-
The ratio of the area of two similar spheres is 16:25. If the volume of the smaller one is 195cm3
(Solved)
The ratio of the area of two similar spheres is 16:25. If the volume of the smaller one is 195cm3 .Find the volume of the large one to 1d.p.
Date posted:
August 22, 2019
.
Answers (1)
-
Mutoa bought 4 mangoes and 2 Banana at sh. 39 while Mueni bought 2 mangoes less and 2 Banana more than Mutoa at Sh 69....
(Solved)
Mutoa bought 4 mangoes and 2 Banana at sh. 39 while Mueni bought 2 mangoes less and 2 Banana more than Mutoa at Sh 69. Determine the cost of each fruit.
Date posted:
August 22, 2019
.
Answers (1)
-
The line passing through the point B(1,-2) is parallel to the line whose equation is -2x + 3y = 5. Find the equation of the...
(Solved)
The line passing through the point B(1,-2) is parallel to the line whose equation is -2x + 3y = 5. Find the equation of the line and hence determine the coordinates of point P where this line cuts the equation y = 0
Date posted:
August 22, 2019
.
Answers (1)
-
Use table of reciprocal to find the value of X given that
(Solved)
Use table of reciprocal to find the value of X given that

Date posted:
August 22, 2019
.
Answers (1)
-
Without using calculator, evaluate the following
(Solved)
Without using calculator, evaluate the following

Date posted:
August 22, 2019
.
Answers (1)
-
Two aeroplanes P and Q, leave an airport at the same time. P flies on a bearing of 2400 at 900km/h while Q flies due...
(Solved)
Two aeroplanes P and Q, leave an airport at the same time. P flies on a bearing of 2400 at 900km/h while Q flies due east at 750 km/h.
a) Using a scale of 1 cm to represent 100 km, make a scale drawing to show the positions of the aeroplanes after 40 minutes.
b) Use the scale drawing to find the distance between the two areoplanes after 40 minutes.
c) Determine the bearings of;
i. P from Q
ii. Q from P
Date posted:
August 22, 2019
.
Answers (1)
-
The following data was obtained from the mass of a certain animal. Complete the table and the histogram below.
(Solved)
The following data was obtained from the mass of a certain animal. Complete the table and the histogram below.

Date posted:
August 22, 2019
.
Answers (1)
-
Solve the equation
(Solved)
Solve the equation

Date posted:
August 22, 2019
.
Answers (1)
-
An investment group decided to raise Shs. 960 000 to buy a piece of land costing Kshs. 80 000 per hectare. Before they paid, four...
(Solved)
An investment group decided to raise Shs. 960 000 to buy a piece of land costing Kshs. 80 000 per hectare. Before they paid, four of them pulled out and those that remained were supposed to pay an additional Kshs. 40 000.
a. If the initial number of members was 𝑥, write down;
i. An expression of what each was to contribute originally.
ii. An expression of what each of remaining members contributed.
b. Calculate the number of members who were initially in the group using the expression in (a) above.
c. If the land was sub divided equally, calculate what size each member got.
Date posted:
August 22, 2019
.
Answers (1)
-
Two towns P and Q are 550 km apart. A bus starts from town Q and travels towards P at 8:45 a.m. at an average...
(Solved)
Two towns P and Q are 550 km apart. A bus starts from town Q and travels towards P at 8:45 a.m. at an average speed of 80 km/hr. A car starts from P towards Q at 10:00 a.m. at an average speed of 100 km/hr. Calculate:
a. The distance covered by the bus before the car starts its journey.
b. How far from Q the vehicles met.
c. The time the two vehicles met.
d. The time the car arrived at town Q.
Date posted:
August 22, 2019
.
Answers (1)
-
A factory blends three types of juice in the ratios A:B = 3:4 and B:C = 1:2
(Solved)
A factory blends three types of juice in the ratios A:B = 3:4 and B:C = 1:2
a) Determine;
i. The ratio A:B:C
ii. The amount of type A juice in a 20 litre mixture.
b) The cost of producing one litre of A is Ksh. 80, one litre of B is Ksh. 84 and one litre of C is Ksh. 90.
i. Find the cost of producing one litre of the mixture.
ii. Calculate the selling price of one litre of the mixture if the factory makes a profit of 25%.
c) The factory uses types of machines P and Q to blend the juices. Machine P takes 7 hours to blend
14 000 litres and Q takes 5 hours to blend 12 000 litres. Determine the time it would take the factory to blend 550 000 litres.
Date posted:
August 22, 2019
.
Answers (1)
-
(a) Find the equation of a straight line L1 that passes through the points P (-6,-3) and Q (1,3) in the form ay+bx=c where a,...
(Solved)
(a) Find the equation of a straight line L1 that passes through the points P (-6,-3) and Q (1,3) in the form ay+bx=c where a, b and c are constants.
(b) A second line L2 is parallel to L1 and passes through (2,-3). Find the equation of L2 in the form y = mx +c.
(c) A third line L3 passes through (2,3) and is perpendicular to L1. Find the equation of L3 in the form ay+bx=c.
(d) Use matrix method to find the coordinates of R the point where L1 and L3 intersect.
Date posted:
August 22, 2019
.
Answers (1)
-
The diagram below represents a solid consisting of a hemispherical bottom and a conical frustum at the top.
(Solved)
The diagram below represents a solid consisting of a hemispherical bottom and a conical frustum at the top.

