-
Income rates for income earned was charged as follows
Income in Kshs. Per month Rates in Kshs. Per Ksh.20
1 - 8400 2
8401 - 18000 3
18001 - 30,000 4
30,001 - 36,000 5
36,001 - 48,000 6
48,001 and above 7
An employee earns a monthly salary of...
(Solved)
Income rates for income earned was charged as follows
Income in Kshs. Per month Rates in Kshs. Per Ksh.20
1 - 8400 2
8401 - 18000 3
18001 - 30,000 4
30,001 - 36,000 5
36,001 - 48,000 6
48,001 and above 7
An employee earns a monthly salary of Ksh.19,200 and is housed by the institution and pays a nominal rent of Kshs.2000 per month. His house allowance is Ksh. 12,000 per month, transport allowance Ksh.1,300 and medical allowance, Ksh.2,300.He is entitled to a family relief of Ksh.1240 per month. Determine
a)i)His taxable income per month.
ii)Net tax
b)In addition the following deductions were made;NHIF Ksh.230,service charge kshs.100,loan repayment kshs.4000,co-operative share kshs.1200.Calculate his net salary per month
Date posted:
September 21, 2019
.
Answers (1)
-
Make k the subject of the formula.
(Solved)
Make k the subject of the formula.

Date posted:
September 21, 2019
.
Answers (1)
-
Rationalize the denominator fully and simplify, leaving your answer in surd form
(Solved)
Rationalize the denominator fully and simplify, leaving your answer in surd form

Date posted:
September 21, 2019
.
Answers (1)
-
The figure below shows a triangle ABC inscribed in a circle.AC = 10cm BC = 7cm and AB = 10cm.Find the radius of the circle(leave...
(Solved)
The figure below shows a triangle ABC inscribed in a circle.AC = 10cm BC = 7cm and AB = 10cm.Find the radius of the circle(leave your answer to the nearest 1 decimal place)

Date posted:
September 21, 2019
.
Answers (1)
-
A TV set was bought on hire purchase. A down payment (deposit) of Kshs.5000 was paid and a 15 monthly installment of Kshs. 1500 was...
(Solved)
A TV set was bought on hire purchase. A down payment (deposit) of Kshs.5000 was paid and a 15 monthly installment of Kshs. 1500 was required.
a)Calculate the total amount paid on hire purchase
b)If the hire purchase payment is 20% more than cash payment, find the cash price
Date posted:
September 21, 2019
.
Answers (1)
-
The initial velocity of a particle was 1 m/s and its acceleration is given by 2-t m/s2 every second after the start.
(i)determine the equation representing...
(Solved)
The initial velocity of a particle was 1 m/s and its acceleration is given by 2-t m/s2 every second after the start.
(i)determine the equation representing its velocity.
(ii)Find the velocity of the particle during the third second
Date posted:
September 21, 2019
.
Answers (1)
-
A and B are two points on the latitude 400N. The two points lie on the longitude 800W and 1000E respectively. ( take r= 6370...
(Solved)
A and B are two points on the latitude 400N. The two points lie on the longitude 800W and 1000E respectively. ( take r= 6370 km & π= 22/7)
( a ) Calculate:
(i)The distance from A to B along the parallel of latitude
(ii)The shortest distance from A to B
( b )Two planes P and Q left A for B at 400 knots and 600 knots respectively. If P flew along the great circle and q along the parallel of latitude, which one arrived earlier and by how long? Give your answer to
the nearest minute
Date posted:
September 21, 2019
.
Answers (1)
-
Mrs. Langat, a primary school head teacher, earns a basic salary of sh.38,300, house allowance of sh 12000 and medical allowance of sh 3600 every...
(Solved)
Mrs. Langat, a primary school head teacher, earns a basic salary of sh.38,300, house allowance of sh 12000 and medical allowance of sh 3600 every month. She claims a family relief of sh.1172 and insurance relief of 3% of the premium paid. Using tax rates table below:

(a)Calculate Mrs. Langat’s annual taxable income in Kenya pound per annum
(b)Tax due every month from Mrs. Langat
(c) If further deductions are made every month from her salary:
•WCPS of 2% of basic salary
•Life insuarance premium of sh4600
•Sacco loan repayment of sh 14,200
Calculate: (i) the total deductions
( ii ) her net pay for every month
Date posted:
September 21, 2019
.
Answers (1)
-
The diagram below shows a design model of a race course drawn to scale of 1:5000,000. It consists of two circles centre A and B...
(Solved)
The diagram below shows a design model of a race course drawn to scale of 1:5000,000. It consists of two circles centre A and B radii 0.5cm and 0.8cm respectively and the distance between their centres is 3.0cm

