-
In the figure below, lines AB and XY are parallel.
(Solved)
In the figure below, lines AB and XY are parallel.

If the area of the shaded region is 36 cm2, find the area of triangle CXY.
Date posted:
August 19, 2019
.
Answers (1)
-
List the integral values of x which satisfy the inequalities below.
2x+21>15-2x=x+6
(Solved)
List the integral values of x which satisfy the inequalities below.
2x+21>15-2x≥x+6
Date posted:
August 19, 2019
.
Answers (1)
-
Makau and Kilonzo live 20km apart. Makau leaves home at 10:00 am and walks to meet Kilonzo who started walking at 9:30 am to meet...
(Solved)
Makau and Kilonzo live 20km apart. Makau leaves home at 10:00 am and walks to meet Kilonzo who started walking at 9:30 am to meet Makau. The speed of Makau and Kilonzo are in the ratio of 3:4. If they met at 11:30 am find their speeds.
Date posted:
August 19, 2019
.
Answers (1)
-
John bought two shirts and three pairs of trousers at Ksh. 1750. If had bought three shirts and two pairs of trousers, he would have...
(Solved)
John bought two shirts and three pairs of trousers at Ksh. 1750. If had bought three shirts and two pairs of trousers, he would have saved Ksh.250. Find the cost of a shirt and a trouser.
Date posted:
August 19, 2019
.
Answers (1)
-
Simplify the expression below
(Solved)
Simplify the expression below

Date posted:
August 19, 2019
.
Answers (1)
-
Find the sum of the smallest and the largest value of ??.
(Solved)
Given that
and that 𝑥 is an integer, find the sum of the smallest and the largest value of 𝑥.
Date posted:
August 19, 2019
.
Answers (1)
-
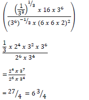
Without using mathematical tables or calculator evaluate.
(Solved)
Without using mathematical tables or calculator evaluate.

Date posted:
August 19, 2019
.
Answers (1)
-
A straight line passes through the point (-3,-4) and is perpendicular to the line whose equation is 3x + 2y = 11 and intersects the...
(Solved)
A straight line passes through the point (-3,-4) and is perpendicular to the line whose equation is 3x + 2y = 11 and intersects the x=axis and y-axis at points A and B respectively. Find the length of AB.
Date posted:
August 19, 2019
.
Answers (1)
-
The gradient of the tangent to the curve y=ax3+bx at point (1,1) is -5. Calculate the value of a and b.
(Solved)
The gradient of the tangent to the curve y=ax3+bx at point (1,1) is -5. Calculate the value of a and b.
Date posted:
August 19, 2019
.
Answers (1)
-
Without using mathematical tables or calculator evaluate.
(Solved)
Without using mathematical tables or calculator evaluate.

Date posted:
August 19, 2019
.
Answers (1)
-
Simplify:
(Solved)
Simplify:

Date posted:
August 19, 2019
.
Answers (1)
-
Without using a calculator or mathematical table evaluate:
(Solved)
Without using a calculator or mathematical table evaluate:

Date posted:
August 19, 2019
.
Answers (1)
-
Without using mathematical tables or calculators, evaluate:
(Solved)
Without using mathematical tables or calculators, evaluate:

Date posted:
August 19, 2019
.
Answers (1)
-
A theatre has a seating capacity of 250 people. The charges are Kshs. 100 for an ordinary seat and Kshs. 160 for a special seat.
(Solved)
A theatre has a seating capacity of 250 people. The charges are Kshs. 100 for an ordinary seat and Kshs. 160 for a special seat. It costs Kshs. 16,000 to stage a show and the theatre must make a profit. There are never more than 200 ordinary seats and for a show to take place at least 50 ordinary seats must be occupied. The number of special seats is always less than twice the number of ordinary seats. Taking x to be the number of ordinary seats and y the number of special seats:-
(a) Write down all the inequalities representing the above information.
(b) On the grid provided, draw the graph to show the inequalities.
(c) Determine the number of seats each type that should be booked in order to maximize the profit.
(d) Determine the maximum profits.
Date posted:
August 19, 2019
.
Answers (1)
-
A curve is represented by the function below.
(Solved)
A curve is represented by the function below

(a) Find 
(b) Determine the values of y at the turning points of the curve 
(c) In the space provide below sketch the curve in (b) above.
Date posted:
August 19, 2019
.
Answers (1)
-
Onyango and Juma live 200km apart. One day, Onyango left his house at 7.00am
(Solved)
Onyango and Juma live 200km apart. One day, Onyango left his house at 7.00am and travelled toward’s Juma’s house at an average speed of 30km/hr. Juma left his house at 7.30am on the same day and travelled towards Onyango’s at an average speed of 40km/hr.
(a) Determine:-
(i) The time they met.
(ii) The distance from Onyango’s house where the two met.
(iii) How far was Onyango from Juma’s house when they met?
(b) The two took 15 minutes at the meeting point and then travelled to Juma’s house at an average speed of 20km/hr. Find the time he arrived at Juma’s house.
Date posted:
August 19, 2019
.
Answers (1)
-
A ship B is on bearing of 0800 from port A and at a distance of 95km.
(Solved)
A ship B is on bearing of 0800 from port A and at a distance of 95km. Another ship is stationed at port D which is on a bearing of 2000 from A and a distance of 124km from B. A ship leaves B and moves directly to island P which is on a bearing of 1400 from A.
(a) Using a scale of 1cm to represent 10km, make a scale drawing to show the relative positions of A, B, D and P.
(b) Hence find:-
(i) The distance from A to D.
(ii) The bearing of D from B.
(iii) The bearing of P from D.
(iv) The distance from P to D.
Date posted:
August 19, 2019
.
Answers (1)
-
Two rectangles A and B each has an area of 240m2. the length of rectangle A is y m and the length of rectangle B...
(Solved)
Two rectangles A and B each has an area of 240m2. The length of rectangle A is y m and the length of rectangle B is 4 m longer.
(a) Write down the expression for width in terms of y for
(i)Rectangle A.
(ii) Rectangle B
(b) The widths of the rectangle differ by 3. form an equation in y duly simplified.
(c) Solve the equation in (b) above and hence find the difference between the perimeters of the rectangles.
Date posted:
August 19, 2019
.
Answers (1)
-
Using a ruler and a pair of compasses only, construct a triangle ABC such that AB=6cm; BC= 7cm and ?ABC = 76½o. Locate the region...
(Solved)
Using a ruler and a pair of compasses only, construct a triangle ABC such that AB=6cm; BC= 7cm and ∠ABC = 76½o. Locate the region covered by the locus R, such that:
(a) AR ≥ ‘BR’
(b) ∠CAR ≤ ∠BAR
(c) AR ≤ 4.5cm
Date posted:
August 19, 2019
.
Answers (1)
-
Five members of ‘SILK’, a self supporting enterprise Jane, Jepchoge, Esther, Mama Charo and Chepkoech were given a certain amount of money to share amongst...
(Solved)
Five members of ‘SILK’, a self supporting enterprise Jane, Jepchoge, Esther, Mama Charo and Chepkoech were given a certain amount of money to share amongst themselves. Jane got 3/8 of the total amount while Jepchoge got 2/5 of the remainder. The remaining amount was shared equally among Esther, Mama Charo and Chepkoech each of which received Kshs. 6,000;
(a) How much was shared among the five business women?
(b) How much did Jepchoge get?
(c) Jane, Jepchoge and Chepkoech invested their money and earned a profit of Kshs. 12,000. A third of the profit was left to maintain the business and the rest was shared according to their investments. Find how much each got.
Date posted:
August 19, 2019
.
Answers (1)