-
A solid block in the shape of a cylinder has a height of 14cm and weighs 22kg.
(Solved)
A solid block in the shape of a cylinder has a height of 14cm and weighs 22kg. If it is made of material of density 5g/cm3, find the radius of the cylinder. (Take pi=22/7)
Date posted:
September 5, 2019
.
Answers (1)
-
Mr. Ochuodho who deals in electronics sells a radio to a customer at Kshs. 1,440 after giving him a discount of 10%
(Solved)
Mr. Ochuodho who deals in electronics sells a radio to a customer at Kshs. 1,440 after giving him a discount of 10% but finds that he still makes a 20% profit. Find the profit Mr. Ochuodho would make if he does not give a discount.
Date posted:
September 5, 2019
.
Answers (1)
-
A straight line L1 is perpendicular to another line L2 whose equation is 3y+4x=12
(Solved)
A straight line L1 is perpendicular to another line L2 whose equation is 3y+4x=12. If the two lines
meet at point P which lines on the x-axis, find:
(i) The co-ordinate of point P
(ii) The equation of line L1 in the form y=mx+c
Date posted:
September 5, 2019
.
Answers (1)
-
Calculate the standard deviation for the data below
(Solved)
Calculate the standard deviation for the data below
5,8,13,12,7,10,8,15,3,14
Date posted:
September 5, 2019
.
Answers (1)
-
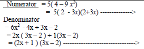
Evaluate without using a calculator
(Solved)
Evaluate without using a calculator

Date posted:
September 5, 2019
.
Answers (1)
-
Points A,B,C have the co-ordinates (3,1)(8,2) and (2,6) respectively
(Solved)
Points A,B,C have the co-ordinates (3,1)(8,2) and (2,6) respectively
(a) Find the mid points of AB and AC
(b) Determine the equations of the perpendicular bisector of AB and AC
(c) Hence or otherwise determine the equation of a circle which passes through the points A, B and C
Date posted:
September 4, 2019
.
Answers (1)
-
Complete the table below by filling in the blank spaces for the functions y=sin(x+30)
(Solved)
(a) Complete the table below by filling in the blank spaces for the functions y=sin(x+30) and y= cos ½ x and draw their graphs on the same axes

(b) Use your graph to solve
(i) Sin (x+30)-cos ½ x=0
(ii) Sin (x+30)=0
(iii) Cos ½ x=-0.25
Date posted:
September 4, 2019
.
Answers (1)
-
The points P(1,5) Q(2,2) R(1,1) and S(4,2) are vertices of a quadrilateral PQRS
(Solved)
The points P(1,5) Q(2,2) R(1,1) and S(4,2) are vertices of a quadrilateral PQRS
(a) On the grid provided, draw the quadrilateral PQRS
(b) On the same grid draw P1Q1R1S1 the image of PQRS under a rotation of positive quarter turn about the origin. State the co-ordinates of P1Q1R1 and S1
(c) The point P11Q11R11S11 are the images of P1Q1R1S1 under a reflection in the x-axis. On
the same grid draw quadrilateral P11Q11R11S11 and state its co-ordinates
(d) Quadrilateral P11Q11R11S11 is the image of PQRS under a certain reflection. On your graph draw the mirror line LL for the reflection and state its equation
Date posted:
September 4, 2019
.
Answers (1)
-
The figure below is a solid frustrum of a rectangular based pryramid AB=12cm, BC=10cm, EF=6cm FG=5cm, FB=8cm and vertical height 6cm.
(Solved)
The figure below is a solid frustrum of a rectangular based pryramid AB=12cm, BC=10cm, EF=6cm FG=5cm, FB=8cm and vertical height 6cm.

