-
Two circles of radii 3cm and 8cm have their centres 13cm apart. Calculate the length ofthe direct common tangent.
(Solved)
Two circles of radii 3cm and 8cm have their centres 13cm apart. Calculate the length of the direct common tangent.
Date posted:
September 18, 2019
.
Answers (1)
-
Calculate the shortest distance in nautical miles between M(45°N, 38°E) andN(45°N, I 42°W)
(Solved)
Calculate the shortest distance in nautical miles between M(45°N, 38°E) and N(45°N,42°W)
Date posted:
September 18, 2019
.
Answers (1)
-
Make x the subject in the formula:
(Solved)
Make x the subject in the formula:

Date posted:
September 18, 2019
.
Answers (1)
-
A man deposits his money in a savings bank on a monthly basis. Each deposits exceeds the previous one by Shs 500. If he started...
(Solved)
A man deposits his money in a savings bank on a monthly basis. Each deposits exceeds the previous one by Shs 500. If he started by depositing Shs 1500, how much will he have deposited in 12 months?
Date posted:
September 18, 2019
.
Answers (1)
-
The velocity of a particle moving in a straight line is given by the equation ds/dt = -4t + 2 where s is adisplacement from...
(Solved)
The velocity of a particle moving in a straight line is given by the equation ds/dt = -4t + 2 where s is a displacement from the origin in meters and t is time of motion.
a) Find when the particle is instantaneously at rest.
b) Given that S = 2 when t = o find a in terms of t
c) Find acceleration of the particle
d) At what instant shall displacement of the particle be O?
Date posted:
September 18, 2019
.
Answers (1)
-
Triangle OPQ is such that OP = p and OQ = q point R divides OP in the ratio 1:3 and a point S
divided...
(Solved)
Triangle OPQ is such that OP = p and OQ = q point R divides OP in the ratio 1:3 and a point S
divided PQ in the ratio 5:2 OS and RQ meet at T.
a) Express OS and QR in term of p an q.
b) Given that OT = KOS. Express OT in terms of K, p and q
c) (i) Given also that RT = h RQ, express OT interms of h , p and q
(ii) find the value of h and k
d) State the ratio in which Q divided RT.
Date posted:
September 18, 2019
.
Answers (1)
-
The figure below shows a right pyramid on a square base ABCD of sides 4cm VA =VB = VC=VD = 8cm
a) Find the height VO...
(Solved)
The figure below shows a right pyramid on a square base ABCD of sides 4cm VA =VB = VC=VD = 8cm

a) Find the height VO of the pyramid.
b) The angle between slant edge and the base ABCD
c) The angle between the planes VBC and ABCD
d) Find volume of the pyramid in litres.
Date posted:
September 18, 2019
.
Answers (1)
-
A curve passes through the origin and its gradient function is 3x2 + 6x – 2
Find its equation
(Solved)
A curve passes through the origin and its gradient function is 3x2 + 6x – 2
Find its equation
Date posted:
September 18, 2019
.
Answers (1)
-
The nth term of an AP is given by 2n+ 3. Find the first three terms hence show that the sum of the...
(Solved)
The nth term of an AP is given by 2n+ 3. Find the first three terms hence show that the sum of the first n terms is given by Sn = n2 + 4n
Date posted:
September 18, 2019
.
Answers (1)
-
Wafula was asked to round off to 2/3 decimal places but he truncated it to 3 decimal places.Determine the percentage error as a result...
(Solved)
Wafula was asked to round off 2/3 to 2 decimal places but he truncated it to 3 decimal places.
Determine the percentage error as a result of misunderstanding of the question
Date posted:
September 18, 2019
.
Answers (1)
-
ABCD is a trapezium in which angle B = angle C=90oCalculate the length DC hence the area of the trapezium.
(Solved)
ABCD is a trapezium in which angle B = angle C=90o

Calculate the length DC hence the area of the trapezium.
Date posted:
September 18, 2019
.
Answers (1)
-
In the circle below chords PQ and RS intersect internally at X. Given that RX = 8cm,XS = 3cm
and PQ=10cm. Calculate PX
(Solved)
In the circle below chords PQ and RS intersect internally at X. Given that RX = 8cm,XS = 3cm
and PQ=10cm. Calculate PX

Date posted:
September 18, 2019
.
Answers (1)
-
Find the radius and centre of a circle whose equation is:
4x2 + 4y2 + 56x – 104y – 152 = 0
(Solved)
Find the radius and centre of a circle whose equation is:
4x2 + 4y2 + 56x – 104y – 152 = 0
Date posted:
September 18, 2019
.
Answers (1)
-
a) Construct a parallelogram PQRS such that PQ = 8cm PS = 4.5cm and angle QPS = 60o
b) Locate locus of a point...
(Solved)
a) Construct a parallelogram PQRS such that PQ = 8cm PS = 4.5cm and angle QPS = 60o
b) Locate locus of a point x such that x is equidistant from P and R.
Date posted:
September 18, 2019
.
Answers (1)
-
Given that matrix A = find matrix B such that A2 = A + B
(Solved)
Given that matrix A =
find matrix B such that A2 = A + B
Date posted:
September 18, 2019
.
Answers (1)
-
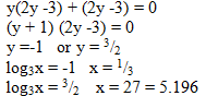
Find without using mathematical tables or calculator, the value of x which satisfy the equation.
Log2 (x2 – 9) = 3 log2 2 +1
(Solved)
Find without using mathematical tables or calculator, the value of x which satisfy the equation.
Log2 (x2 – 9) = 3 log2 2 +1
Date posted:
September 18, 2019
.
Answers (1)
-
Make A the subject of the formula
(Solved)
Make A the subject of the formula

Date posted:
September 18, 2019
.
Answers (1)
-
Evaluate the following leaving your answer in surd form.
(Solved)
Evaluate the following leaving your answer in surd form.

Date posted:
September 18, 2019
.
Answers (1)
-
Use logarithms table to evaluate
(Solved)
Use logarithms table to evaluate

Date posted:
September 18, 2019
.
Answers (1)
-
A manager wishes to hire two types of machine. He considers the following facts:
...
(Solved)
A manager wishes to hire two types of machine. He considers the following facts:
Machine A Machine B
Floor space 2m3 3 m3
No. of men required to operate 4 3
He has a maximum of 24m2 of floor space and a maximum of 36 men available. In addition he is not allowed to hire more machines of type B than of type A.
(a)If he hires x machines of type A and y machines of type B, write down all the inequalities
that satisfy the above conditions.
(b)Represent the inequalities on the grid and shade the unwanted region.
(c)If the profit from machine A is sh. 4 per hour and that from using B is shs.8 per hour. What
number of machine of each type should the manager choose to give the maximum profit
Date posted:
September 18, 2019
.
Answers (1)