-
By rationalizing the denominator, evaluate the following surds
(Solved)
By rationalizing the denominator, evaluate the following surds

Date posted:
August 28, 2019
.
Answers (1)
-
Use logarithms table to evaluate.
(Solved)
Use logarithms table to evaluate.

Date posted:
August 28, 2019
.
Answers (1)
-
A particle moving in a straight line passes a fixed point O on the line with velocity 7m/s
(Solved)
A particle moving in a straight line passes a fixed point O on the line with velocity 7m/s. The acceleration 9m/s2 of a particle t seconds after passing O is given by the equation a = 4 – 6t. Calculate:
(a) The velocity of particle 2 seconds after passing O.
(b) The time taken to reach the maximum distance from O in the direction of the initial motion.
(c) The value of the maximum distance.
Date posted:
August 28, 2019
.
Answers (1)
-
Three warships X, Y and Z are at the ocean such that ship Y is 500km on a bearing of 0300 FROM SHIP x....
(Solved)
Three warships X, Y and Z are at the ocean such that ship Y is 500km on a bearing of 0300 FROM SHIP x. Ship Z is 750km from ship Y and on a bearing of 1400 from X. An enemy ship S is sighted 900km due East of ship Y. Calculate:
(a) The bearing of Z from Y.
(b) The distance of X from Z.
(c) The distance S from Z.
(d) The shortest distance from X to the direct route between Y and Z.
Date posted:
August 28, 2019
.
Answers (1)
-
The length of two shorter sides of a right angled triangle are (x+1)cm and (3x- 2)cm. While the length of the hypotenuse is (2x+1)cm. Form...
(Solved)
The length of two shorter sides of a right angled triangle are (x+1)cm and (3x- 2)cm. While the length of the hypotenuse is (2x+1)cm. Form a quadratic equation that can be used to solve for x in the triangle.
Date posted:
August 28, 2019
.
Answers (1)
-
The table below shows the analysis of examination marks scored by 160 candidates.
(a) Draw a cumulative frequency curve for the data.
(b) State the modal...
(Solved)
The table below shows the analysis of examination marks scored by 160 candidates.

(a) Draw a cumulative frequency curve for the data.
(b) State the modal class.
(c) Use the graph to estimate:
(i) The quartile deviation.
(ii) How many candidates passed if a mark of 35% and above was a pass?
Date posted:
August 28, 2019
.
Answers (1)
-
Nelly drew a square ABCD of sides 5cm accurately. While refilling her pen, a drop of ink (I) landed inside the square ABCD.Given that IA...
(Solved)
Nelly drew a square ABCD of sides 5cm accurately. While refilling her pen, a drop of ink (I) landed inside the square ABCD.Given that IA < 5cm, IA > IC and the area of triangle DCI > 10cm2. Locate by construction the region I.
Date posted:
August 28, 2019
.
Answers (1)
-
How much water must be added to 36 litres of a liquid containing 65% alcohol to obtain a liquid containing 45% alcohol?
(Solved)
How much water must be added to 36 litres of a liquid containing 65% alcohol to obtain a liquid containing 45% alcohol?
Date posted:
August 28, 2019
.
Answers (1)
-
A poultry farmer in Lelmokwo vaccinated 540 of his 720 chicken against a disease. Two months later 5% of the vaccinated and 80% of the...
(Solved)
A poultry farmer in Lelmokwo vaccinated 540 of his 720 chicken against a disease. Two months later 5% of the vaccinated and 80% of the unvaccinated chicken contracted the disease. Calculate the probability that the chicken chosen at random contracted the disease.
Date posted:
August 28, 2019
.
Answers (1)
-
A solid has a base in the shape of a rhombus whose diagonals AC and BD are 32cm and 24cm respectively. The height CE which...
(Solved)
A solid has a base in the shape of a rhombus whose diagonals AC and BD are 32cm and 24cm respectively. The height CE which is perpendicular to AC, BC and DC is 24cm.

