-
A particle moves a long straight line such that its displacement S meters from a given point is
S = t3 – 6t2 + 2t +...
(Solved)
A particle moves a long straight line such that its displacement S meters from a given point is
S = t3 – 6t2 + 2t + 3 where t is the time in seconds. Find;
a)The displacement of the particle at t= 3
b) The velocity of the particle where t = 4.
c) The value of t when the particle is momentarily at rest.
d) The acceleration of the particle when t= 4.
Date posted:
August 23, 2019
.
Answers (1)
-
In the figure below (not drawn to scale) AB = 8cm, AC = 6cm, AD = 7cm, CD = 2.82cm and angle CAB = 50º.
(Solved)
In the figure below (not drawn to scale) AB = 8cm, AC = 6cm, AD = 7cm, CD = 2.82cm and angle CAB = 50º.

Calculate to 2 decimal places;
a) The length BC
b) The size of angle ABC
c) The size of angle CAD
d)The area of triangle ACD
Date posted:
August 23, 2019
.
Answers (1)
-
A manufacture has 720 and 840 kilogram of Arabica and Robusta coffee to make two brands of coffee A and B. To make brand A...
(Solved)
A manufacture has 720 and 840 kilogram of Arabica and Robusta coffee to make two brands of coffee A and B. To make brand A he mixes 60% of Arabica with 40 % of Robusta coffee. To make brand B he mixes 30% of Arabica with70% of Robusta coffee.
Brand A coffee to brand B must not be less than 3:5
(a) Write down the inequalities representing the information above
(b) Draw the inequalities on the grid provided
c) Determine the maximum possible profit of the manufacturer if he sold each kilogram of A and B at a profit of Ksh 200 and Ksh 300 respectively. Note that the coffee was packed in tins of 1 kg only.
Date posted:
August 23, 2019
.
Answers (1)
-
The figure below is a pyramid of rectangular base ABCD of length 12 cm and width 9cm.The slanting edge has a length of 19.5cm
a) Determine...
(Solved)
The figure below is a pyramid of rectangular base ABCD of length 12 cm and width 9cm.The slanting edge has a length of 19.5cm

a) Determine the height of the pyramid
b) The angle AE makes with base ABCD
c) The angle AED makes with BEC
d) The volume of the pyramid
Date posted:
August 23, 2019
.
Answers (1)
-
The marks obtained by 10 students in a maths test were
25, 24, 22, 23, x, 26, 21, 23, 22, and 27
The sum of the squares...
(Solved)
The marks obtained by 10 students in a maths test were
25, 24, 22, 23, x, 26, 21, 23, 22, and 27
The sum of the squares of the marks is 5154.
Calculate the
(i) Value of x
(ii) Standard deviation
(b) If each mark is increased by 3, write down the
(i) New mean
(ii) New standard deviation
Date posted:
August 23, 2019
.
Answers (1)
-
Calculate the equation of the normal to the curve y = 3x2- 4x + 5 at the point (1,4)
(Solved)
Calculate the equation of the normal to the curve y = 3x2- 4x + 5 at the point (1,4)
Date posted:
August 23, 2019
.
Answers (1)
-
A trader mixes grade A coffee costing sh 600 per kg, with grade B coffee costing sh. 280 per kg in the ratio 3 :...
(Solved)
A trader mixes grade A coffee costing sh 600 per kg, with grade B coffee costing sh. 280 per kg in the ratio 3 : 5.Find the price at which he must sell 1 kg of the mixture to make a profit of 20 %
Date posted:
August 23, 2019
.
Answers (1)
-
Use binomial expansion to simplify
(Solved)
Use binomial expansion to simplify

Date posted:
August 23, 2019
.
Answers (1)
-
Given the expression below.Find the product of the possible values of x.
(Solved)
Given the expression below.Find the product of the possible values of x.

Date posted:
August 23, 2019
.
Answers (1)
-
Two trains 246 metres and 304 metres long are traveling towards one another at 114km/ hr and 66km / hr respectively. How long do the...
(Solved)
Two trains 246 metres and 304 metres long are traveling towards one another at 114km/ hr and 66km / hr respectively. How long do the trains take to pass one another?
Date posted:
August 23, 2019
.
Answers (1)
-
The position vectors for points A and B are 2i + 5j + 3k and 4i – 7j + 3k respectively. Express vectors AB in...
(Solved)
The position vectors for points A and B are 2i + 5j + 3k and 4i – 7j + 3k respectively. Express vectors AB in terms of unit vectors i, j and k. Hence find the length of AB leaving your answer in simplified surd form.
Date posted:
August 23, 2019
.
Answers (1)
-
A quantity P is partly constant and partly varies inversely as square of t. P = 6 when t = 6 and p = 18...
(Solved)
A quantity P is partly constant and partly varies inversely as square of t. P = 6 when t = 6 and p = 18 when t = 3. Find t when p = 11
Date posted:
August 23, 2019
.
Answers (1)
-
Determine the quartile deviation of the data
18,15,21,19,17,22,21
(Solved)
Determine the quartile deviation of the data
18,15,21,19,17,22,21
Date posted:
August 23, 2019
.
Answers (1)
-
In calculating the volume of a cone a student had an error of 0.2 % in pi , 1.2 % in the height and 0.4...
(Solved)
In calculating the volume of a cone a student had an error of 0.2 % in pi , 1.2 % in the height and 0.4 % in the radius, calculate the percentage error involved in calculating the volume.
Date posted:
August 23, 2019
.
Answers (1)
-
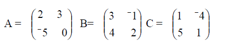
Given A, B and C are matrices as shown below.Determine matrix D given by D = AC – B and hence its inverse
(Solved)
Given A, B and C are matrices as shown below

Determine matrix D given by D = AC – B and hence its inverse
Date posted:
August 23, 2019
.
Answers (1)
-
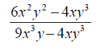
Simplify completely the expression
(Solved)
Simplify completely the expression

Date posted:
August 23, 2019
.
Answers (1)
-
In the figure below, O is the centre of the circle. Chord AB and CD intersect at X. CX = 8 cm, XD = 5...
(Solved)
In the figure below, O is the centre of the circle. Chord AB and CD intersect at X. CX = 8 cm, XD = 5 cm and XB = 4cm

Calculate the length of AX, hence find the radius of the circle.
Date posted:
August 23, 2019
.
Answers (1)
-
Make x the subject of the formula
(Solved)
Make x the subject of the formula

Date posted:
August 23, 2019
.
Answers (1)
-
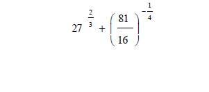
Without using mathematical tables or calculation, evaluate:
(Solved)
Without using mathematical tables or calculation, evaluate:

Date posted:
August 23, 2019
.
Answers (1)
-
Use logarithms to evaluate
(Solved)
Use logarithms to evaluate

Date posted:
August 23, 2019
.
Answers (1)