-
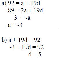
In the figure below PA is 12mm shorter than PD. It is also given that AB = 156mm, CD = 96mm and PA = x...
(Solved)
In the figure below PA is 12mm shorter than PD. It is also given that AB = 156mm, CD = 96mm and PA = x mm.

Calculate the value of x.
Date posted:
August 26, 2019
.
Answers (1)
-
A two digit number is such that its value equals four times the sum of its digits. If 27 is added to the number the...
(Solved)
A two digit number is such that its value equals four times the sum of its digits. If 27 is added to the number the result is equal to the value of the number obtained when the digits are interchanged. What is the number?
Date posted:
August 26, 2019
.
Answers (1)
-
Form the three inequalities that satisfy the given region R. Given lines A, B and C.
(Solved)
Form the three inequalities that satisfy the given region R. Given lines A, B and C.

Date posted:
August 26, 2019
.
Answers (1)
-
Points P, Q and R are on the same horizontal ground such that point P is due south of R and point Q is due...
(Solved)
Points P, Q and R are on the same horizontal ground such that point P is due south of R and point Q is due west of point R. S is a point at the top of a tower, 20m vertically above R. The angles of elevation of S from P and Q are 27° and 35° respectfully. Calculate to the nearest degree, the bearing of Q from P.
Date posted:
August 26, 2019
.
Answers (1)
-
Without using a calculator or a mathematical table evaluate.
(Solved)
Without using a calculator or a mathematical table evaluate.

Date posted:
August 26, 2019
.
Answers (1)
-
Solve for x and y in the simultaneous equation below.
xy + 6 = 0
x – 2y = 7
(Solved)
Solve for x and y in the simultaneous equation below.
xy + 6 = 0
x – 2y = 7
Date posted:
August 26, 2019
.
Answers (1)
-
The line segment BC = 7.5 cm long is one side of triangle ABC.a) Use a ruler and compasses only to complete the construction of...
(Solved)
The line segment BC = 7.5 cm long is one side of triangle ABC.
a) Use a ruler and compasses only to complete the construction of triangle ABC in which angle ABC = 45o, AC = 5.6 cm and angle BAC is obtuse.
b) Draw the locus of a point P such that P is equidistant from a point O and passes through the vertices of triangle ABC.
c) Locate point D on the locus of P equidistant from lines BC and BO. Q lies in the region enclosed by lines BD, BO extended and the locus of P. Shade the locus of Q.
Date posted:
August 26, 2019
.
Answers (1)
-
The thickness of a mathematics text book is 0.8cm. Eight such books are piled together on a table. Find the limit within which the height...
(Solved)
The thickness of a mathematics text book is 0.8cm. Eight such books are piled together on a table. Find the limit within which the height of the pile lies.
Date posted:
August 26, 2019
.
Answers (1)
-
Water flows from a pipe at the rate of 250 litres per minute. If the pipe is used to drain a tank full of water measuring...
(Solved)
Water flows from a pipe at the rate of 250 litres per minute. If the pipe is used to drain a tank full of water measuring 3.2m by 2.5m by 2m, how many minutes would it take to drain the tank completely?
Date posted:
August 26, 2019
.
Answers (1)
-
The data below represent the heights taken to the nearest centimeters of 40 lemon trees in a garden.
(Solved)
The data below represent the heights taken to the nearest centimeters of 40 lemon trees in a garden.

a) Complete the table.
b) Using 165.5 as the assumed mean, calculate the mean height.
c) Calculate the standard deviation of the distribution.
Date posted:
August 26, 2019
.
Answers (1)
-
Without using tables, solve the equation.
log10(10x + 5) – log10(x - 4) = 2
(Solved)
Without using tables, solve the equation.
log10(10x + 5) – log10(x - 4) = 2
Date posted:
August 26, 2019
.
Answers (1)
-
Simplify the expression below.
(Solved)
Simplify the expression below.

