-
The figure below shows right pyramid with a rectangular base measuring 12cm by 8cm. the length of the slant edge is 15cm. X is the...
(Solved)
The figure below shows right pyramid with a rectangular base measuring 12cm by 8cm. the length of the slant edge is 15cm. X is the midpoint of RS and OY is the perpendicular height of the pyramid.

Determine
(i) The length of XY
(ii) The angle between RSY and PQRS.
Date posted:
August 30, 2019
.
Answers (1)
-
The table below shows the number of defective bolts from a sample of 40.Calculate the standard deviation of the data above.
(Solved)
The table below shows the number of defective bolts from a sample of 40.Calculate the standard deviation of the data above.

Date posted:
August 30, 2019
.
Answers (1)
-
Kibet took a co-operative loan which is charged at 12% p.a. Compound interest to be repaid in three years. If in each month he repays...
(Solved)
Kibet took a co-operative loan which is charged at 12% p.a. Compound interest to be repaid in three years. If in each month he repays sh.11,240; how much was the loan that he had taken from the co-operative to the nearest thousand.
Date posted:
August 30, 2019
.
Answers (1)
-
OAB is a sector of a circle centre O and radius 7cm. Arc AB subtends 250 at the center and C is a point on...
(Solved)
OAB is a sector of a circle centre O and radius 7cm. Arc AB subtends 250 at the center and C is a point on OB such that OCA is 900. Calculate the area of the shaded region

Date posted:
August 30, 2019
.
Answers (1)
-
Two chord AB and CD of a circle intersect inside a circle at X. Given that AX = 4.2cm, XB = 3cm and XD =...
(Solved)
Two chord AB and CD of a circle intersect inside a circle at X. Given that AX = 4.2cm, XB = 3cm and XD = 2.1 cm. Find the length of CX.
Date posted:
August 30, 2019
.
Answers (1)
-
Expand (2 - x)5 up to the term with x3 . Use your expansion to evaluate 1.995 to 3 decimal places.
(Solved)
Expand (2 - x)5 up to the term with x3 . Use your expansion to evaluate 1.995 to 3 decimal places.
Date posted:
August 30, 2019
.
Answers (1)
-
Make n the subject of the formula
(Solved)
Make n the subject of the formula

Date posted:
August 30, 2019
.
Answers (1)
-
4 men each picking 50kg of coffee berries per day can pick coffee berries in a farm in 6 days. How many men each capable...
(Solved)
4 men each picking 50kg of coffee berries per day can pick coffee berries in a farm in 6 days. How many men each capable of picking 80kg of coffee berriers per day are required to pick coffee berries in the same farm in 5 days?
Date posted:
August 30, 2019
.
Answers (1)
-
Given that the dimensions of a rectangle are 20.0cm and 25.0cm find the percentage error in calculating the area.
(Solved)
Given that the dimensions of a rectangle are 20.0cm and 25.0cm find the percentage error in calculating the area.
Date posted:
August 30, 2019
.
Answers (1)
-
Given the following vectors,Calculate /2a + b/
(Solved)
Given the following vectors,Calculate /2a + b/

Date posted:
August 30, 2019
.
Answers (1)
-
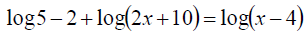
Solve the following question for x.
(Solved)
Solve the following question for x.

Date posted:
August 30, 2019
.
Answers (1)
-
Find the value of a, b and c in;
(Solved)
Find the value of a, b and c in;

Date posted:
August 30, 2019
.
Answers (1)
-
Given the expression below,find the ratio x:y
(Solved)
Given the expression below,find the ratio x:y

Date posted:
August 30, 2019
.
Answers (1)
-
The base and perpendicular height of a triangle measured to the nearest centimeter are 6cm and 4cm respectively.
(Solved)
The base and perpendicular height of a triangle measured to the nearest centimeter are 6cm and 4cm respectively. Find
(a) The absolute error in calculating the area of the triangle.
(b) The percentage error in the area giving the answer to 1 decimal place.
Date posted:
August 30, 2019
.
Answers (1)
-
Evaluate the following
(Solved)
Evaluate the following

Date posted:
August 30, 2019
.
Answers (1)
-
Solve for x in the equation
(Solved)
Solve for x in the equation

Date posted:
August 30, 2019
.
Answers (1)
-
The figure below shows a toy which consists of a conical top and a hemispherical base.The hemispherical base has a radius of 5cm and the...
(Solved)
The figure below shows a toy which consists of a conical top and a hemispherical base.

The hemispherical base has a radius of 5cm and the total height of the toy is 17cm. calculate the volume of the toy. (Take pi = 3.142)
Date posted:
August 30, 2019
.
Answers (1)
-
Given that P varies directly as V and inversely as the cube of R and that P = 12 when V = 3 and R...
(Solved)
Given that P varies directly as V and inversely as the cube of R and that P = 12 when V = 3 and R = 2,
(a) Find an equation connecting P, V and R.
(b) Find the value of V when P = 10 and R = 1.5
Date posted:
August 30, 2019
.
Answers (1)
-
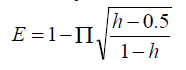
Make h the subject of the formula.
(Solved)
Make h the subject of the formula.

Date posted:
August 30, 2019
.
Answers (1)
-
Use logarithms to evaluate:
(Solved)
Use logarithms to evaluate:

Date posted:
August 30, 2019
.
Answers (1)