-
The figure below represents a quadrilateral piece of land ABCD divided into three triangular plots.
(Solved)
The figure below represents a quadrilateral piece of land ABCD divided into three triangular plots. The lengths BE and CD are 100m and 80m respectively. Angle ABE = 300, ACE = 450 and ACD = 1000

(a) Find to four significant figures:
(i) The length of AE.
(ii) The length of AD.
(iii) The perimeter of the piece of land.
(b) The plots are to be fenced with five strands of barbed wire leaving an entrance of 2.8m wide to each plot. The type of barbed wire to be used is sold in rolls of lengths 480m. Calculate the number of rolls of barbed wire that must be bought to complete the fencing of the plots.
Date posted:
August 20, 2019
.
Answers (1)
-
A sum of money is divided between three people, Tom, Mary and Lucy in the ratio 5:3:1. If Mary has sh.700 more than Lucy, calculate...
(Solved)
A sum of money is divided between three people, Tom, Mary and Lucy in the ratio 5:3:1. If Mary has sh.700 more than Lucy, calculate how much Tom has.
Date posted:
August 20, 2019
.
Answers (1)
-
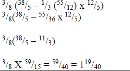
Using logarithms tables evaluate.
(Solved)
Using logarithms tables evaluate.

Date posted:
August 20, 2019
.
Answers (1)
-
(a) Find the inverse of the matrix:
(Solved)
(a) Find the inverse of the matrix:

(b) Rose bought 20 bags of oranges and 15 bags of mangoes for a total of sh. 9,500. Chumo bought 30 bags of oranges and 20 bags of mangoes for a total of sh. 13,500. If the price of a bag of oranges is X and that of mangoes is y:
(i) Form two equations to represent the information above.
(ii) Hence use the matrix A-1 above to find the price of one bag of each item.
(c) The price of each bag of oranges was increased by 10% and that of mangoes reduced by 10%. The businesswomen (Rose and Chumo) bought as many oranges and as many mangoes as they bought earlier. Find by matrix method the total cost of oranges and mangoes that the businesswomen bought after the percentage change.
Date posted:
August 20, 2019
.
Answers (1)
-
A watch which looses a half-minute every hour was set to read the correct time at 0545h on Monday. Determine the time, in the 12...
(Solved)
A watch which looses a half-minute every hour was set to read the correct time at 0545h on Monday. Determine the time, in the 12 hour system, the watch will show on the following Friday at 1945h.
Date posted:
August 20, 2019
.
Answers (1)
-
Find all the integral values of x which satisfy the inequality
3 (1 + x) < 5x – 11 < x + 45
(Solved)
Find all the integral values of x which satisfy the inequality
3 (1 + x) < 5x – 11 < x + 45
Date posted:
August 20, 2019
.
Answers (1)
-
Coast bus left Nairobi at 8.00a.m. and traveled towards Mombasa at an average speed of 80km/hr.
(Solved)
Coast bus left Nairobi at 8.00a.m. and traveled towards Mombasa at an average speed of 80km/hr. At 8.30am, Lamu bus left Mombasa towards Nairobi at an average speed of 120km/h. Given that the distance between Nairobi and Mombasa is 400km; determine:
(i) The time Lamu Bus arrived in Nairobi.
(ii) The time the two buses met.
(iii) The distance from Nairobi to the point where the buses met.
(iv) How far Coast Bus is from Mombasa when Lamu bus arrives in Nairobi.
Date posted:
August 20, 2019
.
Answers (1)
-
The diagram below, not drawn to scale, is a regular pentagon circumscribed in a circle of radius 10cm at centre O
Find
(a) The length of any...
(Solved)
The diagram below, not drawn to scale, is a regular pentagon circumscribed in a circle of radius 10cm at centre O

Find
(a) The length of any side of the pentagon
(b) The area of the shaded region
Date posted:
August 20, 2019
.
Answers (1)
-
The table below shows how income tax was charged on income earned in a certain year.
(Solved)
The table below shows how income tax was charged on income earned in a certain year.

