-
The figure below represent a solid frustum. The faces ABCD and EFGH are parallel squares of sides 10cm and 6 cm respectively. Each...
(Solved)
The figure below represent a solid frustum. The faces ABCD and EFGH are parallel squares of sides 10cm and 6 cm respectively. Each of the slanting edges AE, BF, CG and DH are equal to 4cm.

Determine:
a)The length of the projection of AE on the plane ABCD
b)The angle between the line AE and the plane ABCD
c)The angle between the plane BCGF and ABCD
Date posted:
September 17, 2019
.
Answers (1)
-
A bag contains blue, green and red pens of the same type in the ratio 8:2:5 respectively. A pen is picked at random without...
(Solved)
A bag contains blue, green and red pens of the same type in the ratio 8:2:5 respectively. A pen is picked at random without replacement and its colour noted.
a)Determine the probability that the first pen picked is
i)Blue
ii)Either green or red.
b)Using a tree diagram, determine the probability that
i)The first two pens picked are both green
ii)Only one of the first pens picked is red.
Date posted:
September 17, 2019
.
Answers (1)
-
Lengths of 100 mango leaves from a certain mango tree were measured to the nearest centimeter and recorded as per the table below,
a) draw a...
(Solved)
Lengths of 100 mango leaves from a certain mango tree were measured to the nearest centimeter and recorded as per the table below,

a) draw a cumulative frequency graph to represent this data.
b)Use your graph to estimate
i)The median length of the leaves
ii)The number of leaves whose lengths lie between 13cm and 17cm.
Date posted:
September 17, 2019
.
Answers (1)
-
A globe representing the earth has a radius of 0.5m. point A(00, 100W), B (00, 350E), P(600N, 1100E) and Q(600N, 1200W) are marked on...
(Solved)
A globe representing the earth has a radius of 0.5m. point A(00, 100W), B (00, 350E), P(600N, 1100E) and Q(600N, 1200W) are marked on the globe.
a)Find the length of arc AB, leaving your answer in term of π
b)If O is the centre of the latitude 600N, find the area of the minor sector OPQ
c)Of the local time at Q is 10.30 a.m. on Monday, Determine the local time and day at P.
Date posted:
September 17, 2019
.
Answers (1)
-
The table below shows the current taxation rates in Kenya
A member of parliament’s monthly earnings are as follows: Basic salary Kshs. 300 000, commuted mileage...
(Solved)
The table below shows the current taxation rates in Kenya

A member of parliament’s monthly earnings are as follows: Basic salary Kshs. 300 000, commuted mileage allowance of Kshs. 75 000, entertain allowance Ksh. 60 000, extraneous allowance Ksh. 30 000, house allowance Kshs. 70,000, car maintaince allowance Kshs 247 000. he is entitled to a personal relief of Kshs. 1162 every month.
a)If before the promulgation of the new constitution all the MP’s allowances were tax free, calculate the PAYE the MP’s used to pay
b)In the new constitution all the MP’s are taxed just like the other Kenyans. Calculate the percentage increase in the MP’s PAYE after the new law was passed.
Date posted:
September 17, 2019
.
Answers (1)
-
Two large and one small pump can fill a swimming pool in 4 hours. One large and three small pumps can also fill the...
(Solved)
Two large and one small pump can fill a swimming pool in 4 hours. One large and three small pumps can also fill the swimming pool in 4 hours. How many hours will it take 4 large and 4 small pumps.
Date posted:
September 17, 2019
.
Answers (1)
-
A quantity D is directly proportional to Y and inversely proportional to the square of X. if Y is double and X is increased...
(Solved)
A quantity D is directly proportional to Y and inversely proportional to the square of X. if Y is double and X is increased by 20%, find the ratio of the new value of D to the original value of D in the form a:b where a and b are integers.
Date posted:
September 17, 2019
.
Answers (1)
-
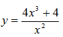
Determine the equation of the tangent to the curve at the point x = 2.
(Solved)
Determine the equation of the tangent to the curve
at the point x = 2.
Date posted:
September 17, 2019
.
Answers (1)
-
In the figure above OC is the tangent to the circle. If OE =8cm and OC = 6cm. find EA.
(Solved)
In the figure above OC is the tangent to the circle. If OE =8cm and OC = 6cm. find EA.