a) Determine the value of x and hence the height of the big cone.
b) Calculate the surface area of the solid.
c) Calculate the volume of the solid.
Date posted:
August 22, 2019
.
Answers (1)
-
A trader sold an article at Ksh. 4 800 after allowing a customer a 12% discount on the marked price of the article. In so...
(Solved)
A trader sold an article at Ksh. 4 800 after allowing a customer a 12% discount on the marked price of the article. In so doing he made a profit of 45%.
a) Calculate to 2 decimal places;
i. The marked price of the item.
ii. Price at which the trader had bought the article.
b) If the trader had sold the same article without giving a discount, calculate the percentage profit he would have made.
c) To clear his stock, the trader decided to sell all the remaining articles at a loss of 12.5%, calculate the price at which he sold each article.
Date posted:
August 22, 2019
.
Answers (1)
-
The table below shows the height of 50 bean plants, six weeks after planting.Estimate the mean height of the seedlings.
(Solved)
The table below shows the height of 50 bean plants, six weeks after planting.

Estimate the mean height of the seedlings.
Date posted:
August 22, 2019
.
Answers (1)
-
The position vector of p and q is 3i -2j+k and 2i+j-3k respectively. Determine the column vector PQ and hence calculate its length to 2 decimal...
(Solved)
The position vector of p and q is 3i-2j+k and 2i+j-3k respectively. Determine the column vector PQ and hence calculate its length to 2 decimal places.
Date posted:
August 22, 2019
.
Answers (1)
-
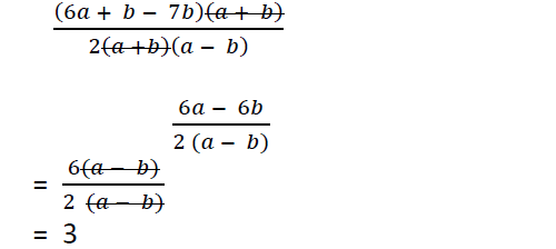
Simplify the expression.
(Solved)
Simplify the expression.

Date posted:
August 22, 2019
.
Answers (1)
-
Solve the inequalities below and represent the solutions on a single number line. 1-2x<5, 5-3x=-10.
(Solved)
Solve the inequalities below and represent the solutions on a single number line.
1-2x<5, 5-3x=-10.
Date posted:
August 22, 2019
.
Answers (1)
-
Construct triangle PQR such that PQ = 7 cm, QR = 5 cm and 0
(Solved)
Construct triangle PQR such that PQ = 7 cm, QR = 5 cm and 0
Date posted:
August 22, 2019
.
Answers (1)
-
Find x if cos(3x-300)= sin(7x+500).
(Solved)
Find x if cos(3x-300)= sin(7x+500).
Date posted:
August 22, 2019
.
Answers (1)