-
Make A the subject of the formula given that
(Solved)
Make A the subject of the formula given that 
Date posted:
September 19, 2019
.
Answers (1)
-
Given that 1.5 = x = 3.8 and 2.4 = y = 5, determine the smallest and the greatest value of x – y and...
(Solved)
Given that 1.5 ≤ x ≤ 3.8 and 2.4 ≤ y ≤ 5, determine the smallest and the greatest value of x – y and hence the range of x – y.
Date posted:
September 19, 2019
.
Answers (1)
-
A ball is kicked vertically upwards from a point 0.5m above the ground at a velocity of 16m/s. Assuming that acceleration due to gravity is...
(Solved)
A ball is kicked vertically upwards from a point 0.5m above the ground at a velocity of 16m/s. Assuming that acceleration due to gravity is 10m/s2
Determine
a)An expression for its velocity t seconds later
b)An expression for its height above the ground t seconds later
c)The maximum height reached by the ball
Date posted:
September 19, 2019
.
Answers (1)
-
a)Using a ruler and a pair of compass only construct triangle ABC in which angle BAC = 120o AB = 6.4cm and AC = 7.0cm
(Solved)
a)Using a ruler and a pair of compass only construct triangle ABC in which angle BAC = 120o AB = 6.4cm and AC = 7.0cm
Measure
i) angle ABC
ii) BC
b) Construct the circumscribed circle of triangle ABC with O as its centre. Describe the circumscribed circle as a locus
Date posted:
September 19, 2019
.
Answers (1)
-
A particle moving along a straight line covers a distance 5 metres in time t seconds from a fixed point O on the line where...
(Solved)
A particle moving along a straight line covers a distance 5 metres in time t seconds from a fixed point O on the line where s = t3 – 6t2 + 8t – 4
Find
a)The velocity of the particle when t = 5
b)The acceleration when t = 5 seconds
c)The time when the velocity of the particle is constant
Date posted:
September 19, 2019
.
Answers (1)
-
Mukai travels from A to B at xkm/h. The two towns are 40km apart. She then travels to town C at (x + 6)km/h. Town...
(Solved)
Mukai travels from A to B at xkm/h. The two towns are 40km apart. She then travels to town C at (x + 6)km/h. Town B and C are 100km apart. If the time she takes from B to C is the same time from A to B, find the value of x
Date posted:
September 19, 2019
.
Answers (1)
-
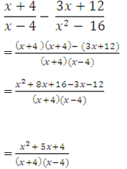
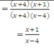
Simplify completely
(Solved)
Simplify completely

Date posted:
September 19, 2019
.
Answers (1)
-
A two-digit number is made by combining any of the two digits 1, 3, 5, 7 and 9 at random.
a)Make an array of possible combinations
...
(Solved)
A two-digit number is made by combining any of the two digits 1, 3, 5, 7 and 9 at random.
a)Make an array of possible combinations

b)Find the probability that the number formed is prime
Date posted:
September 19, 2019
.
Answers (1)
-
Grade x and grade y sugar cost sh60 and sh50 per kilogram respectively. In what proportion must the two grades be mixed to produce a...
(Solved)
Grade x and grade y sugar cost sh60 and sh50 per kilogram respectively. In what proportion must the two grades be mixed to produce a blend that cost sh53 per kilogram
Date posted:
September 19, 2019
.
Answers (1)
-
A point T divides a line AB internally in the ratio 5:2. Given that A is (4,10) and B(11,3). Find the coordinates of T
(Solved)
A point T divides a line AB internally in the ratio 5:2. Given that A is (4,10) and B(11,3). Find the coordinates of T
Date posted:
September 19, 2019
.
Answers (1)
-
In mr Mukala’s shop, a radio has marked price of ksh10000. Mr mukala can allow a reduction of 15% on the marked price and still...
(Solved)
In mr Mukala’s shop, a radio has marked price of ksh10000. Mr mukala can allow a reduction of 15% on the marked price and still make a profit of 25% on the cost price of the radio. What was the cost price of the radio?
Date posted:
September 19, 2019
.
Answers (1)
-
An arc of a circle radius 3.5cm is 9.1cm long. Find the angle it substends at the centre of the circle
(Solved)
An arc of a circle radius 3.5cm is 9.1cm long. Find the angle it substends at the centre of the circle
Date posted:
September 19, 2019
.
Answers (1)
-
Solve for x
(Solved)
Solve for x

Date posted:
September 19, 2019
.
Answers (1)
-
Use binomial expansion to expand up to the 4th term
(Solved)
Use binomial expansion to expand
up to the 4th term
Date posted:
September 19, 2019
.
Answers (1)
-
Use matrix method to determine the co-ordinates of the point of intersection of the two lines.
3x – 2y = 13, 2y + x + 1...
(Solved)
Use matrix method to determine the co-ordinates of the point of intersection of the two lines.
3x – 2y = 13, 2y + x + 1 = 0
Date posted:
September 19, 2019
.
Answers (1)
-
Evaluate;
(Solved)
Evaluate;

Date posted:
September 19, 2019
.
Answers (1)
-
Make t the subject of formula.
(Solved)
Make t the subject of formula.

Date posted:
September 19, 2019
.
Answers (1)
-
Using logarithms evaluate;
(Solved)
Using logarithms evaluate;

Date posted:
September 19, 2019
.
Answers (1)
-
(a) Calculate the turning point of the function y = x3 -3x and state their nature.
Hence sketch the curve.
(b)Find the area of each of...
(Solved)
(a) Calculate the turning point of the function y = x3 -3x and state their nature.
Hence sketch the curve.
(b)Find the area of each of the two segments of the curve y = x3 -3x cut off by the x-axis
Date posted:
September 19, 2019
.
Answers (1)
-
(a) Without using a protractor or a set square, construct a parallelogram PQRS such thatPQ = 7.5cm , PS = 5cm and QPS = 67½...
(Solved)
(a) Without using a protractor or a set square, construct a parallelogram PQRS such that PQ = 7.5cm , PS = 5cm and QPS = 67½ °.
On the same diagram locate:
(b) A point X such that it is equidistant from P and Q.
(c) A point M such that QMS 90°. M is on the same side of QS as R.
(d) A region inside the parallelogram in which a variable Y lies such that PY RY and QYS >90°. Shade the region represented by Y.
Date posted:
September 19, 2019
.
Answers (1)