-
Use logarithms correct to 4 decimal places, to evaluate
(Solved)
Use logarithms correct to 4 decimal places, to evaluate

Date posted:
September 12, 2019
.
Answers (1)
-
The table below shows the marks scored by eighty Form 4 students in a mathematics test.
(Solved)
The table below shows the marks scored by eighty Form 4 students in a mathematics test.

a) Calculate
i) Mean mark.
ii) Lower quartile
b) On the grid provided draw the cumulative frequency curve to represent the above
distribution
c) From the graph estimate the
i) 4th decile
ii) Range of marks of the middle 70% of the students.
Date posted:
September 12, 2019
.
Answers (1)
-
The figure below shows points on the earth’s surface
(Solved)
The figure below shows points on the earth’s surface

a) State the positions of A, B, C and D in coordinate form
b) An aircraft flies from A to B along latitude 400N, B to C. along longitude 300E, C to D along latitude 400S. Calculate to 4 S.f the total distance it covered .(Take radius of the earth =6371km)
c) If the aircraft leaves A at 8.00am at a speed of 720km/h to B. At what local time is it expected at B?
Date posted:
September 12, 2019
.
Answers (1)
-
The table below shows income Tax rates
(Solved)
The table below shows income Tax rates

Faith earns a monthly basic salary of Ksh 45,000 and she is also given taxable allowances amounting to Ksh 20480 per month.
a) Calculate Faiths’ gross income tax per month.
b) Faith is entitled to a personal tax relief of Ksh 1162. Determine her net income per month.
c) Faith received 50% increase in her total income; calculate the corresponding percentage increase on the net income tax.
Date posted:
September 12, 2019
.
Answers (1)
-
The overall grade (A) attained by a student is directly proportional to the teacher’s effort (t), square of students effort (s) and the general discipline...
(Solved)
The overall grade (A) attained by a student is directly proportional to the teacher’s effort (t), square of students effort (s) and the general discipline level (d) of the school. A student doubled his effort; teacher went further by 5% but the school discipline dropped by 40%. Find the percentage change in the overall grade.
Date posted:
September 12, 2019
.
Answers (1)
-
Solve the equation 10 Cos2 theta + Sin theta= -1
(Solved)
Solve the equation 10 Cos2 theta + Sin theta= -1 for 
Date posted:
September 12, 2019
.
Answers (1)
-
Water flows from a tap of diameter 7cm at a speed of 5m/s into a rectangular tank of length 5.5m by 3m and height 4.2m.
(Solved)
Water flows from a tap of diameter 7cm at a speed of 5m/s into a rectangular tank of length 5.5m by 3m and height 4.2m. If the tank was initially half full at 6.00pm.Find at what time the tank was full if no water was running out of the tank.
Date posted:
September 12, 2019
.
Answers (1)
-
Given the matrix below is a singular matrix, find the values of x
(Solved)
The matrix
is a singular matrix, find the values of x
Date posted:
September 12, 2019
.
Answers (1)
-
A field is 10m longer than its width. The area is 7200m2. What is the width?
(Solved)
A field is 10m longer than its width. The area is 7200m2. What is the width?
Date posted:
September 12, 2019
.
Answers (1)
-
Find the expansion in ascending powers of x
(Solved)
Find the expansion in ascending powers of x of
up to the term in x2. Hence evaluate (0.99)7 to four significant figures.
Date posted:
September 12, 2019
.
Answers (1)
-
Given that Tan 750= 2+ v3 , hence determine Tan 150 leaving your answer in the form
a+ bvc
(Solved)
Given that Tan 750= 2+ √3 , hence determine Tan 150 leaving your answer in the form
a+ b√c
Date posted:
September 12, 2019
.
Answers (1)
-
Make Q the subject of the formula
(Solved)
Make Q the subject of the formula

Date posted:
September 12, 2019
.
Answers (1)
-
A point P divides AB in the ratio 7: -5 where A (2,-3, 4) and B (-4, 7,-2). Find the coordinates of P.
(Solved)
A point P divides AB in the ratio 7: -5 where A (2,-3, 4) and B (-4, 7,-2). Find the coordinates of P.
Date posted:
September 12, 2019
.
Answers (1)
-
PQR is an equilateral triangle of sides 3cm. S is a variable point on the same side of PQ as R and on the same...
(Solved)
PQR is an equilateral triangle of sides 3cm. S is a variable point on the same side of PQ as R and on the same plane such that angle PSQ=300. Locate by construction the possible location of S
(use a ruler and a pair of compasses only)
Date posted:
September 12, 2019
.
Answers (1)
-
Use logarithms to evaluate
(Solved)
Use logarithms to evaluate

Date posted:
September 12, 2019
.
Answers (1)
-
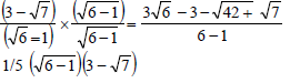
Simplify completely.
(Solved)
Simplify completely.

Date posted:
September 12, 2019
.
Answers (1)
-
A form four mathematics teacher originally worked out the mean mark of her fourty students to be fourty one.
(Solved)
A form four mathematics teacher originally worked out the mean mark of her fourty students to be fourty one. After correction of the quiz. She added some marks to Timina, Chobola and Cheloti in the ration of 5:2:3 respectively. If the new mean marks for the students increased by 1.5 determine how many marks Cheloti was added than Chobola.
Date posted:
September 12, 2019
.
Answers (1)
-
The diagram below shows a straight line intersecting the curve y = (x – 1)2 + 4
(Solved)
The diagram below shows a straight line intersecting the curve y = (x – 1)2 + 4 at the points P and Q. The line also cuts the x – axis at (7, 0) and y – axis at (0, 7)

(a) Find the equation of the straight line in the form y = mx + c.
(b) Find the co-ordinates of P and Q
(c) Calculate the area of the shaded region.
Date posted:
September 11, 2019
.
Answers (1)
-
Boeing 707 plane flies from Nairobi to South Africa. It has 600m2 of cabin space and can carry
5000kg of luggage.
(Solved)
Boeing 707 plane flies from Nairobi to South Africa. It has 600m2 of cabin space and can carry
5000kg of luggage. An economy class passenger gets 3m2 of space is allowed 20kg of luggage.
A first class passenger gets 4m2 of space and is allowed 50kg of luggage. There must be space for At least 50 economy class passengers.
Let x be the number of economy seats and y be the number of first class seats
(i) List down all inequalities that satisfy these conditions.
(ii) Use the grid provided below to represent the region where x and y must lie.
(iii) The profit per flight from an economy seat is sh.4000 and from a first class seat is sh.10000
Use your graph to determine the allocation of seats which will give maximum profit.
Date posted:
September 11, 2019
.
Answers (1)
-
Three towns are located on the earth’s surface at the co-ordinates P(150N, 450E)
(Solved)
Three towns are located on the earth’s surface at the co-ordinates P(150N, 450E), Q(300S, 450E) and R(150N, 900E). A plane A flies from P to Q in 6 hours 40 minutes using the shortest route between the two towns. Another plane B takes off from town P at the same time as A and flies to town R along the parallel of latitude.
(a) Calculate the shortest distance between towns P and Q in km.
(b) Find the distance in km traveled by plane B between P and R to the nearest km
(c) If the two planes fly at the same speed determine to the nearest minute, which plane Reaches its destination earlier and by how long.
(Take pi=22/7 and radius of earth R = 6370km)
Date posted:
September 11, 2019
.
Answers (1)