Date posted:
September 17, 2019
.
Answers (1)
-
A circle centre is the point C(2,3) passes through a point P(a,b). a point is the mid-point of the line CP.
a)Calculate the coordinates...
(Solved)
A circle centre is the point C(2,3) passes through a point P(a,b). a point
is the mid-point of the line CP.
a)Calculate the coordinates of P.
b)Determine the equation of the circle in the form x2 +y2 +ax + by + c = 0
Date posted:
September 17, 2019
.
Answers (1)
-
a) Expand and simplify (2x + y)5
b) Using the first four terms of the expansion to evaluate 6.025
(Solved)
a) Expand and simplify (2x + y)5
b) Using the first four terms of the expansion to evaluate 6.025
Date posted:
September 17, 2019
.
Answers (1)
-
Evaluate 5 cos2? + 2 = 3sin2? - 2cos ? given that
(Solved)
Evaluate 5 cos2θ + 2 = 3sin2θ - 2cos θ given that 
Date posted:
September 17, 2019
.
Answers (1)
-
Given that OA=6p – 4q, OB = 20 – 14q and AB = m(2p + 5q), Find the value of m.
(Solved)
Given that OA=6p – 4q, OB = 20 – 14q and AB = m(2p + 5q), Find the value of m.
Date posted:
September 17, 2019
.
Answers (1)
-
Given the equation y = x2 – 5x +6
a)In the space provided below sketch the graph of the equation y = x2 – 5x +6
b)Write...
(Solved)
Given the equation y = x2 – 5x +6
a)In the space provided below sketch the graph of the equation y = x2 – 5x +6
b)Write down the co – ordinates of the Y intercept and X intercept
c)Calculate the area grounded by the curve y = x2 – 5x +6 and the lines x = 0
and x= 4
Date posted:
September 17, 2019
.
Answers (1)
-
The table below shows corresponding values of X and Y which are believed to be connected by a relation of the form Y = abx...
(Solved)
The table below shows corresponding values of X and Y which are believed to be connected by a relation of the form Y = abx – 10 where a and b are constants.

By drawing an appropriate straight line graph on the grid provided
(i) Find the approximate numerical values of a and b
(ii) Hence establish the particular mathematical equation connecting the variables X and Y
b)By using the equation find the value of Y when X = 4.5 to the nearest Unit
Date posted:
September 17, 2019
.
Answers (1)
-
In a triangle below AOB, OA = a, OB = b, M is the midpoint of AB and N is a point on OB such...
(Solved)
In a triangle below AOB, OA = a, OB = b, M is the midpoint of AB and N is a point on OB such that ON: NB = 1:2 AN and OM intersect at P

a) Express the following vectors in terms of a and b
AB
OM
AN
If OP = SOM express OP in terms of t, a and b
b) If AP = tAN express
AP in terms of t , a and b
c)Hence express OP in terms of t, a and b
d)Using the results above solve for s and t
Date posted:
September 17, 2019
.
Answers (1)
-
Convert the following recurring decimal to a fraction 5.3°17°
(Solved)
Convert the following recurring decimal to a fraction 5.3°17°
Date posted:
September 17, 2019
.
Answers (1)
-
Factorize a2 –b2 hence find the exact value of 48972 – 47972
(Solved)
Factorize a2 –b2 hence find the exact value of 48972 – 47972
Date posted:
September 17, 2019
.
Answers (1)
-
a) Given that y = 2cos (2x – 30)o is the equation of a curve state the amplitude and period of the curve
b)Given that y...
(Solved)
a) Given that y = 2cos (2x – 30)o is the equation of a curve state the amplitude and period of the curve
b)Given that y = -1 1/5 in the above function, find x where 
Date posted:
September 17, 2019
.
Answers (1)
-
Machine A can do a piece of work n 6 hours while machine B can do the same piece of work in 9 hours. Machine...
(Solved)
Machine A can do a piece of work n 6 hours while machine B can do the same piece of work in 9 hours. Machine A was set to do the piece of work but after 3 hours it broke down and machine B did the rest of the work. Find how long would machine B take to do the rest of the work
Date posted:
September 17, 2019
.
Answers (1)