-
Mrs. Tabut bought 4 spoons and 6 plates for Kshs. 660 and Mrs. Koross bought 2 spoons and 1 plate less than Mrs. Tabut for...
(Solved)
Mrs. Tabut bought 4 spoons and 6 plates for Kshs. 660 and Mrs. Koross bought 2 spoons and 1 plate less than Mrs. Tabut for Kshs. 510.
(i) Find the price of each item.
(ii) Mrs. Lagat spent Kshs. 2280 to buy the same type of spoons and plates. If the number of plates she bought were 4 more than the number of spoons, find the number of spoons bought by Mrs. Lagat.
Date posted:
August 20, 2019
.
Answers (1)
-
A solid object is formed by a cylinder and a cone such that the cone of base radius 1.5 and slant height 4.8m is attached...
(Solved)
A solid object is formed by a cylinder and a cone such that the cone of base radius 1.5 and slant height 4.8m is attached to the cylinder whose height is 12.6m. Using π=3.142, calculate the total surface area of the solid, leaving your answer to 2 decimal places.
Date posted:
August 20, 2019
.
Answers (1)
-
All prime numbers between ten and twenty are arranged in descending order to form a number.
(Solved)
All prime numbers between ten and twenty are arranged in descending order to form a number.
(i) Write down the number.
(ii) State the total value of the third digit of the number formed in (i) above.
Date posted:
August 20, 2019
.
Answers (1)
-
Three people Felix, Evans and Eunice contributed money to start a business. Felix contributed a quarter of the total amount and Evans two fifths of...
(Solved)
Three people Felix, Evans and Eunice contributed money to start a business. Felix contributed a quarter of the total amount and Evans two fifths of the remainder. Eunice’s contribution was one and a half times that of Felix. They borrowed the rest of the money from the bank which was Kshs. 60,000 less than Eunice’s contribution. Find the total amount required to start the business.
Date posted:
August 20, 2019
.
Answers (1)
-
Three vertices of a parallelogram PQRS are P(-1,2), Q(8,-5) and R(5,0).
(Solved)
Three vertices of a parallelogram PQRS are P(-1,2), Q(8,-5) and R(5,0).
(i) On the grid provided below, draw the parallelogram PQRS.
(ii) Determine the length of the diagonal QS.
Date posted:
August 20, 2019
.
Answers (1)
-
Mr. Kirui earns a basic salary of sh. 12,000 per month. In addition he is also paid a commission of 2½ % for sales above...
(Solved)
Mr. Kirui earns a basic salary of sh. 12,000 per month. In addition he is also paid a commission of 2½ % for sales above sh. 15,000. In a certain month, he sold goods worth sh. 140,000 at a discount of 5%. Calculate his total earning that month.
Date posted:
August 20, 2019
.
Answers (1)
-
The table below shows marks scored by 40 students in a mathematics test
(Solved)
The table below shows marks scored by 40 students in a mathematics test

Calculate the median mark.
Date posted:
August 20, 2019
.
Answers (1)
-
Use ruler and pair of compasses only to draw a parallelogram PQRS in which PQ = 8cm, QR = 6cm and angle QPS = 750.
(Solved)
Use ruler and pair of compasses only to draw a parallelogram PQRS in which PQ = 8cm, QR = 6cm and angle QPS = 750. By construction, determine the perpendicular distance between PQ and RS.
Date posted:
August 20, 2019
.
Answers (1)
-
Factorise the expression: 2s2t2 – 5st – 12.
(Solved)
Factorise the expression: 2s2t2 – 5st – 12.
Date posted:
August 20, 2019
.
Answers (1)
-
A rectangular tank has a hole in it such that 11cm3 of water leaks out every 5 seconds.
(Solved)
A rectangular tank has a hole in it such that 11cm3 of water leaks out every 5 seconds. Using π as 3.142. Calculate:-
(i) The capacity of the water lost from the tank every hour.
(ii) The time it takes to till a cylindrical tank of radius 30cm and height 30cm into which the leaking water drains; in hours to 4 significant figures.
Date posted:
August 20, 2019
.
Answers (1)
-
A tank holding 1m3 of water is filled in 10 minutes by a circular pipe of diameter 2cm. Find the speed of water in the pipe.
(Solved)
A tank holding 1m3 of water is filled in 10 minutes by a circular pipe of diameter 2cm.Find the speed of water in the pipe.
Date posted:
August 20, 2019
.
Answers (1)
-
Simplify the expression:
(Solved)
Simplify the expression:

Date posted:
August 20, 2019
.
Answers (1)
-
Solve the equation 8x2 + 2x -3 = 0 hence solve the equation 8cos2y + 2cosy – 3 = 0 for the range 00 0
(Solved)
Solve the equation 8x2 + 2x -3 = 0 hence solve the equation 8cos2y + 2cosy – 3 = 0 for the range 00 0.
Date posted:
August 20, 2019
.
Answers (1)
-
The figure below represents a plot of land ABCD such that AB=85m, BC=75m, CD=60m, DA=50m and angle ACB = 900.
(Solved)
The figure below represents a plot of land ABCD such that AB=85m, BC=75m, CD=60m, DA=50m and angle ACB = 900. (Not drawn to scale).

Determine the area of the plot, in hectares, correct to two decimal places.
Date posted:
August 20, 2019
.
Answers (1)
-
A minibus covered a distance of 200km at an average speed of 100km/hr.
(Solved)
A minibus covered a distance of 200km at an average speed of 100km/hr. It traveled at a speed of 80km/hr for 3/5 of its journey. At what speed did it travel the remaining part of the journey.
Date posted:
August 20, 2019
.
Answers (1)
-
A test-tube consist of a cylinder and a hemisphere of the same radius; 282 cm3 of water is required to fill the whole tube...
(Solved)
A test-tube consist of a cylinder and a hemisphere of the same radius; 282 cm3 of water is required to fill the whole tube and 262cm3 is required to fill it at a level of 1cm3 below the top of the tube. Find the radius of the tube and the length of the cylindrical part.

Date posted:
August 20, 2019
.
Answers (1)
-
In the triangle, AB = 8.5cm, AC = 10cm and ABC = BDC = 900
(Solved)
In the triangle, AB = 8.5cm, AC = 10cm and ABC = BDC = 900.

Calculate:
(i) The length of BC.
(ii) The length of BD.
Date posted:
August 20, 2019
.
Answers (1)
-
Evaluate:
(Solved)
Evaluate:

Date posted:
August 20, 2019
.
Answers (1)
-
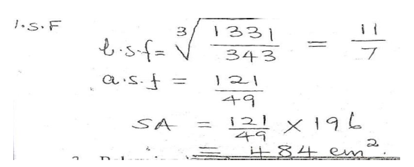
The figure below shows a frustrum PQRSTUVW of a right pyramid. PQ = 20cm, QR = 15cm,UV = 10cm, UT = 7.5cm and PU =...
(Solved)
The figure below shows a frustum PQRSTUVW of a right pyramid. PQ = 20cm, QR = 15cm,UV = 10cm, UT = 7.5cm and PU = QV = RW = ST = 12cm.

Leave all your answer to 4 s.f.
(a) Find the altitude of the pyramid from which the frustum was cut.
(b) Find the angle between
(i) PW and base PQRS
(ii) PQVU and the base PQRS
Date posted:
August 20, 2019
.
Answers (1)
-
Solve the pair of simultaneous equations using elimination method.
4x+9y=5
3x+3y=2
(Solved)
Solve the pair of simultaneous equations using elimination method.
4x+9y=5
3x+3y=2
Date posted:
August 20, 2019
.
Answers (1)