-
Solve the equation 8x2 + 2x -3 = 0 hence solve the equation 8cos2y + 2cosy – 3 = 0 for the range 00 0
(Solved)
Solve the equation 8x2 + 2x -3 = 0 hence solve the equation 8cos2y + 2cosy – 3 = 0 for the range 00 0.
Date posted:
August 20, 2019
.
Answers (1)
-
The figure below represents a plot of land ABCD such that AB=85m, BC=75m, CD=60m, DA=50m and angle ACB = 900.
(Solved)
The figure below represents a plot of land ABCD such that AB=85m, BC=75m, CD=60m, DA=50m and angle ACB = 900. (Not drawn to scale).

Determine the area of the plot, in hectares, correct to two decimal places.
Date posted:
August 20, 2019
.
Answers (1)
-
A minibus covered a distance of 200km at an average speed of 100km/hr.
(Solved)
A minibus covered a distance of 200km at an average speed of 100km/hr. It traveled at a speed of 80km/hr for 3/5 of its journey. At what speed did it travel the remaining part of the journey.
Date posted:
August 20, 2019
.
Answers (1)
-
A test-tube consist of a cylinder and a hemisphere of the same radius; 282 cm3 of water is required to fill the whole tube...
(Solved)
A test-tube consist of a cylinder and a hemisphere of the same radius; 282 cm3 of water is required to fill the whole tube and 262cm3 is required to fill it at a level of 1cm3 below the top of the tube. Find the radius of the tube and the length of the cylindrical part.

Date posted:
August 20, 2019
.
Answers (1)
-
In the triangle, AB = 8.5cm, AC = 10cm and ABC = BDC = 900
(Solved)
In the triangle, AB = 8.5cm, AC = 10cm and ABC = BDC = 900.

Calculate:
(i) The length of BC.
(ii) The length of BD.
Date posted:
August 20, 2019
.
Answers (1)
-
Evaluate:
(Solved)
Evaluate:

Date posted:
August 20, 2019
.
Answers (1)
-
The figure below shows a frustrum PQRSTUVW of a right pyramid. PQ = 20cm, QR = 15cm,UV = 10cm, UT = 7.5cm and PU =...
(Solved)
The figure below shows a frustum PQRSTUVW of a right pyramid. PQ = 20cm, QR = 15cm,UV = 10cm, UT = 7.5cm and PU = QV = RW = ST = 12cm.

Leave all your answer to 4 s.f.
(a) Find the altitude of the pyramid from which the frustum was cut.
(b) Find the angle between
(i) PW and base PQRS
(ii) PQVU and the base PQRS
Date posted:
August 20, 2019
.
Answers (1)
-
Solve the pair of simultaneous equations using elimination method.
4x+9y=5
3x+3y=2
(Solved)
Solve the pair of simultaneous equations using elimination method.
4x+9y=5
3x+3y=2
Date posted:
August 20, 2019
.
Answers (1)
-
Express the number 935 and 19845 as a product of their prime factors hence evaluate the following expression leaving your answer in prime factor form.
(Solved)
Express the number 935 and 19845 as a product of their prime factors hence evaluate the following expression

leaving your answer in prime factor form.
Date posted:
August 20, 2019
.
Answers (1)
-
Given 2.421=2a/b. determine the values of a and b.
(Solved)
Given 2.421=2a/b. determine the values of a and b.
Date posted:
August 20, 2019
.
Answers (1)
-
Find the length of AC in the figure below.
(Solved)
Find the length of AC in the figure below.

Date posted:
August 20, 2019
.
Answers (1)
-
A circle of radius 4.9cm fits exactly inside a square. Find the area of the space between the circle and the square.
(Solved)
A circle of radius 4.9cm fits exactly inside a square. Find the area of the space between the circle and the square.
Date posted:
August 20, 2019
.
Answers (1)
-
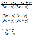
Express y in terms of x given that:-
10x2 - 9xy + 2y2 = 0
(Solved)
Express y in terms of x given that:-
10x2 - 9xy + 2y2 = 0
Date posted:
August 20, 2019
.
Answers (1)
-
The distance from town A to town B is 360km. A bus left town A and traveled towards town B at an average speed of...
(Solved)
The distance from town A to town B is 360km. A bus left town A and traveled towards town B at an average speed of 60km/h. After 1½ hours, a car left town A and traveled along the same road at an average speed of 100km/h.
(a) Determine:
(i) The distance of the bus from town A when the car took off.
(ii) The distance the car traveled to catch up with the bus.
(b) The distance from P to Q is 160km. If an express train was 16km/h slower it would take 20 minutes longer on the journey. Find the average speed of the express train.
Date posted:
August 20, 2019
.
Answers (1)
-
Use mathematical tables to evaluate
(Solved)
Use mathematical tables to evaluate

Date posted:
August 20, 2019
.
Answers (1)
-
A transformation represented by the matrix
(Solved)
A transformation represented by the matrix
maps the points A(0, 0), B(2, 0), C(2, 3) and D(0, 3) of the quad ABCD onto A¹B¹C¹D¹ respectively.
(a) Draw the quadrilateral ABCD and its image A¹B¹C¹D¹.
(b) Hence or otherwise determine the area of A¹B¹C¹D¹.
(c) Another transformation
maps A¹B¹C¹D¹ onto A¹¹B¹¹C¹¹D¹¹. Draw the image A¹¹B¹¹C¹¹D¹¹.
(d) Determine the single matrix which maps A¹¹B¹¹C¹¹D¹¹ back to ABCD.
Date posted:
August 20, 2019
.
Answers (1)
-
In the given figure, 0, 0 and 0.
(Solved)
In the given figure, 0, 0 and 0. BAF is a straight line.

Giving reasons where necessary, calculate the size of:-
(i) (ii) (iii) (iv)
Date posted:
August 20, 2019
.
Answers (1)
-
A tetrahedron has equilateral triangular base ABC of side 10cm.
(Solved)
A tetrahedron has equilateral triangular base ABC of side 10cm. The vertex V is such that VA = VB = VC = 8cm. Calculate:
(a) The angle between the planes ABC and BCV
(b) The vertical height of the vertex V above the base ABC.
(c) Volume of the tetrahedron.
Date posted:
August 20, 2019
.
Answers (1)
-
On the grid provided below, draw the graph of y = (x + 4)(1 - 2x) for the range
(Solved)
(a) On the grid provided below, draw the graph of y = (x + 4)(1 - 2x) for the range 
(b) On the same grid draw the line y + 3x = 2.
(c) Use your graph to solve the equations:
(i) (x + 4)(1 - 2x) = -5
(ii) -2 - 4x - 2x² = 0
Date posted:
August 20, 2019
.
Answers (1)
-
Two aeroplanes, T and S leave an airport A at the same time.
(Solved)
Two aeroplanes, T and S leave an airport A at the same time. S flies on a bearing of 0600 at 750km/h while T flies on a bearing of 2100 at 900 km/h.
(a) Use a suitable scale, to draw a diagram showing the relative position of the aeroplanes
after two hours.
(b) Use your diagram to determine:
(i) the distance between the two aeroplanes.
(ii) the bearing of T from S.
(c) Aeroplane T later flew to the East at the same speed for one hour. Show its final position
on the diagram in (a) above.
Determine:
(i) Its final distance from A.
(ii) Its final bearing from S.
Date posted:
August 20, 2019
.
Answers (1)