-
Without using mathematical tables or calculator, evaluate
(Solved)
Without using mathematical tables or calculator, evaluate

Date posted:
August 23, 2019
.
Answers (1)
-
A cooker is valued at Ksh. 8000. If it appreciated by 10% in the first year, 12% in the second yearand then 8% per annum...
(Solved)
A cooker is valued at Ksh. 8000. If it appreciated by 10% in the first year, 12% in the second year and then 8% per annum in the subsequent years, determine its value at the end of 4 years.
Date posted:
August 23, 2019
.
Answers (1)
-
A water pipe running through the subdivision XPY is parallel to XY and divides the area in the ration 4:5 where the bigger portion is...
(Solved)
A water pipe running through the subdivision XPY is parallel to XY and divides the area in the ration 4:5 where the bigger portion is a trapezium. Calculate the distance of the pipe from P.
Date posted:
August 23, 2019
.
Answers (1)
-
Given the expression
(Solved)
Given the expression

Find the values of a, b and c.
Date posted:
August 23, 2019
.
Answers (1)
-
Use logarithms tables to evaluate
(Solved)
Use logarithms tables to evaluate

Date posted:
August 23, 2019
.
Answers (1)
-
A triangular plot of land XYZ is such that XY = 34m, XZ = 66m and angle YXZ = 96.70
(Solved)
A triangular plot of land XYZ is such that XY = 34m, XZ = 66m and angle YXZ = 96.70.
a) Calculate the length YZ
b) In order to subdivide the plot, a fencing post P is located on YZ such that YP: PZ = 1: 3. Calculate the area of the plot XYZ and hence find the area of the triangular subdivision XPY.
Date posted:
August 23, 2019
.
Answers (1)
-
The resistance of an electrical conductor is partly constant and partly varies as the temperature(k). When the temperature is 270C, the resistance is 55 ohms, and...
(Solved)
The resistance of an electrical conductor is partly constant and partly varies as the temperature(k). When the temperature is 270C, the resistance is 55 ohms, and when the temperature is 570C, the resistance is 58 ohms. Find the relation between the temperature and the resistance.
Date posted:
August 23, 2019
.
Answers (1)
-
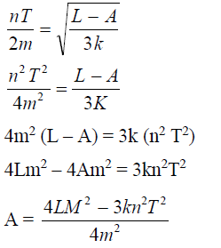
Make x the subject of the formula.
(Solved)
Make x the subject of the formula.

