-
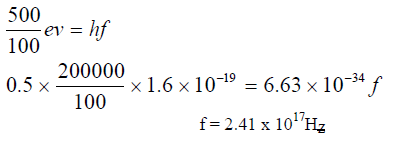
State what determines the quality of X-rays in an X-rays tube.
(Solved)
State what determines the quality of X-rays in an X-rays tube.
Date posted:
September 10, 2019
.
Answers (1)
-
The figure below shows capacitors connected to 3v supply.
(Solved)
The figure below shows capacitors connected to 3v supply.

Calculate:
(i) The combined capacitance.
(ii) The charged stored in the 2.4μF capacitor.
(iii) The charge stored in 2μF capacitor.
Date posted:
September 10, 2019
.
Answers (1)
-
Four 40w bulbs and six 100w bulbs were switched on for 2 hours in the morning and 3 hours at night each day for domestic...
(Solved)
Four 40w bulbs and six 100w bulbs were switched on for 2 hours in the morning and 3 hours at night each day for domestic use in a certain institution. Find the monthly bill for the consumer given that the cost of electricity in the country is at Sh.6.50 per unit. (Take one month to be of 30 days).
Date posted:
September 10, 2019
.
Answers (1)
-
The figure below shows some resistors connected in part of a circuit.Determine the effective resistance.
(Solved)
The figure below shows some resistors connected in part of a circuit.Determine the effective resistance.

Date posted:
September 10, 2019
.
Answers (1)
-
The figure below shows a large battery connected a resistor of 1000 ohms. The potential difference across the resistor is 50V.
(Solved)
The figure below shows a large battery connected a resistor of 1000 ohms. The potential difference across the resistor is 50V.

Determine:
(i) The ammeter reading (A).
(ii) The electrical energy dissipated by the resistor in one minute.
Date posted:
September 10, 2019
.
Answers (1)
-
The figure below shows a diode D connected to a source of a.c current and a resistor.Sketch in the axis below the output observed in...
(Solved)
The figure below shows a diode D connected to a source of a.c current and a resistor.

Sketch in the axis below the output observed in the C.R.O.

Date posted:
September 10, 2019
.
Answers (1)
-
A heater of resistance R1 is rated P watts, V volts while another of resistance R2 is rated 2P watts, V/2 volts. Determine the ratio...
(Solved)
A heater of resistance R1 is rated P watts, V volts while another of resistance R2 is rated 2P watts, V/2 volts. Determine the ratio R1 to R2.
Date posted:
September 10, 2019
.
Answers (1)
-
State the name of the eye defect corrected by convex lens.
(Solved)
State the name of the eye defect corrected by convex lens.
Date posted:
September 10, 2019
.
Answers (1)
-
The figure below shows the path of light through a transparent material placed in air.
(Solved)
The figure below shows the path of light through a transparent material placed in air.

Calculate the refractive index of the transparent material.
Date posted:
September 10, 2019
.
Answers (1)
-
A fathometer produces sound in a ship and receives two echo‘s where there is a raised sea bank. One after 2.5 seconds and the other...
(Solved)
A fathometer produces sound in a ship and receives two echo‘s where there is a raised sea bank. One after 2.5 seconds and the other after 3.0 seconds. Find the height of the raised sea bank if the velocity of sound in water is 1460m/s.
Date posted:
September 10, 2019
.
Answers (1)
-
The figure below shows a progressive wave incident from a shallow end to a deep end.
(Solved)
The figure below shows a progressive wave incident from a shallow end to a deep end.

Sketch the appearance of the wave in the deep region.
Date posted:
September 10, 2019
.
Answers (1)
-
The figure below shows an object placed infront of a concave mirror.Use rays to locate the position of the image.
(Solved)
The figure below shows an object placed infront of a concave mirror.Use rays to locate the position of the image.

Date posted:
September 10, 2019
.
Answers (1)
-
A string of length 70cm is used to whirl a stone of mass 0.5kg in a circle of a vertical plane at 5 rev/s. Determine.
(i)...
(Solved)
A string of length 70cm is used to whirl a stone of mass 0.5kg in a circle of a vertical plane at 5 rev/s. Determine.
(i) The period.
(ii) The angular velocity.
(iii) The centripetal force.
Date posted:
September 10, 2019
.
Answers (1)
-
A student heated some water and noticed that it boiled at 102ºC. State one possible reason for this observation.
(Solved)
A student heated some water and noticed that it boiled at 102ºC. State one possible reason for this observation.
Date posted:
September 10, 2019
.
Answers (1)
-
State two factors that affect the efficiency of a pulley system.
(Solved)
State two factors that affect the efficiency of a pulley system.
Date posted:
September 10, 2019
.
Answers (1)
-
The handle of the screw-jack in the figure below is 42cm long and the pitch of the screw is 0.5cm.
(Solved)
The handle of the screw-jack in the figure below is 42cm long and the pitch of the screw is 0.5cm.

(i) Calculate the V.R of the screw jack.
(ii) Calculate the effort needed to lift the load of 1188N.
Date posted:
September 10, 2019
.
Answers (1)
-
The figure below shows a pulley system with the load rising at uniform speed.
(Solved)
The figure below shows a pulley system with the load rising at uniform speed.

From the information given, calculate:
(i) The velocity ratio of the machine.
(ii) Mechanical advantage of the machine.
(iii) Efficiency of the machine.
Date posted:
September 10, 2019
.
Answers (1)
-
A trolley of mass 5kg travelling to the right at 2m/s collides head on with another trolley of mass 3kg travelling at 4m/s to the...
(Solved)
A trolley of mass 5kg travelling to the right at 2m/s collides head on with another trolley of mass 3kg travelling at 4m/s to the left. Find their velocity after collision if the collision is perfectly inelastic.
Date posted:
September 9, 2019
.
Answers (1)
-
When a mass of 2kg is hang from a single spring, the spring extends by a distance x = 5cm. Determine the total extension in...
(Solved)
When a mass of 2kg is hang from a single spring, the spring extends by a distance x = 5cm. Determine the total extension in the set up below given that the springs are identical and weightless.

Date posted:
September 9, 2019
.
Answers (1)
-
A uniform metre rule is supported by force of 3N and 2N as shown in the figure below.Determine the weight of the half metre rule.
(Solved)
A uniform metre rule is supported by force of 3N and 2N as shown in the figure below.Determine the weight of the half metre rule.

Date posted:
September 9, 2019
.
Answers (1)