-
Solve the following simultaneous inequalities and state the integral values for the solution.
(Solved)
Solve the following simultaneous inequalities and state the integral values for the solution.

Date posted:
August 29, 2019
.
Answers (1)
-
A line L1, passes through (2, -3) and (-5, 1). Find the equation of another line L2 parallel to L1 and itself passing through (4,...
(Solved)
A line L1, passes through (2, -3) and (-5, 1). Find the equation of another line L2 parallel to L1 and itself passing through (4, -2).
Date posted:
August 29, 2019
.
Answers (1)
-
Three business people, Mutua, Kamau and Mwiti contributed a total of ksh.164,500 to start a retail business.
(Solved)
Three business people, Mutua, Kamau and Mwiti contributed a total of ksh.164,500 to start a retail business. The ratio of contribution of Mutua to Kamau was 2 : 3, that of Kamau to Mwiti was 4 : 5. How much did Mutua contribute?
Date posted:
August 29, 2019
.
Answers (1)
-
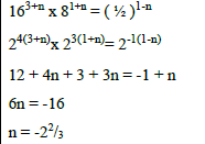
Without using mathematical tables or calculators, evaluate
(Solved)
Without using mathematical tables or calculators, evaluate

Date posted:
August 29, 2019
.
Answers (1)
-
The figure below shows a square ABCD point V is vertically above middle of the base ABCD. AB = 10cm and VC = 13cm.
Find;
(a) the...
(Solved)
The figure below shows a square ABCD point V is vertically above middle of the base ABCD. AB = 10cm and VC = 13cm.

Find;
(a) the length of diagonal AC
(b) the height of the pyramid
(c) the acute angle between VB and base ABCD.
d) the acute angle between BVA and ABCD.
e) the angle between AVB and DVC.
Date posted:
August 28, 2019
.
Answers (1)
-
Income tax is charged on annual income at the rates shown below.
A certain headmaster earns a monthly salary of Ksh. 8570. He is housed in...
(Solved)
Income tax is charged on annual income at the rates shown below.

A certain headmaster earns a monthly salary of Ksh. 8570. He is housed in the school and as a result, his taxable income is 15% more than his salary. He is entitled to a family tax relief of Kshs. 150 per month.
(a) How much tax does he pay in a year.
(b) From the headmaster’s salary the following deductions are also made every month;
W.C.P.S 2% of gross salary
N.H.I.F Kshs. 20
House rent, water and furniture charges Kshs. 246
Calculate the headmaster’s net salary.
Date posted:
August 28, 2019
.
Answers (1)
-
Grade A tea costs Ksh 100 per kg while grade B costs ksh 150 per kg. Find the ratio in which the two grades should...
(Solved)
Grade A tea costs Ksh 100 per kg while grade B costs ksh 150 per kg. Find the ratio in which the two grades should be mixed to get a mixture worth ksh.140 per kg.
Date posted:
August 28, 2019
.
Answers (1)
-
A quantity P is partly constant and partly varies as the cube of Q. When Q=1, P=23 and when Q =2, P= 44. Find the...
(Solved)
A quantity P is partly constant and partly varies as the cube of Q. When Q=1, P=23 and when Q =2, P= 44. Find the value of P when Q = 5.
Date posted:
August 28, 2019
.
Answers (1)
-
Find the sum to 20 terms of the series
Log2 + Log 4 + Log 8 + Log 16 + …….Give your answer to 3 significant...
(Solved)
Find the sum to 20 terms of the series
Log2 + Log 4 + Log 8 + Log 16 + …….Give your answer to 3 significant figures.
Date posted:
August 28, 2019
.
Answers (1)
-
Find the value of y in the figure below.
(Solved)
Find the value of y in the figure below.

Date posted:
August 28, 2019
.
Answers (1)
-
A particle moves in a straight line such that its velocity v m/s is given by v=32 + 4t – t2 after t seconds. Calculate...
(Solved)
A particle moves in a straight line such that its velocity v m/s is given by v=32 + 4t – t2 after t seconds. Calculate the distance covered by the particle in the 7th second.
Date posted:
August 28, 2019
.
Answers (1)
-
A circle of radius 15cm is divided into ten equal sectors. In each sector, find:
a. The area of the triangle
b. The area of the...
(Solved)
A circle of radius 15cm is divided into ten equal sectors. In each sector, find:
a. The area of the triangle
b. The area of the segment
Date posted:
August 28, 2019
.
Answers (1)
-
The points A and B are ( 2,10) and (-4,8) respectively. If AB is a diameter of the circle, find the equation of this circle.
(Solved)
The points A and B are ( 2,10) and (-4,8) respectively. If AB is a diameter of the circle, find the equation of this circle.
Date posted:
August 28, 2019
.
Answers (1)
-
If the length of a rectangle is increased in the ratio 7:3 and the width decreased in the 2:5, find whether the area is increased,...
(Solved)
If the length of a rectangle is increased in the ratio 7:3 and the width decreased in the 2:5, find whether the area is increased, and what ratio.
Date posted:
August 28, 2019
.
Answers (1)
-
Expand ( 1 + 3x)7 up to x3, hence use the expansion to estimate the value of (1.3)7 correct to three decimal places.
(Solved)
Expand ( 1 + 3x)7 up to x3, hence use the expansion to estimate the value of (1.3)7 correct to three decimal places.
Date posted:
August 28, 2019
.
Answers (1)
-
Two bags M and N are on a desk. Bag M contains 6 red pens and 4 black pens; bag N contains 2 red pens...
(Solved)
Two bags M and N are on a desk. Bag M contains 6 red pens and 4 black pens; bag N contains 2 red pens and 8 black pens. A bag is chosen at random and two pens drawn from it, one at a time without replacement. Find the probability of picking two pens of the same colour.
Date posted:
August 28, 2019
.
Answers (1)
-
Make ?? the subject of the formula
(Solved)
Make 𝐻 the subject of the formula

Date posted:
August 28, 2019
.
Answers (1)
-
By rationalizing the denominator, evaluate the following surds
(Solved)
By rationalizing the denominator, evaluate the following surds

Date posted:
August 28, 2019
.
Answers (1)
-
Use logarithms table to evaluate.
(Solved)
Use logarithms table to evaluate.

Date posted:
August 28, 2019
.
Answers (1)
-
A particle moving in a straight line passes a fixed point O on the line with velocity 7m/s
(Solved)
A particle moving in a straight line passes a fixed point O on the line with velocity 7m/s. The acceleration 9m/s2 of a particle t seconds after passing O is given by the equation a = 4 – 6t. Calculate:
(a) The velocity of particle 2 seconds after passing O.
(b) The time taken to reach the maximum distance from O in the direction of the initial motion.
(c) The value of the maximum distance.
Date posted:
August 28, 2019
.
Answers (1)