Mr. Gideon is an employee of a certain company and earns a salary of Ksh. 15,200 per month. He is housed by the company and pays a nominal rent of Ksh. 1050 per month. He is married and is entitled to a family relief of Kshs. 450 per month.
(i) Calculate his taxable income in k£ p.a.
(ii) Calculate his gross tax per month.
(iii) Calculate his net tax per month.
(iv) Calculate his net salary per month.
Date posted:
August 20, 2019
.
Answers (1)
-
A group of 10 soldiers set off with enough food to last 7 days. After 4 soldiers deserted,
(Solved)
A group of 10 soldiers set off with enough food to last 7 days. After 4 soldiers deserted, how many more days will the food last for the remaining soldiers?
Date posted:
August 20, 2019
.
Answers (1)
-
Below is a net of a model of a solid. The lengths AB = BC = AC = 6.0cm and lengths AF = FB =...
(Solved)
Below is a net of a model of a solid. The lengths AB = BC = AC = 6.0cm and lengths AF = FB = BD = CD = CE = AE = 8.0cm.

a).Sketch the solid of the net by taking ABC as the base and the height 5cm.
b) State the name of the figure sketched:
Date posted:
August 20, 2019
.
Answers (1)
-
The masses of two similar bars of soap are 343g and 1331g. If the surface area of the smaller bar is 196cm2. Calculate the surface...
(Solved)
The masses of two similar bars of soap are 343g and 1331g. If the surface area of the smaller bar is 196cm2. Calculate the surface area of the larger bar.
Date posted:
August 20, 2019
.
Answers (1)
-
Mrs. Tabut bought 4 spoons and 6 plates for Kshs. 660 and Mrs. Koross bought 2 spoons and 1 plate less than Mrs. Tabut for...
(Solved)
Mrs. Tabut bought 4 spoons and 6 plates for Kshs. 660 and Mrs. Koross bought 2 spoons and 1 plate less than Mrs. Tabut for Kshs. 510.
(i) Find the price of each item.
(ii) Mrs. Lagat spent Kshs. 2280 to buy the same type of spoons and plates. If the number of plates she bought were 4 more than the number of spoons, find the number of spoons bought by Mrs. Lagat.
Date posted:
August 20, 2019
.
Answers (1)
-
A solid object is formed by a cylinder and a cone such that the cone of base radius 1.5 and slant height 4.8m is attached...
(Solved)
A solid object is formed by a cylinder and a cone such that the cone of base radius 1.5 and slant height 4.8m is attached to the cylinder whose height is 12.6m. Using π=3.142, calculate the total surface area of the solid, leaving your answer to 2 decimal places.
Date posted:
August 20, 2019
.
Answers (1)
-
All prime numbers between ten and twenty are arranged in descending order to form a number.
(Solved)
All prime numbers between ten and twenty are arranged in descending order to form a number.
(i) Write down the number.
(ii) State the total value of the third digit of the number formed in (i) above.
Date posted:
August 20, 2019
.
Answers (1)
-
Three people Felix, Evans and Eunice contributed money to start a business. Felix contributed a quarter of the total amount and Evans two fifths of...
(Solved)
Three people Felix, Evans and Eunice contributed money to start a business. Felix contributed a quarter of the total amount and Evans two fifths of the remainder. Eunice’s contribution was one and a half times that of Felix. They borrowed the rest of the money from the bank which was Kshs. 60,000 less than Eunice’s contribution. Find the total amount required to start the business.
Date posted:
August 20, 2019
.
Answers (1)
-
Three vertices of a parallelogram PQRS are P(-1,2), Q(8,-5) and R(5,0).
(Solved)
Three vertices of a parallelogram PQRS are P(-1,2), Q(8,-5) and R(5,0).
(i) On the grid provided below, draw the parallelogram PQRS.
(ii) Determine the length of the diagonal QS.
Date posted:
August 20, 2019
.
Answers (1)
-
Mr. Kirui earns a basic salary of sh. 12,000 per month. In addition he is also paid a commission of 2½ % for sales above...
(Solved)
Mr. Kirui earns a basic salary of sh. 12,000 per month. In addition he is also paid a commission of 2½ % for sales above sh. 15,000. In a certain month, he sold goods worth sh. 140,000 at a discount of 5%. Calculate his total earning that month.
Date posted:
August 20, 2019
.
Answers (1)
-
The table below shows marks scored by 40 students in a mathematics test
(Solved)
The table below shows marks scored by 40 students in a mathematics test

Calculate the median mark.
Date posted:
August 20, 2019
.
Answers (1)
-
Use ruler and pair of compasses only to draw a parallelogram PQRS in which PQ = 8cm, QR = 6cm and angle QPS = 750.
(Solved)
Use ruler and pair of compasses only to draw a parallelogram PQRS in which PQ = 8cm, QR = 6cm and angle QPS = 750. By construction, determine the perpendicular distance between PQ and RS.
Date posted:
August 20, 2019
.
Answers (1)