-
Calculate the value of x.
(Solved)
A transformation whose matrix is
maps a triangle with an area of 4cm2 onto another triangle with area of 36cm2. Calculate the value of x.
Date posted:
August 20, 2019
.
Answers (1)
-
A shirt whose marked price is sh.800 is sold to a customer after allowing him a discount of 13%.
(Solved)
A shirt whose marked price is sh.800 is sold to a customer after allowing him a discount of 13%. If the trader makes a profit of 20%. Find how much the trader paid for the shirt.
Date posted:
August 20, 2019
.
Answers (1)
-
Find the perimeter of the figure below. Give your answer correct to four significant figures.
(Solved)
Find the perimeter of the figure below. Give your answer correct to four significant figures.

Date posted:
August 20, 2019
.
Answers (1)
-
Find the length BC of the following triangle if AC = 3.7cm, AB = 4cm and o
(Solved)
Find the length BC of the following triangle if AC = 3.7cm, AB = 4cm and o.

Date posted:
August 20, 2019
.
Answers (1)
-
The motion of a particle P moving a long a straight line is described by the equation s = 8t + 10t2 – t3. Where...
(Solved)
The motion of a particle P moving a long a straight line is described by the equation s = 8t + 10t2 – t3. Where s is the distance in metres and t is time in seconds.
Calculate:
(i) The distance when t = 2.5 sec.
(ii) The maximum velocity of the motion
(iii) The acceleration of motion after 3 seconds
(iv) The time at which the velocity is zero
Date posted:
August 20, 2019
.
Answers (1)
-
A security guard observes that the angle of elevation to the top of an observation tower is 36o
(Solved)
A security guard observes that the angle of elevation to the top of an observation tower is 36o, if he walks 65m towards the base of the tower, the angle becomes 57.5o. What is the height of the tower?
Date posted:
August 20, 2019
.
Answers (1)
-
The distance between two towns A and B is 460 km. A minibus left town A at 7:15 am and traveled towards B at an...
(Solved)
The distance between two towns A and B is 460 km. A minibus left town A at 7:15 am and traveled towards B at an average speed of 65 km/h.A car left B at 9:45 am on the same day and traveled towards A at an average speed of 100 km/h.
(a) How far from B did they meet?
(b) At what time did the two vehicles meet?
(c) A motorist started from his home at 8:15 am on the same day and traveled to B at an average speed of 120 km/h. He arrived at the same time as the minibus. Calculate the distance from B to his home.
Date posted:
August 20, 2019
.
Answers (1)
-
An open rectangular box measures externally 32cm long, 27cm wide and 15cm deep. If the box is made of wood 1cm thick, what volume of...
(Solved)
An open rectangular box measures externally 32cm long, 27cm wide and 15cm deep. If the box is made of wood 1cm thick, what volume of wood is used?
Date posted:
August 20, 2019
.
Answers (1)
-
Solve the simultaneous equation below.
(Solved)
Solve the simultaneous equation below.

Date posted:
August 20, 2019
.
Answers (1)
-
Use reciprocal tables to work out the following correct to 4s.f.
(Solved)
Use reciprocal tables to work out the following correct to 4s.f.

Date posted:
August 20, 2019
.
Answers (1)
-
Mutua had a tank which had two taps A and B.
(Solved)
Mutua had a tank which had two taps A and B. Tap A takes 5 and a third minutes to fill the tank and tap B takes 10 minutes to empty the tank. Starting with a tank ¾ full, how long will it take to fill the tank if both taps are opened at the same time?
Date posted:
August 20, 2019
.
Answers (1)
-
A cylindrical storage tank of diameter 14 cm is initially two thirds full of water. The tank is filled by a pipe of internal diameter...
(Solved)
A cylindrical storage tank of diameter 14 cm is initially two thirds full of water. The tank is filled by a pipe of internal diameter 10 cm through which water flows at the rate of 56 litres per minute. Water starts flowing into the tank at 10:15 am and the tank is full at 2:55 pm.
(a) Determine the height of the tank.
(b) Starting with the full tank, school uses water from this tank at the rate of 11,550 cm3 per day. Find how long it takes to consume all the water assuming that no more water is added.
(c) How long does it take for the tap to fill the tank when empty?
Date posted:
August 20, 2019
.
Answers (1)
-
Solve the following quadratic equation by completing the square.
(Solved)
Solve the following quadratic equation by completing the square.
2x2= 1.5 – 7x
Date posted:
August 20, 2019
.
Answers (1)
-
Solve for x in the equation:
(Solved)
Solve for x in the equation:
27x-1 x 3x+1= 243
Date posted:
August 20, 2019
.
Answers (1)
-
A number of people working at a factory decided to raise sh. 72,000 towards a famine relief. Each person was to contribute the same amount....
(Solved)
A number of people working at a factory decided to raise sh. 72,000 towards a famine relief. Each person was to contribute the same amount. Before the contributions were collected, five of the people retired from working at the factory. This means that the remaining contributors had to pay more to meet the same target.
(a) Taking ‘n’ as the number of people working in the factory originally, write down an expression for the increase in the contribution per person.
(b) If the increase in the contribution per person was sh. 1200, find the number of people originally.
(c) How much would each person have contributed to the nearest shilling if the five had not retired?
(d) Calculate the percentage increase in the contribution per person caused by retirements giving your answer to the nearest hundredth.
Date posted:
August 20, 2019
.
Answers (1)
-
Using a ruler and a pair of compasses only, construct a triangle ABC such that AB = 6.3cm, BC = 4.5cm and angle ABC =...
(Solved)
Using a ruler and a pair of compasses only, construct a triangle ABC such that AB = 6.3cm, BC = 4.5cm and angle ABC = 120o. Measure line AC.
Date posted:
August 20, 2019
.
Answers (1)
-
Two grades of tea costing sh. 120 and sh. 150 per kilogram are mixed. In what ratio should the two grades be mixed in order...
(Solved)
Two grades of tea costing sh. 120 and sh. 150 per kilogram are mixed. In what ratio should the two grades be mixed in order to produce a mixture that costs sh. 144 per kilogram?
Date posted:
August 20, 2019
.
Answers (1)
-
Three towns A, B and C are situated so that AB = 65 km and AC = 115 km. The bearing of B from A...
(Solved)
Three towns A, B and C are situated so that AB = 65 km and AC = 115 km. The bearing of B from A is 062o and the bearing of C from A is 278o.Calculate.
a) The distance BC
b) The bearing of B from C
Date posted:
August 20, 2019
.
Answers (1)
-
Solve the following quadratic equations by completing the square method.
3x2 – 7x – 5 = 0
(Solved)
Solve the following quadratic equations by completing the square method.
3x2 – 7x – 5 = 0
Date posted:
August 20, 2019
.
Answers (1)
-
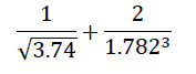
Use tables of cubes, square roots and reciprocals to evaluate to 4 s.f.
(Solved)
Use tables of cubes, square roots and reciprocals to evaluate to 4 s.f.

Date posted:
August 20, 2019
.
Answers (1)