-
A rectangle ABCD is such that AB=6cm, and BC=5cm. A variable point P moves inside the rectangle such that AP = PB and AP >2.5cm....
(Solved)
A rectangle ABCD is such that AB=6cm, and BC=5cm. A variable point P moves inside the rectangle such that AP ≤ PB and AP >2.5cm. Show the region where P lies
Date posted:
September 20, 2019
.
Answers (1)
-
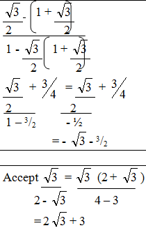
Without using logarithms table, solve the equation
(Solved)
Without using logarithms table, solve the equation

Date posted:
September 20, 2019
.
Answers (1)
-
The size of an interior angle of a regular polygon is x2 while its exterior angle is 3x. Find the number of sides of...
(Solved)
The size of an interior angle of a regular polygon is x2 while its exterior angle is 3x. Find the number of sides of the polygon
Date posted:
September 20, 2019
.
Answers (1)
-
The sides of a triangle were measured and recorded as 4cm, 6.2cm and 9.50cm. Calculate the percentage error in its perimeter, correct to 2 decimal...
(Solved)
The sides of a triangle were measured and recorded as 4cm, 6.2cm and 9.50cm. Calculate the percentage error in its perimeter, correct to 2 decimal places
Date posted:
September 20, 2019
.
Answers (1)
-
The velocity V of a body moving in a straight line at any time t is given by V=3t-2. Its distance S at time...
(Solved)
The velocity V of a body moving in a straight line at any time t is given by V=3t-2. Its distance S at time t=0 is equal to 4m. Calculate the distance when t=4 seconds
Date posted:
September 20, 2019
.
Answers (1)
-
In the figure below kite ABCD represents a part of a county government logo. The logo has symmetry order 4 about O. Complete the figure...
(Solved)
In the figure below kite ABCD represents a part of a county government logo. The logo has symmetry order 4 about O. Complete the figure to show the logo

Date posted:
September 20, 2019
.
Answers (1)
-
(a) Expand and simplify the binomial expression (2x-y)5
(b) Use the first four terms of the expansion above to approximate the value of (3.8)5
(Solved)
(a) Expand and simplify the binomial expression (2x-y)5
(b) Use the first four terms of the expansion above to approximate the value of (3.8)5
Date posted:
September 20, 2019
.
Answers (1)
-
An arithmetic progression of 41 terms in such that the sum of the first five terms is 560 and sum of the last five terms...
(Solved)
An arithmetic progression of 41 terms in such that the sum of the first five terms is 560 and sum of the last five terms is -250. Find the first term
Date posted:
September 20, 2019
.
Answers (1)
-
Given that express y in terms of d
(Solved)
Given that
express y in terms of d
Date posted:
September 20, 2019
.
Answers (1)
-
Miss Jaber bought a motor cycle at Shs.160,000. The depreciation rate was 6% per annum determined semi annually. How long will it take the motor...
(Solved)
Miss Jaber bought a motor cycle at Shs.160,000. The depreciation rate was 6% per annum determined semi annually. How long will it take the motor cycle to be valued at a quarter of its original cost.
Date posted:
September 20, 2019
.
Answers (1)
-
Write an equation of a circle that has a diameter whose end points are at (2,7) and (-6, 15) in the form x2+y2+ax+by+c=0 where a,b...
(Solved)
Write an equation of a circle that has a diameter whose end points are at (2,7) and (-6, 15) in the form x2+y2+ax+by+c=0 where a,b and c are integers.
Date posted:
September 20, 2019
.
Answers (1)
-
A business lady bought 180 mangoes at Shs.60 for every five mangoes. She sold some of them at Shs.30 for every three and 33 1/3...
(Solved)
A business lady bought 180 mangoes at Shs.60 for every five mangoes. She sold some of them at Shs.30 for every three and 33 1/3 % the rest at Sh.30 for every four. If she made a 33 1/3 % loss, calculate the number of mangoes sold at Shs.30 for every four
Date posted:
September 20, 2019
.
Answers (1)
-
Evaluate using logarithms
(Solved)
Evaluate using logarithms

Date posted:
September 20, 2019
.
Answers (1)
-
Complete the table below.
(Solved)
Complete the table below.

Date posted:
September 20, 2019
.
Answers (1)
-
Using a ruler and a compass only
a) Construct a parallelogram ABCD such that AB = 10cm BC=7cm and < ABC
105o
b) Construct the loci of P...
(Solved)
Using a ruler and a compass only
a) Construct a parallelogram ABCD such that AB = 10cm BC=7cm and < ABC
105o
b) Construct the loci of P and Q within the parallelogram such that AP < 4cm and BQ < 6cm
c) Calculate the area within the parallelogram and outside the region bounded by the two loci
Date posted:
September 20, 2019
.
Answers (1)
-
The table below gives the income tax rates.a)Calculate income tax of Wanga’s taxable income of kshs.50,400 per monthallowing a family relief of kshs. 520 per...
(Solved)
The table below gives the income tax rates.

a)Calculate income tax of Wanga’s taxable income of kshs.50,400 per month allowing a family relief of kshs. 520 per month.
b)Calculate the total tax as a percentage of taxable income
Date posted:
September 20, 2019
.
Answers (1)
-
Find the integral values of x which satisfy 6 = 2x + 1 and 5x – 29 < - 4 .
(Solved)
Find the integral values of x which satisfy 6 ≤ 2x + 1 and 5x – 29 < - 4 .
Date posted:
September 20, 2019
.
Answers (1)
-
Five men working 8 hours daily complete a piece of work in 3 days. How long will it take 12 men working 5 hours a...
(Solved)
Five men working 8 hours daily complete a piece of work in 3 days. How long will it take 12 men working 5 hours a day to complete the same work.
Date posted:
September 20, 2019
.
Answers (1)
-
Write the expression of (2 – 1/5 x)6 up to the term in x4. Hence use the expansion to find the value of (1.96)6 correct...
(Solved)
Write the expression of (2 – 1/5 x)6 up to the term in x4. Hence use the expansion to find the value of (1.96)6 correct to 3 decimal places.
Date posted:
September 20, 2019
.
Answers (1)
-
The position vectors of points A and B are a = 2i + j – 8k and b = 3i +2j – 2k respectively....
(Solved)
The position vectors of points A and B are a = 2i + j – 8k and b = 3i +2j – 2k respectively. Find the magnitude of AB.
Date posted:
September 20, 2019
.
Answers (1)