-
h varies directly as v and inversely as the square of r. Find the percentage change in h if v is increased by 20% and...
(Solved)
h varies directly as v and inversely as the square of r. Find the percentage change in h if v is increased by 20% and at the same time r is increased by 50%.
Date posted:
August 29, 2019
.
Answers (1)
-
In what ratio will coffee grade A costing kshs. 90 per kg be mixed with grade B costing kshs.60 per kg so that a profit...
(Solved)
In what ratio will coffee grade A costing kshs. 90 per kg be mixed with grade B costing kshs.60 per kg so that a profit of 25% is realized by selling the mixture at kshs.80 per kg.
Date posted:
August 29, 2019
.
Answers (1)
-
Use logarithm table to evaluate.
(Solved)
Use logarithm table to evaluate.

Date posted:
August 29, 2019
.
Answers (1)
-
a) A carpet measuring (x + 4)m by (x + 1)m is laid down in a rectangular room measuring 2x m by x m leaving...
(Solved)
a) A carpet measuring (x + 4)m by (x + 1)m is laid down in a rectangular room measuring 2x m by x m leaving out uncovered floor near the walls all round the room. If the carpet is 36m2, calculate the area of the uncarpeted floor.
b) If 20cm square tiles were used to carpet the uncarpeted section of the floor in (a) above, calculate the cost of carpeting the whole floor if the carpet costs sh300 per metre square and each tile costs sh100.
Date posted:
August 29, 2019
.
Answers (1)
-
The probability of a couple getting a baby girl is 0.55 and that of a baby boy is 0.45. The couple intend to have two...
(Solved)
The probability of a couple getting a baby girl is 0.55 and that of a baby boy is 0.45. The couple intend to have two children. Find the probability that they will be of different sexes.
Date posted:
August 29, 2019
.
Answers (1)
-
Three business partners Denga, Nyamita and cobe agreed to share shs. 1800 gained after a sale of property. For every shs. 1 that Denga gets,...
(Solved)
Three business partners Denga, Nyamita and cobe agreed to share shs. 1800 gained after a sale of property. For every shs. 1 that Denga gets, Nyamita gets 50cts and for every shs 2 that Nyamita’s gets cobe gets shs. 3. Find Nyamita’s share.
Date posted:
August 29, 2019
.
Answers (1)
-
Expand (1 + 2x)7 upto the term in x3. Use your expansion to estimate (1.02)7to 4dp.
(Solved)
Expand (1 + 2x)7 upto the term in x3. Use your expansion to estimate (1.02)7to 4dp.
Date posted:
August 29, 2019
.
Answers (1)
-
A point P divides the line RT in the ratio -2:5. Find the coordinates of P given R(3,1) and T(6,-5)
(Solved)
A point P divides the line RT in the ratio -2:5. Find the coordinates of P given R(3,1) and T(6,-5)
Date posted:
August 29, 2019
.
Answers (1)
-
Evaluate without using tables or calculator.
(Solved)
Evaluate without using tables or calculator.

Date posted:
August 29, 2019
.
Answers (1)
-
The figure below represents a scale diagram (not drawn to scale) of a coffee plantation.
(Solved)
The figure below represents a scale diagram (not drawn to scale) of a coffee plantation. Given that the scale used is 1cm to 50m. Calculate its area in hectares. AB = 7cm.

Date posted:
August 29, 2019
.
Answers (1)
-
Draw a line AB = 7.3cm. Using a ruler and a pair of compasses only, locate a point D such that AD : DB =...
(Solved)
Draw a line AB = 7.3cm. Using a ruler and a pair of compasses only, locate a point D such that AD : DB = 1 : 2.
Date posted:
August 29, 2019
.
Answers (1)
-
A map is drawn to a scale of 1 : 50,000
(Solved)
A map is drawn to a scale of 1 : 50,000 find;
i) The distance in km between two places which are 25cm apart on the map.
ii) The area in cm2 of a field if the actual area of the field is 120,000m2
Date posted:
August 29, 2019
.
Answers (1)
-
Without using mathematical tables or a calculator, evaluate. Leaving your answer in surd form,
(Solved)
Without using mathematical tables or a calculator, evaluate. Leaving your answer in surd form,

Date posted:
August 29, 2019
.
Answers (1)
-
The interior angles of a heptagon are (3p + 25)o,
(Solved)
The interior angles of a heptagon are (3p + 25)o, (2p – 20)o (2p + 35)o, 100o, 135o, 150o and 125o. Find P.
Date posted:
August 29, 2019
.
Answers (1)
-
Four farmers took their cows to the market. Kilonzo had two more cows than Mutua. Kyengo had three times as many cows as Kilonzo whereas...
(Solved)
Four farmers took their cows to the market. Kilonzo had two more cows than Mutua. Kyengo had three times as many cows as Kilonzo whereas Mwondu had ten less cows than both Kilonzo and Kyengo
a) Write a simplified algebraic expression with one variable representing the total number of cows.
b) Three butchers bought all the cows and shared them equally. If each butcher got 17 cows, find the number of cows Mutua had.
Date posted:
August 29, 2019
.
Answers (1)
-
Evaluate:
(Solved)
Evaluate:

Date posted:
August 29, 2019
.
Answers (1)
-
Find b when a = 2, c = 4 and H = 6.
(Solved)
, Find b when a = 2, c = 4 and H = 6.
Date posted:
August 29, 2019
.
Answers (1)
-
A security guard observes that the angle of elevation to the top of an observation tower is 26o.
(Solved)
A security guard observes that the angle of elevation to the top of an observation tower is 26o. If he walks 55m towards the base of the tower, the angle becomes 47.5o. What is the height of the tower?
Date posted:
August 29, 2019
.
Answers (1)
-
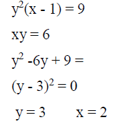
Solve the equation
(Solved)
Solve the equation

Date posted:
August 29, 2019
.
Answers (1)
-
Solve the following simultaneous inequalities and state the integral values for the solution.
(Solved)
Solve the following simultaneous inequalities and state the integral values for the solution.

Date posted:
August 29, 2019
.
Answers (1)