-
By use of logarithms evaluate;
(Solved)
By use of logarithms evaluate;

Date posted:
August 30, 2019
.
Answers (1)
-
The diagram below not drawn to scale shows part of the curve y = x2 + 5 and the line y = 8 – 2x....
(Solved)
The diagram below not drawn to scale shows part of the curve y = x2 + 5 and the line y = 8 – 2x. The line intersects the curve at a point C and D. Lines AC and BD are parallel to the y-axis.

(a) Determine the coordinates of C and D
(b) Use integration to calculate the area bounded by the curve and x – axis between the points C and D.
(c) Calculate the area enclosed by the lines CD, CA, BD and the x-axis.
(d)Hence determine the area of the shaded region.
Date posted:
August 30, 2019
.
Answers (1)
-
(a) Construct rectangle ABCD with side AB = 6.4cm and diagonal AC = 8cm.
(b)Locus, L1, is a set of points equidistant from A and...
(Solved)
(a) Construct rectangle ABCD with side AB = 6.4cm and diagonal AC = 8cm.
(b)Locus, L1, is a set of points equidistant from A and B and locus, L2, is a set of points equidistant
from BC and BA. If L1 and L2 meets at N inside the rectangle, locate point N.
(c)A point x is to be located inside the rectangle such that it is nearer B than A and also nearer AB than BC. If its not greater than 3cm from N shade the region where the points could be located.
Date posted:
August 30, 2019
.
Answers (1)
-
The curve y = 2x2 – 6x + 9 passes through the point P(2, 5)
(a) Determine the gradient function of the curve.
(b) Determine the coordinates...
(Solved)
The curve y = 2x2 – 6x + 9 passes through the point P(2, 5)
(a) Determine the gradient function of the curve.
(b) Determine the coordinates and nature of the turning point of the curve
(c) Find the equation in the form y = mx + c of the
(i)Tangent to curve at P
(ii) Normal to the curve at P
Date posted:
August 30, 2019
.
Answers (1)
-
A form four class at Kiptulwo secondary school has 15 girls and 25 boys. The probability of a girl completing the secondary school course is...
(Solved)
A form four class at Kiptulwo secondary school has 15 girls and 25 boys. The probability of a girl completing the secondary school course is 3/5 and that of a boy is 4/5.
(a) A student is picked at random from the class. Find the probability that;
(i)The student picked is a girl and will complete the course.
(ii) The student will not complete the course.
(b)Two students are picked at random from the class. Find the probability that;
(i) Both are girls
(ii)Both are of the same gender and will complete the course.
Date posted:
August 30, 2019
.
Answers (1)
-
A fundi makes two types of overalls, A and B. Overall A requires 2½ meters of material while overall B requires 3 metres of material....
(Solved)
A fundi makes two types of overalls, A and B. Overall A requires 2½ meters of material while overall B requires 3 metres of material. The fundi uses not more than 600 meters of material in making both overalls.The fundi must make not be more than 80 overall of type A and not less than 100 of type B each day.
(a) Write down four inequalities to represent the above information.
(b) Draw inequalities and shade the unwanted regions.
(c) If the business makes a profit of shs. 80 on garment A and a profit of shs.60 on garment B, how many garments of each type must he make to maximize its total profit? Hence find maximum profit.
Date posted:
August 30, 2019
.
Answers (1)
-
The figure below shows right pyramid with a rectangular base measuring 12cm by 8cm. the length of the slant edge is 15cm. X is the...
(Solved)
The figure below shows right pyramid with a rectangular base measuring 12cm by 8cm. the length of the slant edge is 15cm. X is the midpoint of RS and OY is the perpendicular height of the pyramid.

Determine
(i) The length of XY
(ii) The angle between RSY and PQRS.
Date posted:
August 30, 2019
.
Answers (1)
-
The table below shows the number of defective bolts from a sample of 40.Calculate the standard deviation of the data above.
(Solved)
The table below shows the number of defective bolts from a sample of 40.Calculate the standard deviation of the data above.

Date posted:
August 30, 2019
.
Answers (1)
-
Kibet took a co-operative loan which is charged at 12% p.a. Compound interest to be repaid in three years. If in each month he repays...
(Solved)
Kibet took a co-operative loan which is charged at 12% p.a. Compound interest to be repaid in three years. If in each month he repays sh.11,240; how much was the loan that he had taken from the co-operative to the nearest thousand.
Date posted:
August 30, 2019
.
Answers (1)
-
OAB is a sector of a circle centre O and radius 7cm. Arc AB subtends 250 at the center and C is a point on...
(Solved)
OAB is a sector of a circle centre O and radius 7cm. Arc AB subtends 250 at the center and C is a point on OB such that OCA is 900. Calculate the area of the shaded region

Date posted:
August 30, 2019
.
Answers (1)
-
Two chord AB and CD of a circle intersect inside a circle at X. Given that AX = 4.2cm, XB = 3cm and XD =...
(Solved)
Two chord AB and CD of a circle intersect inside a circle at X. Given that AX = 4.2cm, XB = 3cm and XD = 2.1 cm. Find the length of CX.
Date posted:
August 30, 2019
.
Answers (1)
-
Expand (2 - x)5 up to the term with x3 . Use your expansion to evaluate 1.995 to 3 decimal places.
(Solved)
Expand (2 - x)5 up to the term with x3 . Use your expansion to evaluate 1.995 to 3 decimal places.
Date posted:
August 30, 2019
.
Answers (1)
-
Make n the subject of the formula
(Solved)
Make n the subject of the formula

Date posted:
August 30, 2019
.
Answers (1)
-
4 men each picking 50kg of coffee berries per day can pick coffee berries in a farm in 6 days. How many men each capable...
(Solved)
4 men each picking 50kg of coffee berries per day can pick coffee berries in a farm in 6 days. How many men each capable of picking 80kg of coffee berriers per day are required to pick coffee berries in the same farm in 5 days?
Date posted:
August 30, 2019
.
Answers (1)
-
Given that the dimensions of a rectangle are 20.0cm and 25.0cm find the percentage error in calculating the area.
(Solved)
Given that the dimensions of a rectangle are 20.0cm and 25.0cm find the percentage error in calculating the area.
Date posted:
August 30, 2019
.
Answers (1)
-
Given the following vectors,Calculate /2a + b/
(Solved)
Given the following vectors,Calculate /2a + b/

Date posted:
August 30, 2019
.
Answers (1)
-
Solve the following question for x.
(Solved)
Solve the following question for x.

Date posted:
August 30, 2019
.
Answers (1)
-
Find the value of a, b and c in;
(Solved)
Find the value of a, b and c in;

Date posted:
August 30, 2019
.
Answers (1)
-
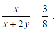
Given the expression below,find the ratio x:y
(Solved)
Given the expression below,find the ratio x:y

Date posted:
August 30, 2019
.
Answers (1)
-
The base and perpendicular height of a triangle measured to the nearest centimeter are 6cm and 4cm respectively.
(Solved)
The base and perpendicular height of a triangle measured to the nearest centimeter are 6cm and 4cm respectively. Find
(a) The absolute error in calculating the area of the triangle.
(b) The percentage error in the area giving the answer to 1 decimal place.
Date posted:
August 30, 2019
.
Answers (1)