-
In an examination, one hundred candidates took papers in physics and chemistry.Twenty five candidates failed in physics only. Twenty candidates failed in Chemistry Only. Fifteen...
(Solved)
In an examination, one hundred candidates took papers in physics and chemistry.Twenty five candidates failed in physics only. Twenty candidates failed in Chemistry Only. Fifteen failed in both physics and chemistry.A candidate is selected at random.
Find the probability that:
i) he failed in Chemistry if it is known that he failed in Physics.
ii) he failed in physics if it is known that he failed in chemistry.
iii) he failed either in Physics or in Chemistry but not in both.
Date posted:
August 23, 2019
.
Answers (1)
-
The figure below shows a triangular prism ABCDEF. If given that AB = 12 cm, AE = 20cm AC = ED = BC= FD =...
(Solved)
The figure below shows a triangular prism ABCDEF. If given that AB = 12 cm, AE = 20cm AC = ED = BC= FD = 10cm, calculate the angle between plane ADB and the base.

Date posted:
August 23, 2019
.
Answers (1)
-
A trader deals in two types of rice; rice A and rice B. Type Arice costs Kshs. 400 per bag and type B costs Kshs....
(Solved)
A trader deals in two types of rice; rice A and rice B. Type Arice costs Kshs. 400 per bag and type B costs Kshs. 350 per bag. The trader mixes 30 bags of type A with 50 bags of type B. If he sells the mixture at a profit of 20%, calculate the selling price of one bag of the mixture.
Date posted:
August 23, 2019
.
Answers (1)
-
Three boys and three girls sit in a row of six seats. Find the probability that: i) the 3 girls sit together .ii) the girls and the...
(Solved)
Three boys and three girls sit in a row of six seats. Find the probability that:
i) the 3 girls sit together.
ii) the girls and the boys sit in alternate seats.
Date posted:
August 23, 2019
.
Answers (1)
-
In the following figure, MN=8cm, MX= 2cm, KL= 8cm and LX = t cm. Calculate two possible values of t.
(Solved)
In the following figure, MN=8cm, MX= 2cm, KL= 8cm and LX = t cm. Calculate two possible values of t.

Date posted:
August 23, 2019
.
Answers (1)
-
Solve the following simultaneous equation
(Solved)
Solve the following simultaneous equation

Date posted:
August 23, 2019
.
Answers (1)
-
Given the quadratic function y = 3x2 + 4x - 1
(Solved)
Given the quadratic function y = 3x2 + 4x - 1
a) Complete the table below for values of x ranging - 4 < x < 3.

b) Using the grid provided draw the graph of y = 3x2 + 4x – 2 for -4 < x < 3
c) Using the graph, find the solution to the equations.
i) 3x2 + 4x – 2 = 0
ii) 3x2 + 7x + 2 = 0
Date posted:
August 23, 2019
.
Answers (1)
-
Simplify the following,leaving your answer in surd form.
(Solved)
Simplify the following,leaving your answer in surd form.

Date posted:
August 23, 2019
.
Answers (1)
-
Make h the subject of the formula in the following equation.
(Solved)
Make h the subject of the formula in the following equation.

Date posted:
August 23, 2019
.
Answers (1)
-
Without using tables or calculators, evaluate
(Solved)
Without using tables or calculators, evaluate

Date posted:
August 23, 2019
.
Answers (1)
-
The figure below represents the cross-section of a metal structure used in constructionwork. The structure is 15 metres long and all dimensions in the figure...
(Solved)
The figure below represents the cross-section of a metal structure used in construction work. The structure is 15 metres long and all dimensions in the figure are given in centimeters. The structure is made of metal whose density in 2.4g/cm3

Calculate:
a) the total surface area of the structure in square meters.
b) the volume of the structure
c) the mass of the structure in kilograms
Date posted:
August 23, 2019
.
Answers (1)
-
Without using a set square or a protractor construct: a) Triangle ABC such that AB = 8cm, BC = 6cm and
(Solved)
Without using a set square or a protractor construct:
a) Triangle ABC such that AB = 8cm, BC = 6cm and angle ABC= 300
b) Measure the length AC
c) Draw a circle that touches sides AB, BC and AC
d) Measure the radius of the circle.
e) Hence or otherwise calculate the area in the triangle but not in the circle.
Date posted:
August 23, 2019
.
Answers (1)
-
Calculate the value of x in the equation given below.
32x – 10(3x) + 9 = 0
(Solved)
Calculate the value of x in the equation given below.
32x – 10(3x) + 9 = 0
Date posted:
August 23, 2019
.
Answers (1)
-
A boat travels West at a speed of 240 knots from point (150N, 150E). Calculate its Position after 5 hours.
(Solved)
A boat travels West at a speed of 240 knots from point (150N, 150E). Calculate its Position after 5 hours.
Date posted:
August 23, 2019
.
Answers (1)
-
In the figure below, AC is an arc of a circle centre D. Angle ADC = 600, AD = DC = 7cmand CB = 5cm.
(Solved)
In the figure below, AC is an arc of a circle centre D. Angle ADC = 600, AD = DC = 7cm and
CB = 5cm.

Calculate:
a) The area of triangle ADB
b) The area of the shaded region.
Date posted:
August 23, 2019
.
Answers (1)
-
Solve the inequalities below and represent the solutions on a single number line.
1 – 2x < 5, 5 – 3x > - 10
(Solved)
Solve the inequalities below and represent the solutions on a single number line.
1 – 2x < 5, 5 – 3x > - 10
Date posted:
August 23, 2019
.
Answers (1)
-
By striding 60cm or by striding 64cm, John takes an exact number of steps to crossa road. Find the least width of the road in...
(Solved)
By striding 60cm or by striding 64cm, John takes an exact number of steps to cross a road. Find the least width of the road in metres.
Date posted:
August 23, 2019
.
Answers (1)
-
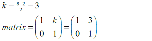
Solve the matrix below
(Solved)
Given that matrix
, find matrix B such that A2 = A – B.
Date posted:
August 23, 2019
.
Answers (1)
-
In the circle O is the centre, angle DAB = 870. Arc AB is twice arc AD. Calculate Angle AOB.
(Solved)
In the circle O is the centre, angle DAB = 870. Arc AB is twice arc AD. Calculate Angle AOB.

Date posted:
August 22, 2019
.
Answers (1)
-
Town A is 240km from town B. A car travels at a speed of 60km/h from town A startingat 1000hrs.
(Solved)
Town A is 240km from town B. A car travels at a speed of 60km/h from town A starting at 1000hrs. A cyclist leaves town B at 0900hrs and travels at a steady speed to town A. If they pass each other at 1300hrs, calculate the speed of the cyclist.
Date posted:
August 22, 2019
.
Answers (1)