Date posted:
August 26, 2019
.
Answers (1)
-
A coffee blender mixes 6 parts of type A with 4 parts of type B. type A costs sh. 72 while type B costs sh....
(Solved)
A coffee blender mixes 6 parts of type A with 4 parts of type B. type A costs sh. 72 while type B costs sh. 66 per kg. At what price should he sell the mixture per kg in order to make 5% profit give your answer to the nearest ten cents.
Date posted:
August 26, 2019
.
Answers (1)
-
X, Y and Z are three quantities such that X varies directly as the square of Y and inversely as the square root of Z.
a)...
(Solved)
X, Y and Z are three quantities such that X varies directly as the square of Y and inversely as the square root of Z.
a) Given that X = 18 when Y = 3 and Z = 4, find X when Y = 6 and Z = 16.
b) If Y increases by 10% and Z decreases by 19%, find the percentage increase in X.
Date posted:
August 26, 2019
.
Answers (1)
-
The table below shows how income tax was charged in a certain year.
(Solved)
The table below shows how income tax was charged in a certain year.

During the year Mwadime earned a basic salary of Ksh. 25,200 and a house allowance of Ksh. 12,600 per month. He was entitled to a personal tax relief of Ksh. 1,162 per month.
a) Calculate:
i) Mwadime’s taxable income in Kenya pounds per annum.
ii) The net tax he pays per month.
b) Apart from income tax he also contributes monthly NHIF Ksh. 1600, WCPS Ksh. 1000. Calculate his net monthly pay.
Date posted:
August 26, 2019
.
Answers (1)
-
(a)Sketch the graph of y = x2 + 5
(b) Using the mid-ordinate rule, with six strips, estimate the area enclosed by the curve, x-axis, y...
(Solved)
(a).Sketch the graph of y = x2 + 5
(b) Using the mid-ordinate rule, with six strips, estimate the area enclosed by the curve, x-axis, y – axis and the line x = 3.
(c) Find the exact area by integration
(d) Calculate the percentage error made when the two methods above are used
Date posted:
August 26, 2019
.
Answers (1)
-
A firm has a fleet of vans and trucks. Each van can carry 9 crates and 3 cartons. Each truck can carry 4 crates and 10...
(Solved)
A firm has a fleet of vans and trucks. Each van can carry 9 crates and 3 cartons. Each truck can carry 4 crates and 10 cartons. The firm has to deliver not more than 36 crates and at least 30 cartons.
(a) If x vans and y trucks are available to make the delivery. Write down inequalities to represent the
above information.
(b) Use the grid provided, to represent the inequalities in (a) above
(c) Given that the cost of using a truck is four times that of using a van, determine the number of vehicles that may give minimum cost
Date posted:
August 26, 2019
.
Answers (1)
-
A bus left Kitale at 10.45 a.m and travelled towards Nairobi at an average speed of 60 km/h. A Nissan left Kitale on the same...
(Solved)
A bus left Kitale at 10.45 a.m and travelled towards Nairobi at an average speed of 60 km/h. A Nissan left Kitale on the same day at 1.15 p.m and travelled along the same road at an average speed of 100 km/h. The distance between Kitale and Nairobi is 500 km.
a) Determine the time of the day when the Nissan overtook the bus.
b) Both vehicles continued towards Nairobi at their original speed. Find how long the Nissan had to wait in Nairobi before the bus arrived.
Date posted:
August 26, 2019
.
Answers (1)
-
Plot the triangle:
a) whose co-ordinates are A(1, 2) B(5, 4) and C(2, 6)
b) On the same axes
i) Draw the image A1B1C1 of ABC under...
(Solved)
Plot the triangle:
a) whose co-ordinates are A(1, 2) B(5, 4) and C(2, 6)
b) On the same axes
i) Draw the image A1B1C1 of ABC under a rotation of 90o clockwise about origin.
ii) Draw the image A11B11C11 of A1B1C1 under a reflection in the line y = -x. State the
coordinates of A11B11C11.
c) A111B111C111 is the image of A11B11C11 under the reflection in the line x = 0. Draw the image
A111B111C111 and state its coordinates.
d) Describe a single transformation that maps A111B111C111 onto ABC.
Date posted:
August 26, 2019
.
Answers (1)
-
A red and black dice are rolled and the events X, Y and Z are defined as follows.
X = The red die shows a 4
Y...
(Solved)
A red and black dice are rolled and the events X, Y and Z are defined as follows.
X = The red die shows a 4
Y – The sum of the scores of the two dice is 6
Z – The black die shows a 3
(a) Find the probability of event X
(b) The probability of events X and Z
(c) Which event is mutually exclusive to X
(d) Which event is independent of X
(e) The probability of event Y
Date posted:
August 26, 2019
.
Answers (1)