(a) Calculate the volume of the frustrum
(b) Calculate the surface area of the frustrum
Date posted:
September 4, 2019
.
Answers (1)
-
The probability of Onyancha, Nyamusi and Jemima hitting the bull’s eye are
(Solved)
The probability of Onyancha, Nyamusi and Jemima hitting the bull’s eye are
respectively.
(a) Draw a probability tree diagram showing this possible outcomes
(b) Find the probability that;
(i) All hit the bulls eye
(ii) Only one of them hit the bull’s eye
(iii) At most one misses the bull’s eye
Date posted:
September 4, 2019
.
Answers (1)
-
A passenger train travelling at 25km/hr is moving in the same direction as the truck travelling at 30km/hr.
(Solved)
A passenger train travelling at 25km/hr is moving in the same direction as the truck travelling at 30km/hr. the railway line runs parallel to the road and the track takes 1 ½ to overtake the train completely
(a) Given that the truck is 5 metres long determine the length of the train in metres
(b) The track and the train continue moving parallel to each other at the original speeds. Calculate the distance between them after 4 minutes and 4 seconds after the track overtake the train
(c) The track stopped 45 minutes after overtaking the train. How long did the train take to catch up with the truck
Date posted:
September 4, 2019
.
Answers (1)
-
Four towns A,B,C and D are such that B is on a bearing of 247o and 6km from A.
(Solved)
Four towns A,B,C and D are such that B is on a bearing of 247o and 6km from A. C is due SSE and 4.8km from B. D is to the south of A and the bearing of C from D is S44oW
(a) Make a scale drawing showing the relative positions of A,B,C and D using the scale 1cm represents 1km
(b) Use your drawing to determine
(i) The bearing of A from C
(ii) The distance between C and D
(iii) How far D is east of B
(c) The average speed of a cyclist from C to A if he takes 30 minuets between A and D and 20 minutes between D and A
Date posted:
September 4, 2019
.
Answers (1)
-
A cold water tap can fill a bath in 3 minutes while a hot tap can fill in 5 minutes.
(Solved)
A cold water tap can fill a bath in 3 minutes while a hot tap can fill in 5 minutes. The drain pipe can empty the bath in 3 ¾ minutes. The two taps and the drain pipe are fully open for 2 minutes, after which the drain pipe is closed.
(a) What fraction of the bath is filled after the first two minutes
(b) How many seconds are required for the bath to be completely filled?
(c) Given that the cold water tap delivers water at the rate of 200cm3/s
Determine
I. The capacity of the bath in litres
II. The rate of flow of the hot water tap
Date posted:
September 4, 2019
.
Answers (1)
-
Given that OA= i + 2j and OB= 2i-3j.
(Solved)
Given that OA= i + 2j and OB= 2i-3j. Find the magnitude of AB to three significant figures
Date posted:
September 4, 2019
.
Answers (1)
-
Three years ago, James was three times as old as his Peter.
(Solved)
Three years ago, James was three times as old as his Peter. In five years time, the sum of their ages will be 76. Determine their present ages
Date posted:
September 4, 2019
.
Answers (1)
-
In the figure below, AB is parallel to DE, DE bisects angle BDG, angle DCF=60o angle CFG=110o
(Solved)
In the figure below, AB is parallel to DE, DE bisects angle BDG, angle DCF=60o angle CFG=110o

Find
(a) angle CDF
(b) angle ABD
Give reasons for your answers
Date posted:
September 4, 2019
.
Answers (1)
-
Find the range values that satisfy the inequality
(Solved)
Find the range values that satisfy the inequality

Date posted:
September 4, 2019
.
Answers (1)
-
A contractor was to finish a piece of work in 80 days. He employed 150 workers to work for 6 hours a day.
(Solved)
A contractor was to finish a piece of work in 80 days. He employed 150 workers to work for 6 hours a day. After 30 days he found out that only a quarter of the work had been done. How many more workers did he require to finish the work in time
Date posted:
September 4, 2019
.
Answers (1)
-
Without using a calculator or mathematical tables find the value of
(Solved)
Without using a calculator or mathematical tables find the value of

Date posted:
September 4, 2019
.
Answers (1)
-
The resistance to the motion of a car is partly constant and partly varies as the square of the speed.
(Solved)
The resistance to the motion of a car is partly constant and partly varies as the square of the speed. At
40km/h-1 the resistance and at 60kmh-1 it is 730N. What will be the resistance at 70kmh-1?
Date posted:
September 4, 2019
.
Answers (1)