-
Two towns P and Q are 550 km apart. A bus starts from town Q and travels towards P at 8:45 a.m. at an average...
(Solved)
Two towns P and Q are 550 km apart. A bus starts from town Q and travels towards P at 8:45 a.m. at an average speed of 80 km/hr. A car starts from P towards Q at 10:00 a.m. at an average speed of 100 km/hr. Calculate:
a. The distance covered by the bus before the car starts its journey.
b. How far from Q the vehicles met.
c. The time the two vehicles met.
d. The time the car arrived at town Q.
Date posted:
August 22, 2019
.
Answers (1)
-
A factory blends three types of juice in the ratios A:B = 3:4 and B:C = 1:2
(Solved)
A factory blends three types of juice in the ratios A:B = 3:4 and B:C = 1:2
a) Determine;
i. The ratio A:B:C
ii. The amount of type A juice in a 20 litre mixture.
b) The cost of producing one litre of A is Ksh. 80, one litre of B is Ksh. 84 and one litre of C is Ksh. 90.
i. Find the cost of producing one litre of the mixture.
ii. Calculate the selling price of one litre of the mixture if the factory makes a profit of 25%.
c) The factory uses types of machines P and Q to blend the juices. Machine P takes 7 hours to blend
14 000 litres and Q takes 5 hours to blend 12 000 litres. Determine the time it would take the factory to blend 550 000 litres.
Date posted:
August 22, 2019
.
Answers (1)
-
(a) Find the equation of a straight line L1 that passes through the points P (-6,-3) and Q (1,3) in the form ay+bx=c where a,...
(Solved)
(a) Find the equation of a straight line L1 that passes through the points P (-6,-3) and Q (1,3) in the form ay+bx=c where a, b and c are constants.
(b) A second line L2 is parallel to L1 and passes through (2,-3). Find the equation of L2 in the form y = mx +c.
(c) A third line L3 passes through (2,3) and is perpendicular to L1. Find the equation of L3 in the form ay+bx=c.
(d) Use matrix method to find the coordinates of R the point where L1 and L3 intersect.
Date posted:
August 22, 2019
.
Answers (1)
-
The diagram below represents a solid consisting of a hemispherical bottom and a conical frustum at the top.
(Solved)
The diagram below represents a solid consisting of a hemispherical bottom and a conical frustum at the top.

a) Determine the value of x and hence the height of the big cone.
b) Calculate the surface area of the solid.
c) Calculate the volume of the solid.
Date posted:
August 22, 2019
.
Answers (1)
-
A trader sold an article at Ksh. 4 800 after allowing a customer a 12% discount on the marked price of the article. In so...
(Solved)
A trader sold an article at Ksh. 4 800 after allowing a customer a 12% discount on the marked price of the article. In so doing he made a profit of 45%.
a) Calculate to 2 decimal places;
i. The marked price of the item.
ii. Price at which the trader had bought the article.
b) If the trader had sold the same article without giving a discount, calculate the percentage profit he would have made.
c) To clear his stock, the trader decided to sell all the remaining articles at a loss of 12.5%, calculate the price at which he sold each article.
Date posted:
August 22, 2019
.
Answers (1)
-
The table below shows the height of 50 bean plants, six weeks after planting.Estimate the mean height of the seedlings.
(Solved)
The table below shows the height of 50 bean plants, six weeks after planting.

Estimate the mean height of the seedlings.
Date posted:
August 22, 2019
.
Answers (1)
-
The position vector of p and q is 3i -2j+k and 2i+j-3k respectively. Determine the column vector PQ and hence calculate its length to 2 decimal...
(Solved)
The position vector of p and q is 3i-2j+k and 2i+j-3k respectively. Determine the column vector PQ and hence calculate its length to 2 decimal places.
Date posted:
August 22, 2019
.
Answers (1)
-
Simplify the expression.
(Solved)
Simplify the expression.

