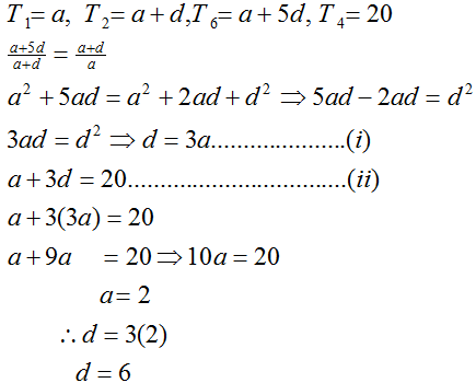
-
Simplify:
(Solved)
Simplify: 
Date posted:
September 21, 2019
.
Answers (1)
-
The initial velocity of a particle was 1 m/s and its acceleration is given by 2-t m/s2 every second after the start.
(i)determine the equation representing...
(Solved)
The initial velocity of a particle was 1 m/s and its acceleration is given by 2-t m/s2 every second after the start.
(i)determine the equation representing its velocity.
(ii)Find the velocity of the particle during the third second
Date posted:
September 21, 2019
.
Answers (1)
-
A and B are two points on the latitude 400N. The two points lie on the longitude 800W and 1000E respectively. ( take r= 6370...
(Solved)
A and B are two points on the latitude 400N. The two points lie on the longitude 800W and 1000E respectively. ( take r= 6370 km & π= 22/7)
( a ) Calculate:
(i)The distance from A to B along the parallel of latitude
(ii)The shortest distance from A to B
( b )Two planes P and Q left A for B at 400 knots and 600 knots respectively. If P flew along the great circle and q along the parallel of latitude, which one arrived earlier and by how long? Give your answer to
the nearest minute
Date posted:
September 21, 2019
.
Answers (1)
-
Mrs. Langat, a primary school head teacher, earns a basic salary of sh.38,300, house allowance of sh 12000 and medical allowance of sh 3600 every...
(Solved)
Mrs. Langat, a primary school head teacher, earns a basic salary of sh.38,300, house allowance of sh 12000 and medical allowance of sh 3600 every month. She claims a family relief of sh.1172 and insurance relief of 3% of the premium paid. Using tax rates table below:

(a)Calculate Mrs. Langat’s annual taxable income in Kenya pound per annum
(b)Tax due every month from Mrs. Langat
(c) If further deductions are made every month from her salary:
•WCPS of 2% of basic salary
•Life insuarance premium of sh4600
•Sacco loan repayment of sh 14,200
Calculate: (i) the total deductions
( ii ) her net pay for every month
Date posted:
September 21, 2019
.
Answers (1)
-
A new laptop depreciates at 8% per annum in the first year and 12% per year in the second year. If its value...
(Solved)
A new laptop depreciates at 8% per annum in the first year and 12% per year in the second year. If its value at the end of the second year was sh121, 440. calculate its original value.
Date posted:
September 21, 2019
.
Answers (1)
-
Without using a calculator, solve leaving your answer in the form avb+c where a, b, and c are integers.
(Solved)
Without using a calculator, solve
leaving your answer in the form a√b+c where a, b, and c are integers.
Date posted:
September 21, 2019
.
Answers (1)
-
Kiprono buys tea costing sh 112 per kilogram and sh 132 per kilogram and mixes them, then sells the mixture at sh 150 per kilogram....
(Solved)
Kiprono buys tea costing sh 112 per kilogram and sh 132 per kilogram and mixes them, then sells the mixture at sh 150 per kilogram. If he is making a profit of 25% in each kilogram of the mixture , determine the ratio in which he mixes the tea.
Date posted:
September 21, 2019
.
Answers (1)
-
Given that C varies partly as A and partly as the square of A and that C=20 when A= 2 and C=21 when A=...
(Solved)
Given that C varies partly as A and partly as the square of A and that C=20 when A= 2 and C=21 when A= 3, determine the value of C when A = 4.
Date posted:
September 21, 2019
.
Answers (1)
-
Ann, Betty and Caro agreed to share some amount of money in the ratio 3:4:2. If Betty got twice as much as Caro and Ann...
(Solved)
Ann, Betty and Caro agreed to share some amount of money in the ratio 3:4:2. If Betty got twice as much as Caro and Ann got Sh 6000 more than Caro, then how much money was being shared?
Date posted:
September 21, 2019
.
Answers (1)
-
The curve x y =12 cuts the line y = 7- x at two points. Find the coordinates of the two points.
(Solved)
The curve x y =12 cuts the line y = 7- x at two points. Find the coordinates of the two points.
Date posted:
September 21, 2019
.
Answers (1)
-
Solve the value of x :
(Solved)
Solve the value of x :

