-
A bank either pays simple interest as 5% p.a or compound interest as 5% p.a on deposits.
(Solved)
A bank either pays simple interest as 5% p.a or compound interest as 5% p.a on deposits. Nekesa deposited Ksh. P in the bank for two years on simple interest terms, if she had deposited the same amount for two years on compound interest terms, she would have earned Ksh. 210 more. Find the value of P.
Date posted:
August 23, 2019
.
Answers (1)
-
The length of a hollow cylindrical pipe is 6meters. Its external distance is 11cm and has a thickness of 1cm. Calculate the volume in cm3 of...
(Solved)
The length of a hollow cylindrical pipe is 6meters. Its external distance is 11cm and has a thickness of 1cm. Calculate the volume in cm3 of the material used to make the pipe.

Date posted:
August 23, 2019
.
Answers (1)
-
Mr Ondati is a salaried civil servant. He earns a basic monthly salary of sh. 20,640, a house allowance of sh. 6,800p.m and medical allowance...
(Solved)
Mr Ondati is a salaried civil servant. He earns a basic monthly salary of sh. 20,640, a house allowance of sh. 6,800p.m and medical allowance of sh. 2800p.m. He claims a family relief of sh. 400p.m. He pays sh. 300 per month and 2% of his salary towards water bills and NHIF respectively.
Calculate his net monthly salary in Ksh using the tax rates shown in the table below.

Date posted:
August 23, 2019
.
Answers (1)
-
In the figure below the diameter AB of the circle is parallel to DC. DCE is a straight line and angle BCE = 630. Calculate...
(Solved)
In the figure below the diameter AB of the circle is parallel to DC. DCE is a straight line and angle BCE = 630. Calculate the angle DBC.

Date posted:
August 23, 2019
.
Answers (1)
-
A bus and a matatu starts from Nairobi to Kisii via Narok at the same time making a distance of 280km. The matatu average is 20km/h...
(Solved)
A bus and a matatu starts from Nairobi to Kisii via Narok at the same time making a distance of 280km. The matatu average is 20km/h faster than the bus and reaches there 1 hour 36 minutes earlier. Determine the speed of the bus.
Date posted:
August 23, 2019
.
Answers (1)
-
A line L1 is perpendicular to the line 2y + 3x = 6. Determine the acute angle made by the line L1 and the x...
(Solved)
A line L1 is perpendicular to the line 2y + 3x = 6. Determine the acute angle made by the line L1 and the x – axis
Date posted:
August 23, 2019
.
Answers (1)
-
Given that (5m – 2n) : (2m – n) = 7:5. find the ratio m:n
(Solved)
Given that (5m – 2n) : (2m – n) = 7:5. find the ratio m:n
Date posted:
August 23, 2019
.
Answers (1)
-
A book seller distributed cartons of books as follows, one school received 1/3 of the cartons he had in the stock. A second school received a...
(Solved)
A book seller distributed cartons of books as follows, one school received 1/3 of the cartons he had in the stock. A second school received a quarter of the remainder. A third school received a third of what the second school received. What remained was not more than 42 cartons. How many cartons did the second school receive.
Date posted:
August 23, 2019
.
Answers (1)
-
The sides of a triangle were measured to 1 decimal place as 6.5cm, 7.4cm and 8.2cm respectively.Calculate the percentage error in its perimeter
(Solved)
The sides of a triangle were measured to 1 decimal place as 6.5cm, 7.4cm and 8.2cm respectively.Calculate the percentage error in its perimeter
Date posted:
August 23, 2019
.
Answers (1)
-
Make A the subject of the formula
(Solved)
Make A the subject of the formula

Date posted:
August 23, 2019
.
Answers (1)
-
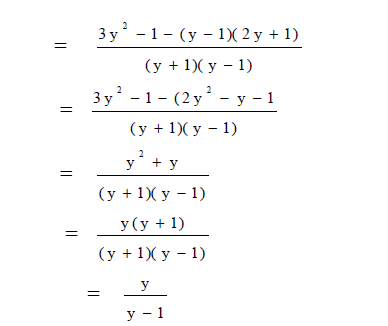
Without using mathematical tables or calculator, evaluate
(Solved)
Without using mathematical tables or calculator, evaluate

Date posted:
August 23, 2019
.
Answers (1)
-
A cooker is valued at Ksh. 8000. If it appreciated by 10% in the first year, 12% in the second yearand then 8% per annum...
(Solved)
A cooker is valued at Ksh. 8000. If it appreciated by 10% in the first year, 12% in the second year and then 8% per annum in the subsequent years, determine its value at the end of 4 years.
Date posted:
August 23, 2019
.
Answers (1)
-
A water pipe running through the subdivision XPY is parallel to XY and divides the area in the ration 4:5 where the bigger portion is...
(Solved)
A water pipe running through the subdivision XPY is parallel to XY and divides the area in the ration 4:5 where the bigger portion is a trapezium. Calculate the distance of the pipe from P.
Date posted:
August 23, 2019
.
Answers (1)
-
Given the expression
(Solved)
Given the expression

Find the values of a, b and c.
Date posted:
August 23, 2019
.
Answers (1)
-
Use logarithms tables to evaluate
(Solved)
Use logarithms tables to evaluate

Date posted:
August 23, 2019
.
Answers (1)
-
A triangular plot of land XYZ is such that XY = 34m, XZ = 66m and angle YXZ = 96.70
(Solved)
A triangular plot of land XYZ is such that XY = 34m, XZ = 66m and angle YXZ = 96.70.
a) Calculate the length YZ
b) In order to subdivide the plot, a fencing post P is located on YZ such that YP: PZ = 1: 3. Calculate the area of the plot XYZ and hence find the area of the triangular subdivision XPY.
Date posted:
August 23, 2019
.
Answers (1)
-
The resistance of an electrical conductor is partly constant and partly varies as the temperature(k). When the temperature is 270C, the resistance is 55 ohms, and...
(Solved)
The resistance of an electrical conductor is partly constant and partly varies as the temperature(k). When the temperature is 270C, the resistance is 55 ohms, and when the temperature is 570C, the resistance is 58 ohms. Find the relation between the temperature and the resistance.
Date posted:
August 23, 2019
.
Answers (1)
-
Make x the subject of the formula.
(Solved)
Make x the subject of the formula.

Date posted:
August 23, 2019
.
Answers (1)
-
A stadium can fully maximize on profits if 72,000 people are accommodated. Each row of seats accommodates the same number of people. On a certain...
(Solved)
A stadium can fully maximize on profits if 72,000 people are accommodated. Each row of seats accommodates the same number of people. On a certain day, 25 rows were defective and it was therefore decided that each of the remaining rows would have to squeeze in 40 more people for the stadium to have the maximum number of people.
a) Calculate
i) how many people does each row of seats hold.
ii) the number of rows in the stadium.
b) From the total tickets sale, if
is used on repairs of the defective rows and
of the remainder on other expenses , Kshs.4,320,000 is left. Calculate the value of each ticket.
Date posted:
August 23, 2019
.
Answers (1)
-
The internal and external diameters of a circular ring are 8cm and 10cm respectively. Find the volume of the ring if its thickness is 3.5 millimeters.
(Solved)
The internal and external diameters of a circular ring are 8cm and 10cm respectively. Find the volume of the ring if its thickness is 3.5 millimeters.
Date posted:
August 23, 2019
.
Answers (1)