Calculate: the angles between the planes EBD and ABCD.
Date posted:
August 28, 2019
.
Answers (1)
-
Find the co-ordinates of a point at which the gradient of the curve y = x2 – 3x + 3 is seven.
(Solved)
Find the co-ordinates of a point at which the gradient of the curve y = x2 – 3x + 3 is seven.
Date posted:
August 28, 2019
.
Answers (1)
-
If a = -i + 3j, b = i + 6j and c = 5i + 12j. Show that the points are collinear.
(Solved)
If a = -i + 3j, b = i + 6j and c = 5i + 12j. Show that the points are collinear.
Date posted:
August 28, 2019
.
Answers (1)
-
Mr. Bett wants to buy a flat screen TV set on hire purchase. The cash price is sh. 28,000. He can pay the cash Price...
(Solved)
Mr. Bett wants to buy a flat screen TV set on hire purchase. The cash price is sh. 28,000. He can pay the cash Price or make a down payment of sh. 8,000 and 15 monthly installments of sh. 2000 each. Calculate the rate of interest charged per month.
Date posted:
August 28, 2019
.
Answers (1)
-
Find all the integral values of x which satisfy the inequalities 3(3 – x) < 5x – 9 < 2x + 8
(Solved)
Find all the integral values of x which satisfy the inequalities 3(3 – x) < 5x – 9 < 2x + 8
Date posted:
August 28, 2019
.
Answers (1)
-
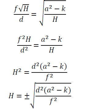
Work out the following:
(Solved)
Work out the following:

Date posted:
August 28, 2019
.
Answers (1)
-
The velocity of a particle, Vm/s, moving in a straight line after t seconds is given by
V = 3t² - 3t – 6
Find:-
(i) The acceleration...
(Solved)
The velocity of a particle, Vm/s, moving in a straight line after t seconds is given by
V = 3t² - 3t – 6
Find:-
(i) The acceleration of the particle after 2 seconds.
(ii) The distance covered by the particle between t = 1 and t = 4 seconds.
(iii) The time when the particle is momentarily at rest.
(iv) The minimum velocity attained by the particle.
Date posted:
August 28, 2019
.
Answers (1)
-
In the figure below, C is a point on AB such that BA = 4BC and D is the mid point of OA OC and...
(Solved)
In the figure below, C is a point on AB such that BA = 4BC and D is the mid point of OA OC and BD intersect at x

a) Write the vectors below in terms of a and b
i) AB
ii) OC
iii) BD
b) If BX = hBD express ox in terms of a, b and h
c) If OX = kOC, find h and k
d) Hence express OX in terms of a and b only
Date posted:
August 28, 2019
.
Answers (1)
-
The fig shows two intersecting circles with centres A and B and radii 7cm and 10.5cm respectively. The distance between AB = 14 and AM:MB...
(Solved)
The fig shows two intersecting circles with centres A and B and radii 7cm and 10.5cm respectively. The distance between AB = 14 and AM:MB = 3:4.

Calculate to four significant fig the;
a) Size of angle CAD
b) Size of angle CBD
c) Area of shaded region (use pi= 3.142)
Date posted:
August 28, 2019
.
Answers (1)
-
Points P and T divide OB and AB in the ratio 2:3 and 1:3 respectively. Lines OT and AP intersect at Q.
(Solved)

(a) Draw the diagram to represent the above information.



Date posted:
August 28, 2019
.
Answers (1)
-
a) The table below shows measuring cylinder readings Vcm3 of water displaced by x marbles in an experiment.
(Solved)
a) The table below shows measuring cylinder readings Vcm3 of water displaced by x marbles in an experiment.

i) On the graph paper provided plot (x, v).
ii) Use the plotted points to draw the line of best fit.
b) Using the line of best fit, determine;
i) The average volume of the ball bearing.
ii) The equation of the line.
c) Using the equation of the line in b(ii) above determine the volume of the water in the cylinder.
Date posted:
August 28, 2019
.
Answers (1)