Date posted:
September 21, 2019
.
Answers (1)
-
Make K the subject of the formula and simplify
(Solved)
Make K the subject of the formula and simplify

Date posted:
September 21, 2019
.
Answers (1)
-
The sum of the fifth and the sixth term of an AP is 30. If the third term is 5, find the first term. ...
(Solved)
The sum of the fifth and the sixth term of an AP is 30. If the third term is 5, find the first term.
Date posted:
September 21, 2019
.
Answers (1)
-
Use logarithms to evaluate:
(Solved)
Use logarithms to evaluate:

Date posted:
September 21, 2019
.
Answers (1)
-
Given that y=2xo+ cos ½ xo, complete the table below for the missing values of y, correct to 1 decimal place
(Solved)
Given that y=2xo+ cos ½ xo, complete the table below for the missing values of y, correct to 1 decimal place

Date posted:
September 20, 2019
.
Answers (1)
-
A relief organization has to transport at least 80 people and at least 18 tonnes of supplies to a site. There are two types of...
(Solved)
A relief organization has to transport at least 80 people and at least 18 tonnes of supplies to a site. There are two types of vehicles available type A and B. type A can carry 900 kg of supplies and 6 people while type B can carry 1350 kg of supplies and 5 people. There are at most 12 vehicles of each type available. By putting X to represent the number of vehicles of type A and y to represent the number of vehicles of type B
Write down all the four inequalities to represent the above information
Date posted:
September 20, 2019
.
Answers (1)
-
The diagram below shows a design model of a race course drawn to scale of 1:5000,000. It consists of two circles centre A and B...
(Solved)
The diagram below shows a design model of a race course drawn to scale of 1:5000,000. It consists of two circles centre A and B radii 0.5cm and 0.8cm respectively and the distance between their centres is 3.0cm

Calculate in km:
(i) The length of leg CD
(ii) The length of the leg DEG (π=3.142)
(iii) The length of the leg HIC (π=3.142)
(iv) During a race, the course is manned by race officials placed 500m apart and each is paid Kshs.2300/= per day. How much is needed to pay race officials for one day event
Date posted:
September 20, 2019
.
Answers (1)
-
In a certain country, the probability of a school A topping in county exams is 1/3. If it tops the probability of it topping in...
(Solved)
In a certain country, the probability of a school A topping in county exams is 1/3. If it tops the probability of it topping in KCSE is 5/7 otherwise the probability of it topping in KCSE is 2/9. If the school tops in KCSE the probability of its appearing in the newspaper is 2/5, otherwise the probability of its appearing in newspaper is 4/11
(a) Draw a tree diagram to represent the above information
(b) Use the tree diagram to find the probability that:
(i) The school tops in the two exams and appears in the newspaper
(ii) The school did not appear in the newspaper
(iii) The school topped in at least one exam and did not appear in the newspaper
(iv) The school appeared in the newspaper
Date posted:
September 20, 2019
.
Answers (1)
-
A passenger plane takes off from airport A(60oN,5oE) and flies directly to another airport B(60oN,17oE) and then flies due North for 600 nautical miles (nm)...
(Solved)
A passenger plane takes off from airport A(60oN,5oE) and flies directly to another airport B(60oN,17oE) and then flies due North for 600 nautical miles (nm) another airport C
(a) Find the position of airport C
(b) Find the distance between airport A and B in nautical miles
(c) If the plane at an average speed of 300knots, find total flight time
(d)Given that the plane left air port A at 9.20am. Find the local time of arrival at airport C
Date posted:
September 20, 2019
.
Answers (1)
-
A solution whose volume is 120 litres is made up of 35% water and the rest alcohol. When y litres of alcohol is added the...
(Solved)
A solution whose volume is 120 litres is made up of 35% water and the rest alcohol. When y litres of alcohol is added the percentage of water drops to 15%
(a) Find the value of y
(b) The new solution is diluted further by addition of seventy litres of water. Calculate the percentage of alcohol in the resulting solution
(c) A blend is made by mixing 10 litres of the solution in (b) above with 20 liters of the original solution.
Calculate in the simplest form, the ratio of water to that of alcohol in the blend
Date posted:
September 20, 2019
.
Answers (1)