posted:
August 19, 2019
.
Answers (1)
-
Using a pair of compasses and a ruler only construct a triangle ABC such that AB = 6cm, BC = 8cm
(Solved)
(a) Using a pair of compasses and a ruler only construct a triangle ABC such that AB = 6cm, BC = 8cm and ABC = 135°.
(b) Construct the height of triangle ABC in (a) above taking BC as the base and measure the height.
Date posted:
August 19, 2019
.
Answers (1)
-
(i) Express 48 and 6 0 as a product of their prime factors. (ii) A rectangle of side 48cm by 60cm is divided into squares...
(Solved)
(i) Express 48 and 60 as a product of their prime factors.
(ii) A rectangle of side 48cm by 60cm is divided into squares of side X cm.Find the greatest value of X.
Date posted:
August 19, 2019
.
Answers (1)
-
The coordinates of P and Q are P(5, 1) and Q(11, 4) point M divides line PQ in the ratio 2 : 1.
(Solved)
The coordinates of P and Q are P(5, 1) and Q(11, 4) point M divides line PQ in the ratio 2 : 1. Find the magnitude of vector OM.
Date posted:
August 19, 2019
.
Answers (1)
-
A translation maps triangle ABC onto A1B1C1, where A(1,-1), B( 3, 1) C ( 3,1) and C1 ( -1, 3).Find the coordinates of A1 and...
(Solved)
A translation maps triangle ABC onto A1B1C1, where A(1,-1), B( 3, 1) C ( 3,1) and C1 ( -1, 3).Find the coordinates of A1 and B1.
Date posted:
August 19, 2019
.
Answers (1)
-
Calculate the value of
(Solved)
Calculate the value of 
Date posted:
August 19, 2019
.
Answers (1)
-
Simplify without using tables
(Solved)
Simplify without using tables

Date posted:
August 19, 2019
.
Answers (1)
-
The curved surface area of a cylindrical container is 1980 cm².
(Solved)
The curved surface area of a cylindrical container is 1980 cm². If the radius of the container is 21cm,
calculate to one decimal place the capacity of the container in litres
Date posted:
August 19, 2019
.
Answers (1)
-
In a class there are thrice as many boys as girls a third of the boys are from poor families while a fifth of the...
(Solved)
In a class there are thrice as many boys as girls a third of the boys are from poor families while a fifth of the girls are from rich families. Find the percentage number of pupils from rich families in the class.
Date posted:
August 19, 2019
.
Answers (1)
-
Fifteen men working eight hours a day can complete a certain job in exactly 24 days.
(Solved)
Fifteen men working eight hours a day can complete a certain job in exactly 24 days. For how many hours a day must sixteen men work in order to complete the same job in exactly 20 days.
Date posted:
August 19, 2019
.
Answers (1)
-
Line L1 passes through the points (1, -2) and (3, -4).
(Solved)
Line L1 passes through the points (1, -2) and (3, -4). Find the equation of line L2 which is a perpendicular bisector of L1 leaving the answer in the form ax + by + c = 0.
Date posted:
August 19, 2019
.
Answers (1)
-
A man sets out at 8.00 a.m for a 30 km journey. His average s peed at 5km/hr for the journey but rests for ten...
(Solved)
A man sets out at 8.00 a.m for a 30 km journey. His average s peed at 5km/hr for the journey but rests for ten minutes after each hour at the walking. He rests for half an hour at the destination and returns on a bicycle at 20km/hr non-stop. At what time does the man arrive home again?
Date posted:
August 19, 2019
.
Answers (1)
-
Electricity bill comprises of a meter rent charge of sh. 250 , a fixed charge of sh. 130, a charge of sh.1.50 per unit and...
(Solved)
Electricity bill comprises of a meter rent charge of sh. 250 , a fixed charge of sh. 130, a charge of sh. 1.50 per unit and a fuel cost of charge of 5% of the total charges. Mr, Chirchir a domestic customer of the Kenya power and lighting Co. Ltd consumed 898 units in a certain month. Find the monthly bill in Ksh. of Mr. Chirchir that month.
Date posted:
August 19, 2019
.
Answers (1)
-
Use logarithms tables to evaluate
(Solved)
Use logarithms tables to evaluate

Date posted:
August 19, 2019
.
Answers (1)
-
A rectangular tank whose length is 50 cm and width 30cm contains 36 litres of water.
a) Determine the height of water in the tank.
b)...
(Solved)
A rectangular tank whose length is 50 cm and width 30cm contains 36 litres of water.
a) Determine the height of water in the tank.
b) A heavy rectangle block has a length which is 5cm more than the width and a height of 5cm. If the width of the block is x cm, write down an expression for the volume of the block
c) The block is placed in the tank and the water level rises by 1cm. Determine the width and length of the block.
d) Determine the mass of the block given that its density is 1400kg/m3
Date posted:
August 19, 2019
.
Answers (1)