-
Given 2.421=2a/b. determine the values of a and b.
(Solved)
Given 2.421=2a/b. determine the values of a and b.
Date posted:
August 20, 2019
.
Answers (1)
-
Find the length of AC in the figure below.
(Solved)
Find the length of AC in the figure below.

Date posted:
August 20, 2019
.
Answers (1)
-
A circle of radius 4.9cm fits exactly inside a square. Find the area of the space between the circle and the square.
(Solved)
A circle of radius 4.9cm fits exactly inside a square. Find the area of the space between the circle and the square.
Date posted:
August 20, 2019
.
Answers (1)
-
Express y in terms of x given that:-
10x2 - 9xy + 2y2 = 0
(Solved)
Express y in terms of x given that:-
10x2 - 9xy + 2y2 = 0
Date posted:
August 20, 2019
.
Answers (1)
-
The distance from town A to town B is 360km. A bus left town A and traveled towards town B at an average speed of...
(Solved)
The distance from town A to town B is 360km. A bus left town A and traveled towards town B at an average speed of 60km/h. After 1½ hours, a car left town A and traveled along the same road at an average speed of 100km/h.
(a) Determine:
(i) The distance of the bus from town A when the car took off.
(ii) The distance the car traveled to catch up with the bus.
(b) The distance from P to Q is 160km. If an express train was 16km/h slower it would take 20 minutes longer on the journey. Find the average speed of the express train.
Date posted:
August 20, 2019
.
Answers (1)
-
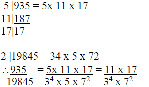
Use mathematical tables to evaluate
(Solved)
Use mathematical tables to evaluate

Date posted:
August 20, 2019
.
Answers (1)
-
A transformation represented by the matrix
(Solved)
A transformation represented by the matrix
maps the points A(0, 0), B(2, 0), C(2, 3) and D(0, 3) of the quad ABCD onto A¹B¹C¹D¹ respectively.
(a) Draw the quadrilateral ABCD and its image A¹B¹C¹D¹.
(b) Hence or otherwise determine the area of A¹B¹C¹D¹.
(c) Another transformation
maps A¹B¹C¹D¹ onto A¹¹B¹¹C¹¹D¹¹. Draw the image A¹¹B¹¹C¹¹D¹¹.
(d) Determine the single matrix which maps A¹¹B¹¹C¹¹D¹¹ back to ABCD.
Date posted:
August 20, 2019
.
Answers (1)
-
In the given figure, 0, 0 and 0.
(Solved)
In the given figure, 0, 0 and 0. BAF is a straight line.

Giving reasons where necessary, calculate the size of:-
(i) (ii) (iii) (iv)
Date posted:
August 20, 2019
.
Answers (1)
-
A tetrahedron has equilateral triangular base ABC of side 10cm.
(Solved)
A tetrahedron has equilateral triangular base ABC of side 10cm. The vertex V is such that VA = VB = VC = 8cm. Calculate:
(a) The angle between the planes ABC and BCV
(b) The vertical height of the vertex V above the base ABC.
(c) Volume of the tetrahedron.
Date posted:
August 20, 2019
.
Answers (1)
-
On the grid provided below, draw the graph of y = (x + 4)(1 - 2x) for the range
(Solved)
(a) On the grid provided below, draw the graph of y = (x + 4)(1 - 2x) for the range 
(b) On the same grid draw the line y + 3x = 2.
(c) Use your graph to solve the equations:
(i) (x + 4)(1 - 2x) = -5
(ii) -2 - 4x - 2x² = 0
Date posted:
August 20, 2019
.
Answers (1)
-
Two aeroplanes, T and S leave an airport A at the same time.
(Solved)
Two aeroplanes, T and S leave an airport A at the same time. S flies on a bearing of 0600 at 750km/h while T flies on a bearing of 2100 at 900 km/h.
(a) Use a suitable scale, to draw a diagram showing the relative position of the aeroplanes
after two hours.
(b) Use your diagram to determine:
(i) the distance between the two aeroplanes.
(ii) the bearing of T from S.
(c) Aeroplane T later flew to the East at the same speed for one hour. Show its final position
on the diagram in (a) above.
Determine:
(i) Its final distance from A.
(ii) Its final bearing from S.
Date posted:
August 20, 2019
.
Answers (1)
-
The figure below shows a solid frustum with a rectangular base measuring 18cm by 24cm and the top
measuring 6 cm by 8cm. The slant edges...
(Solved)
The figure below shows a solid frustum with a rectangular base measuring 18cm by 24cm and the top
measuring 6 cm by 8cm. The slant edges are each 26cm long.

Determine:
a) Height of the original pyramid.
b) Volume of the frustum.
c) Density in g/cm3 if the solid has a mass of 7.488kg
Date posted:
August 20, 2019
.
Answers (1)
-
Sketch and label the net of the prism shown below.
(Solved)
Sketch and label the net of the prism shown below.

Date posted:
August 20, 2019
.
Answers (1)
-
The gradient of a curve at any point (x, y) is given by 3x² + 2x. If the curve passes through the point (-2, 1).
(Solved)
The gradient of a curve at any point (x, y) is given by 3x² + 2x. If the curve passes through the point (-2, 1). Find its equation.
Date posted:
August 20, 2019
.
Answers (1)
-
In the figure below O is the centre of a circle and PS is the diameter. QR is parallel to PS. If anglePSQ = 25o...
(Solved)
In the figure below O is the centre of a circle and PS is the diameter. QR is parallel to PS. If angle PSQ = 25o and angle POT = 120o.

a) Angle QRP
b) Angle PTO
c) Angle QPT
d) Angle QPS
c) Angle PTS
Date posted:
August 20, 2019
.
Answers (1)
-
A circle of radius 7 units has it’s centre at the point of intersection between the lines x + 2y + 1 = 0 and...
(Solved)
A circle of radius 7 units has it’s centre at the point of intersection between the lines x + 2y + 1 = 0 and 2x + 3y – 3 = 0. Find the equation of the circle expressing it in the form x² + y² + yx + fy + c = 0.
Date posted:
August 20, 2019
.
Answers (1)
-
Use the tables of squares, square roots and reciprocals only to find the value of
(Solved)
Use the tables of squares, square roots and reciprocals only to find the value of

Date posted:
August 20, 2019
.
Answers (1)
-
Represent the solution on a number line.
(Solved)
Solve the inequalities
hence represent the solution on a number line.
Date posted:
August 20, 2019
.
Answers (1)
-
Show that the points P(3, 4), Q(4, 3) and R(1, 6) are collinear.
(Solved)
Show that the points P(3, 4), Q(4, 3) and R(1, 6) are collinear.
Date posted:
August 20, 2019
.
Answers (1)
-
The mean of five numbers is 20. The mean of the first three numbers is 16.
(Solved)
The mean of five numbers is 20. The mean of the first three numbers is 16. The fifth number is greater than the fourth by 8. Find the fifth number.
Date posted:
August 20, 2019
.
Answers (1)