Date posted:
August 23, 2019
.
Answers (1)
-
A stadium can fully maximize on profits if 72,000 people are accommodated. Each row of seats accommodates the same number of people. On a certain...
(Solved)
A stadium can fully maximize on profits if 72,000 people are accommodated. Each row of seats accommodates the same number of people. On a certain day, 25 rows were defective and it was therefore decided that each of the remaining rows would have to squeeze in 40 more people for the stadium to have the maximum number of people.
a) Calculate
i) how many people does each row of seats hold.
ii) the number of rows in the stadium.
b) From the total tickets sale, if
is used on repairs of the defective rows and
of the remainder on other expenses , Kshs.4,320,000 is left. Calculate the value of each ticket.
Date posted:
August 23, 2019
.
Answers (1)
-
The internal and external diameters of a circular ring are 8cm and 10cm respectively. Find the volume of the ring if its thickness is 3.5 millimeters.
(Solved)
The internal and external diameters of a circular ring are 8cm and 10cm respectively. Find the volume of the ring if its thickness is 3.5 millimeters.
Date posted:
August 23, 2019
.
Answers (1)
-
The first and thirteenth terms of A.P are 7 and 1 respectively. Calculate the number of terms which have a sum of zero.
(Solved)
The first and thirteenth terms of A.P are 7 and 1 respectively. Calculate the number of terms which have a sum of zero.
Date posted:
August 23, 2019
.
Answers (1)
-
Two bus stations P and Q are such that Q is 500km due East of P. Two buses M and N Leave from P and Q...
(Solved)
Two bus stations P and Q are such that Q is 500km due East of P. Two buses M and N Leave from P and Q respectively at the same time. Bus M moves at 360km/h on a bearing of N 300E. Bus N moves at 240km/h on a bearing of N450W. The two buses stop after 1 ½ hrs.
Using a scale of
a) Show the relative positions of the buses after 1 ½ hrs.
b) Find the distance between the buses after 1 ½ hrs.
c) Find the true bearing of;
i) M from N
ii) N from M after 1 ½ hrs.
Date posted:
August 23, 2019
.
Answers (1)
-
A metallic disc is in the shape of a regular polygon of side 16cm and interior angle 150o. The disc is 10mm thick and is...
(Solved)
A metallic disc is in the shape of a regular polygon of side 16cm and interior angle 150o. The disc is 10mm thick and is made of metal whose density is 8.5g /cm3.
a) Determine the number of sides of the polygon.
b) Calculate to the nearest whole number:
i. The area of the polygon
ii. The volume of the disc
iii. The mass of the disc in kg
Date posted:
August 23, 2019
.
Answers (1)
-
Mr Mulei saved Kshs. 2,000 during the first year of employment. In each subsequent year, he saved 15% more than the previous year, until he...
(Solved)
Mr Mulei saved Kshs. 2,000 during the first year of employment. In each subsequent year, he saved 15% more than the previous year, until he retired.
a) How much did he save in the third year?
b)How much did he save in the 4th year?
c) Find the common ratio between the savings in the two consecutive years?
Date posted:
August 23, 2019
.
Answers (1)
-
An investor invested his money in a bank that gives compound interest of 12% p.a compounded quarterly. If he invested Kshs 16800 for 2 years...
(Solved)
An investor invested his money in a bank that gives compound interest of 12% p.a compounded quarterly. If he invested Kshs 16800 for 2 years and then withdraws all the money at the end of the 2 years, how much interest does he get?
Date posted:
August 23, 2019
.
Answers (1)
-
A point R (2, 2) is mapped onto R1 (8, 2) by a shear matrix, x-axis being invariant. Find the shear factor hence or otherwise...
(Solved)
A point R (2, 2) is mapped onto R1 (8, 2) by a shear matrix, x-axis being invariant. Find the shear factor hence or otherwise write down the shear matrix.
Date posted:
August 23, 2019
.
Answers (1)
-
In an examination, one hundred candidates took papers in physics and chemistry.Twenty five candidates failed in physics only. Twenty candidates failed in Chemistry Only. Fifteen...
(Solved)
In an examination, one hundred candidates took papers in physics and chemistry.Twenty five candidates failed in physics only. Twenty candidates failed in Chemistry Only. Fifteen failed in both physics and chemistry.A candidate is selected at random.
Find the probability that:
i) he failed in Chemistry if it is known that he failed in Physics.
ii) he failed in physics if it is known that he failed in chemistry.
iii) he failed either in Physics or in Chemistry but not in both.
Date posted:
August 23, 2019
.
Answers (1)
-
The figure below shows a triangular prism ABCDEF. If given that AB = 12 cm, AE = 20cm AC = ED = BC= FD =...
(Solved)
The figure below shows a triangular prism ABCDEF. If given that AB = 12 cm, AE = 20cm AC = ED = BC= FD = 10cm, calculate the angle between plane ADB and the base.

Date posted:
August 23, 2019
.
Answers (1)
-
A trader deals in two types of rice; rice A and rice B. Type Arice costs Kshs. 400 per bag and type B costs Kshs....
(Solved)
A trader deals in two types of rice; rice A and rice B. Type Arice costs Kshs. 400 per bag and type B costs Kshs. 350 per bag. The trader mixes 30 bags of type A with 50 bags of type B. If he sells the mixture at a profit of 20%, calculate the selling price of one bag of the mixture.
Date posted:
August 23, 2019
.
Answers (1)
-
Three boys and three girls sit in a row of six seats. Find the probability that: i) the 3 girls sit together .ii) the girls and the...
(Solved)
Three boys and three girls sit in a row of six seats. Find the probability that:
i) the 3 girls sit together.
ii) the girls and the boys sit in alternate seats.
Date posted:
August 23, 2019
.
Answers (1)