Calculate in km:
(i) The length of leg CD
(ii) The length of the leg DEG (π=3.142)
(iii) The length of the leg HIC (π=3.142)
(iv) During a race, the course is manned by race officials placed 500m apart and each is paid Kshs.2300/= per day. How much is needed to pay race officials for one day event
Date posted:
September 20, 2019
.
Answers (1)
-
In a certain country, the probability of a school A topping in county exams is 1/3. If it tops the probability of it topping in...
(Solved)
In a certain country, the probability of a school A topping in county exams is 1/3. If it tops the probability of it topping in KCSE is 5/7 otherwise the probability of it topping in KCSE is 2/9. If the school tops in KCSE the probability of its appearing in the newspaper is 2/5, otherwise the probability of its appearing in newspaper is 4/11
(a) Draw a tree diagram to represent the above information
(b) Use the tree diagram to find the probability that:
(i) The school tops in the two exams and appears in the newspaper
(ii) The school did not appear in the newspaper
(iii) The school topped in at least one exam and did not appear in the newspaper
(iv) The school appeared in the newspaper
Date posted:
September 20, 2019
.
Answers (1)
-
A passenger plane takes off from airport A(60oN,5oE) and flies directly to another airport B(60oN,17oE) and then flies due North for 600 nautical miles (nm)...
(Solved)
A passenger plane takes off from airport A(60oN,5oE) and flies directly to another airport B(60oN,17oE) and then flies due North for 600 nautical miles (nm) another airport C
(a) Find the position of airport C
(b) Find the distance between airport A and B in nautical miles
(c) If the plane at an average speed of 300knots, find total flight time
(d)Given that the plane left air port A at 9.20am. Find the local time of arrival at airport C
Date posted:
September 20, 2019
.
Answers (1)
-
A solution whose volume is 120 litres is made up of 35% water and the rest alcohol. When y litres of alcohol is added the...
(Solved)
A solution whose volume is 120 litres is made up of 35% water and the rest alcohol. When y litres of alcohol is added the percentage of water drops to 15%
(a) Find the value of y
(b) The new solution is diluted further by addition of seventy litres of water. Calculate the percentage of alcohol in the resulting solution
(c) A blend is made by mixing 10 litres of the solution in (b) above with 20 liters of the original solution.
Calculate in the simplest form, the ratio of water to that of alcohol in the blend
Date posted:
September 20, 2019
.
Answers (1)
-
Mr. Alvin George, a civil servant gets a monthly salary of Shs. 48,000. He lives in a government house where he pays nominal rent of...
(Solved)
Mr. Alvin George, a civil servant gets a monthly salary of Shs. 48,000. He lives in a government house where he pays nominal rent of Shs.2500. Besides this he gets an automatic house allowance of Shs.12000 and medical allowance of shs.8000 per month. He gets a family relief of sh.1065 per month. The rates of income tax are shown below

Calculate:
(a) His taxable income per month in Kenya pounds
(b) Net tax per month in Kshs.
(c) Net salary
Date posted:
September 20, 2019
.
Answers (1)
-
A rectangle ABCD is such that AB=6cm, and BC=5cm. A variable point P moves inside the rectangle such that AP = PB and AP >2.5cm....
(Solved)
A rectangle ABCD is such that AB=6cm, and BC=5cm. A variable point P moves inside the rectangle such that AP ≤ PB and AP >2.5cm. Show the region where P lies
Date posted:
September 20, 2019
.
Answers (1)
-
(a) Expand and simplify the binomial expression (2x-y)5
(b) Use the first four terms of the expansion above to approximate the value of (3.8)5
(Solved)
(a) Expand and simplify the binomial expression (2x-y)5
(b) Use the first four terms of the expansion above to approximate the value of (3.8)5
Date posted:
September 20, 2019
.
Answers (1)
-
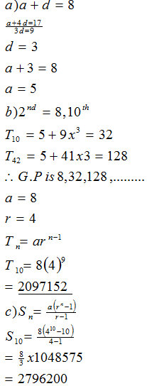
An arithmetic progression of 41 terms in such that the sum of the first five terms is 560 and sum of the last five terms...
(Solved)
An arithmetic progression of 41 terms in such that the sum of the first five terms is 560 and sum of the last five terms is -250. Find the first term
Date posted:
September 20, 2019
.
Answers (1)
-
Miss Jaber bought a motor cycle at Shs.160,000. The depreciation rate was 6% per annum determined semi annually. How long will it take the motor...
(Solved)
Miss Jaber bought a motor cycle at Shs.160,000. The depreciation rate was 6% per annum determined semi annually. How long will it take the motor cycle to be valued at a quarter of its original cost.
Date posted:
September 20, 2019
.
Answers (1)
-
The table below gives the income tax rates.a)Calculate income tax of Wanga’s taxable income of kshs.50,400 per monthallowing a family relief of kshs. 520 per...
(Solved)
The table below gives the income tax rates.

a)Calculate income tax of Wanga’s taxable income of kshs.50,400 per month allowing a family relief of kshs. 520 per month.
b)Calculate the total tax as a percentage of taxable income
Date posted:
September 20, 2019
.
Answers (1)
-
Write the expression of (2 – 1/5 x)6 up to the term in x4. Hence use the expansion to find the value of (1.96)6 correct...
(Solved)
Write the expression of (2 – 1/5 x)6 up to the term in x4. Hence use the expansion to find the value of (1.96)6 correct to 3 decimal places.
Date posted:
September 20, 2019
.
Answers (1)
-
The position vectors of points A and B are a = 2i + j – 8k and b = 3i +2j – 2k respectively....
(Solved)
The position vectors of points A and B are a = 2i + j – 8k and b = 3i +2j – 2k respectively. Find the magnitude of AB.
Date posted:
September 20, 2019
.
Answers (1)