-
A bucket is in the shape of a frustum with a base radius 14 cm and top radius 21 cm. The height of the bucket...
(Solved)
A bucket is in the shape of a frustum with a base radius 14 cm and top radius 21 cm. The height of the bucket is 20 cm as shown below. The bucket contains water to a depth of 10 cm.

a) Calculate the volume of the water in the bucket.
b) All the water is poured into a cylindrical container of radius 14 cm. If the height of the cylinder is 30 cm, calculate the internal surface area of the cylinder which is not in contact with the water.
Date posted:
August 27, 2019
.
Answers (1)
-
Draw the net of the solid below.
(Solved)
Draw the net of the solid below.

Date posted:
August 27, 2019
.
Answers (1)
-
Given P = (n – 3)i + (2n – 4)j + (2n – 5) k and ¦P¦ = 7. Find the possible values of n.
(Solved)
Given P = (n – 3)i + (2n – 4)j + (2n – 5) k and │P│ = 7. Find the possible values of n.
Date posted:
August 27, 2019
.
Answers (1)
-
A Kenyan bank buys and sells foreign currencies as shown below.
(Solved)
A Kenyan bank buys and sells foreign currencies as shown below.

A tourist arrived in Kenya with 106,000 Hongkong dollars and changed the whole amount to Kenya shillings. While in Kenya she spent Kshs. 408,889 and changed the balance to South African rand before leaving for South Africa. Calculate the amount in South African rand she received.
Date posted:
August 27, 2019
.
Answers (1)
-
In the figure below, angle ACD = angle ABC. AD = 12cm, AC = 18cm and BC = 21cm. Find the length of BD and...
(Solved)
In the figure below, angle ACD = angle ABC. AD = 12cm, AC = 18cm and BC = 21cm. Find the length of BD and DC.

Date posted:
August 27, 2019
.
Answers (1)
-
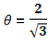
Evaluate without using tables or calculator.
(Solved)
Given that tan
, evaluate without using tables or calculator.

Date posted:
August 26, 2019
.
Answers (1)
-
If A = 2.3, B = 8.7 and C = 2.0 find the % error in
(Solved)
If A = 2.3, B = 8.7 and C = 2.0 find the % error in

Date posted:
August 26, 2019
.
Answers (1)
-
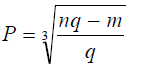
Make q the subject of the formula:
(Solved)
Make q the subject of the formula:

Date posted:
August 26, 2019
.
Answers (1)
-
Evaluate without using a Mathematical table or a calculator.
(Solved)
Evaluate without using a Mathematical table or a calculator.

Date posted:
August 26, 2019
.
Answers (1)
-
If (M + n) : (M – n) = 8: 3. Find the ratio M: n.
(Solved)
If (M + n) : (M – n) = 8: 3. Find the ratio M: n.
Date posted:
August 26, 2019
.
Answers (1)
-
Use reciprocal, squares and square root tables only to evaluate the expression.
(Solved)
Use reciprocal, squares and square root tables only to evaluate the expression.

Date posted:
August 26, 2019
.
Answers (1)
-
Using logarithm tables only, evaluate
(Solved)
Using logarithm tables only, evaluate

Date posted:
August 26, 2019
.
Answers (1)
-
Using a ruler a pair of compass only;(a) Draw line AB 6cm long. On one side of line AB, construct the locus of point P...
(Solved)
Using a ruler a pair of compass only;
(a) Draw line AB 6cm long. On one side of line AB, construct the locus of point P such that angle APB = 45°
(b) Locate two points P1 and P2 on the locus of point P such that angle AP1B = angle AP2B = 45° and the area of triangle AP1B = AP2B = 12cm2.
c) Locate point Q on the locus of P such that the area of triangle AQB is maximum, hence find the maximum area.
Date posted:
August 26, 2019
.
Answers (1)
-
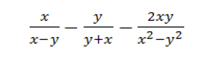
Simplify
(Solved)
Simplify

Date posted:
August 26, 2019
.
Answers (1)
-
A company receives 470kg of tea leaves in a day. This is packed in 100g, 250g and 500g packets such that the number of 100g...
(Solved)
A company receives 470kg of tea leaves in a day. This is packed in 100g, 250g and 500g packets such that the number of 100g packets is twice the number of 250g packets and three times the number of 500g packets.
How many packets of each type are packed in a day.
Date posted:
August 26, 2019
.
Answers (1)
-
Under an enlargement scale factor -2, the image of A( 2 ,4) is A’(-1 ,-2). Under the same enlargement, the image of D( x ,y)...
(Solved)
Under an enlargement scale factor -2, the image of A( 2 ,4) is A’(-1 ,-2). Under the same enlargement, the image of D( x ,y) is D’(3, -2). Find the coordinates of the object D.
Date posted:
August 26, 2019
.
Answers (1)
-
The figure below is a square based pyramid, ABCDV, such that AB= 7 cm,and VA=VB= VC = VD= 9cm.
(a) Find the height of the vertex...
(Solved)
The figure below is a square based pyramid, ABCDV, such that AB= 7 cm,and VA=VB= VC = VD= 9cm.

(a) Find the height of the vertex V above the centre of the base.
(b) Find the angle between BV and the base ABCD.
(c) Calculate the angle between the planes BVC and BVA.
Date posted:
August 26, 2019
.
Answers (1)
-
Solve the following inequalities and represent the solutions on a single number line.
(Solved)
Solve the following inequalities
and represent the solutions on a single number line.
Date posted:
August 26, 2019
.
Answers (1)
-
An aeroplane leaves town A (83°N, 155°W) to town B (40°N, 25°E) using the shortest route at a speed of 450 knots. (Take p =...
(Solved)
An aeroplane leaves town A (83°N, 155°W) to town B (40°N, 25°E) using the shortest route at a speed of 450 knots. (Take π = 3.142 and radius of the earth R = 6370km).
(a) (i) Calculate the distance between A and B in nautical miles.
(ii) Calculate the time taken to travel from town A to B
(b) From B, the plane flies westwards along the latitude to town C (40°N, 13°W). Calculate the distance BC in kilometers.
(c) From town C, the plane took off at 3:10 pm towards town D (10°N, 13°W), at the same speed. At what time did the plane land at D?
Date posted:
August 26, 2019
.
Answers (1)
-
Bag X contains 2 green marbles and 8 yellow marbles. Bag Y contains 4 green marbles and 5 yellow marbles. A bag is selected at...
(Solved)
Bag X contains 2 green marbles and 8 yellow marbles. Bag Y contains 4 green marbles and 5 yellow marbles. A bag is selected at random and two marbles drawn one at a time without replacement.
(a) Represent this information on a tree diagram.
(b) Find the probability that:
(i) They are both green.
(ii) They are both yellow and form bag X.
(iii) The second ball is yellow.
Date posted:
August 26, 2019
.
Answers (1)