Date posted:
August 22, 2019
.
Answers (1)
-
Solve the inequalities below and represent the solutions on a single number line. 1-2x<5, 5-3x=-10.
(Solved)
Solve the inequalities below and represent the solutions on a single number line.
1-2x<5, 5-3x=-10.
Date posted:
August 22, 2019
.
Answers (1)
-
Construct triangle PQR such that PQ = 7 cm, QR = 5 cm and 0
(Solved)
Construct triangle PQR such that PQ = 7 cm, QR = 5 cm and 0
Date posted:
August 22, 2019
.
Answers (1)
-
Find x if cos(3x-300)= sin(7x+500).
(Solved)
Find x if cos(3x-300)= sin(7x+500).
Date posted:
August 22, 2019
.
Answers (1)
-
The exterior angle of a regular polygon is (??-50)0 and the interior angle is (2??+200 .Find the number of sides of the polygon.
(Solved)
The exterior angle of a regular polygon is (𝑥−50)0 and the interior angle is (2𝑥+200 .Find the number of sides of the polygon.
Date posted:
August 22, 2019
.
Answers (1)
-
Find the value of n in
(Solved)
Find the value of n in

Date posted:
August 22, 2019
.
Answers (1)
-
It takes 40 road construction workers 8 days working 10 hours a day to complete a section of a road. How many days would 60...
(Solved)
It takes 40 road construction workers 8 days working 10 hours a day to complete a section of a road. How many days would 60 road construction workers working 8 hours a day take to complete the same section of the road working at the same rate?
Date posted:
August 22, 2019
.
Answers (1)
-
Use square roots, reciprocal and square root tables to evaluate to 4 significant figures the expression;
(Solved)
Use square roots, reciprocal and square root tables to evaluate to 4 significant figures the expression;

Date posted:
August 22, 2019
.
Answers (1)
-
The members of a photography club decided to buy a camera worth Ksh 4000 by each one contributing the same amount of money. Fifteen members...
(Solved)
The members of a photography club decided to buy a camera worth Ksh 4000 by each one contributing the same amount of money. Fifteen members fail to pay their contribution and as a result each of the other members has to pay Ksh 60 more. Find the number of members in the club.
Date posted:
August 22, 2019
.
Answers (1)
-
The figure below shows a frustrum made from a right pyramid, such that
(Solved)
The figure below shows a frustrum made from a right pyramid,such that AB=DC=16cm,BC=AD=10cm,FG=EH=18cm,GH=FE=7.5cm, CH=BG=AF=DE=15cm.If the altitude of the frustrum is 14.6cm,find:

(a) The altitude of the pyramid made from the frustum.
(b) The surface area of the frustum.
(c) The volume of the frustum.
Date posted:
August 22, 2019
.
Answers (1)
-
Three people; A , B and C work together to make a certain number of tins. If person C was to work alone he will...
(Solved)
Three people; A , B and C work together to make a certain number of tins. If person C was to work alone he will take 4 4/9 hours to complete the job. If all working together they will take 1hr 40min to complete the job. They all started working together however person B left after first 40min,while person C left 20min later. Person A took a further 1hr 46min. Calculate how long it would take if all the tins were made by;
a) Person A alone?
b) Person B alone?
c) Person A and C alone?
Date posted:
August 22, 2019
.
Answers (1)
-
a) Draw the graph of the function below on the grid provided
(Solved)
a) Draw the graph of the function below on the grid provided
y = 2x2 – 7x – 2 for the values of -1≤X≤6
b) From your graph determine the roots of the function. 2x2 – 7x – 2 = 0
c) By drawing a suitable graph of function y = 2x – 7 on the same axis, solve the simultaneous equations y = 2x2 – 7x – 2 and y = 2x – 7.
Date posted:
August 22, 2019
.
Answers (1)
-
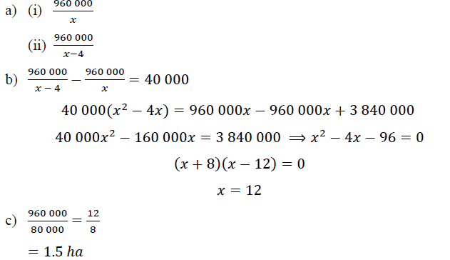
Town B is 20km N600W from village A. Town B is 25km 0400 from town C. Village D is
due East of town C and dues...
(Solved)
Town B is 20km N600W from village A. Town B is 25km 0400 from town C. Village D is
due East of town C and dues South of village A
(a) Using a scale 1:500,000 draw a diagram showing a relative position of town B,
town C, village A and village D
(b) Determine
(i) Distance between village A and town C
(ii) Distance between town C and village D
(iii)Compass bearing of town C from village A
(iv) Compass bearing of village D from town
(c) Determine the area enclosed by the diagram in (a) above in hectares
Date posted:
August 22, 2019
.
Answers (1)