-
The points X and Y are both on latitude 39oN. The longitude of X is 73oW and the longitude of Y is 18oW . Two...
(Solved)
The points X and Y are both on latitude 39oN. The longitude of X is 73oW and the longitude of Y is 18oW . Two ships P and Q leave X at the same time and travel to Y along the line of latitude. The ships P and Q travel at constant speeds of 25km/hr and 20km/h respectively. Taking the radius of the earth to be 6371km and π= 22/7 ;Calculate:-
(a) The distance Q still has to travel when P reaches Y.
(b) At the same time a third ship R leaves Y traveling due west at an average speed of 15km/hr.
Calculate the longitude of the point at which R meets P.
Date posted:
September 20, 2019
.
Answers (1)
-
In a square PQRS, A is the mid-point of PQ and B is the mid-point of QR, while C is a point on BP such...
(Solved)
In a square PQRS, A is the mid-point of PQ and B is the mid-point of QR, while C is a point on BP such that 2BC = 3CP. The co-ordinates of P, Q and S are (4,4), (14,4) and (4,14) respectively. Find:
(a) (i) the column vectors of PQ and PS.
(ii) co-ordinates of R
(b) Show that A, C, S are collinear.
Date posted:
September 20, 2019
.
Answers (1)
-
Find the equation of the tangent to the circle x2+y2-8x+2y+7=0 at the point (3, 2). Give your answer in the form y=ax+b.
(Solved)
Find the equation of the tangent to the circle x2+y2-8x+2y+7=0 at the point (3, 2). Give your answer in the form y=ax+b.
Date posted:
September 19, 2019
.
Answers (1)
-
Without using mathematical tables and calculators simplify:
(Solved)
Without using mathematical tables and calculators simplify:

Date posted:
September 19, 2019
.
Answers (1)
-
Use matrix method to solve simultaneous equations.
3x + 7y = 11
x – y + 4 = 0
(Solved)
Use matrix method to solve simultaneous equations.
3x + 7y = 11
x – y + 4 = 0
Date posted:
September 19, 2019
.
Answers (1)
-
The distance between Sotik and Nakuru is 130km. car x starts from Sotik at 8.00 a.m and travels at 40km/hr towards Nakuru. A second car...
(Solved)
The distance between Sotik and Nakuru is 130km. car x starts from Sotik at 8.00 a.m and travels at 40km/hr towards Nakuru. A second car y starts traveling from Nakuru at 8.15 a.m towards Sotik at an average speed of 35km/hr. At what time will the two cars meet?
Date posted:
September 19, 2019
.
Answers (1)
-
A variable P varies as the square of Q and inversely as square root of R. Find the percentage change in P when Q is...
(Solved)
A variable P varies as the square of Q and inversely as square root of R. Find the percentage change in P when Q is increased by 5% and R reduced by 19%.
Date posted:
September 19, 2019
.
Answers (1)
-
Make C the subject of the formula.
(Solved)
Make C the subject of the formula.

Date posted:
September 19, 2019
.
Answers (1)
-
(a) Expand and simplify the expression (10+2/x)5
(b) Use the expression in (a) above to find the value of 145.
(Solved)
(a) Expand and simplify the expression (10+2/x)5
(b) Use the expression in (a) above to find the value of 145.
Date posted:
September 19, 2019
.
Answers (1)
-
The table below is part of tax table for monthly income for the year 2010.
Monthly taxable income in Ksh. Tax rate % in...
(Solved)
The table below is part of tax table for monthly income for the year 2010.
Monthly taxable income in Ksh. Tax rate % in each sh.
Under Ksh. 9681 10%
From Ksh. 9681 but under 18801 15%
From Ksh. 18801 but under Kshs.27921 20%
In the year 2010, the tax on Koech’s monthly income was Ksh.1916. Calculate Koech’s monthly income.
Date posted:
September 19, 2019
.
Answers (1)
-
Evaluate:
(Solved)
Evaluate:

Date posted:
September 19, 2019
.
Answers (1)
-
The two variable P and Q are connected by Q=K(ap) and the table of values of P and Q is given below.
(a) Write the equation...
(Solved)
The two variable P and Q are connected by Q=K(ap) and the table of values of P and Q is given below.

(a) Write the equation Q=K(ap) in the form y = mx + c.
(b) Draw the linear graph.
(c) Find the value of a and k.
(d) Write the equation connecting Q and p.
Date posted:
September 19, 2019
.
Answers (1)
-
In the figure below O is the centre of the circle and PTQ is the tangent at T. If PT=ST and angle SRT=52o. Determine the...
(Solved)
In the figure below O is the centre of the circle and PTQ is the tangent at T. If PT=ST and angle SRT=52o. Determine the size of the angles below giving reasons:

(a) PTS
(b) RTQ
(c) TSR
(d) TQR
(e) PSQ
Date posted:
September 19, 2019
.
Answers (1)
-
Find the number of terms in the series
a+3a+9a+……………….+243a .
(Solved)
Find the number of terms in the series
a+3a+9a+……………….+243a .
Date posted:
September 19, 2019
.
Answers (1)
-
Evaluate using logarithms.
(Solved)
Evaluate using logarithms.

Date posted:
September 19, 2019
.
Answers (1)
-
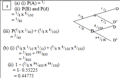
The probability that a healthy animal being brought into contact with an infecting agent and gets the germ is 0.80. The probability that an animal...
(Solved)
The probability that a healthy animal being brought into contact with an infecting agent and gets the germ is 0.80. The probability that an animal infected with germs develops the disease is 0.90. The probability that an animal which has developed the disease will survive is 0.75. What is the probability that a healthy animal brought into contact with the infecting agent will die?
Date posted:
September 19, 2019
.
Answers (1)
-
Given that 9x2+36x-40+k is a perfect square, find the value of k.
(Solved)
Given that 9x2+36x-40+k is a perfect square, find the value of k.
Date posted:
September 19, 2019
.
Answers (1)
-
Town X is east of town Y where town Y is (15oN, 3oW). The local time at X is 2.00pm when the local time at...
(Solved)
Town X is east of town Y where town Y is (15oN, 3oW). The local time at X is 2.00pm when the local time at Y is 4.00pm. Find the position of town X.
Date posted:
September 19, 2019
.
Answers (1)
-
State the nature of the turning points of the curve.
y=x3+6x2-15x+24
(Solved)
State the nature of the turning points of the curve.
y=x3+6x2-15x+24
Date posted:
September 19, 2019
.
Answers (1)
-
Expand (x-1/2x)6 upto the fourth term and state its constant term, hence use the first four terms to solve (9.95)6 to (4 s.f)
(Solved)
Expand (x-1/2x)6 upto the fourth term and state its constant term, hence use the first four terms to solve (9.95)6 to (4 s.f)
Date posted:
September 19, 2019
.
Answers (1)