-
Momanyi deposited sh. 24,000 in a fixed account for a period of 24 months .The bank pays compound interest on quarterly basis. At the...
(Solved)
Momanyi deposited sh. 24,000 in a fixed account for a period of 24 months .The bank pays compound interest on quarterly basis. At the end of this period, Momanyi’s account had ksh. 64,200. Determine the rate at which interest is paid per annum.
Date posted:
September 23, 2019
.
Answers (1)
-
Given that sin2x+cos2x=1 solve for X in the equation
Cosx + sinx = 1 for -1800=x=1800
(Solved)
Given that sin2x+cos2x=1 solve for X in the equation
Cosx + sinx = 1 for -1800≤x≤1800
Date posted:
September 23, 2019
.
Answers (1)
-
If X = 33.5 and y = 33.1 both being correct to one decimal place, calculate the maximum possible percentage error in X-y
(Solved)
If X = 33.5 and y = 33.1 both being correct to one decimal place, calculate the maximum possible percentage error in X-y
Date posted:
September 23, 2019
.
Answers (1)
-
The expression px2+12x+4p+9x where p is a constant is a perfect square. Find the value of p.
(Solved)
The expression px2+12x+4p+9x where p is a constant is a perfect square. Find the value of p.
Date posted:
September 23, 2019
.
Answers (1)
-
Use logarithms to 4 decimal places to evaluate:
(Solved)
Use logarithms to 4 decimal places to evaluate:

Date posted:
September 23, 2019
.
Answers (1)
-
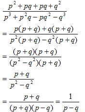
Simplify:
(Solved)
Simplify: 
Date posted:
September 23, 2019
.
Answers (1)
-
Evaluate:
(Solved)
Evaluate: 
Date posted:
September 23, 2019
.
Answers (1)
-
A tailor makes two types of garments A and B. Garment A requires 3m of material while B
requires 2 ½ m of material. The tailor...
(Solved)
A tailor makes two types of garments A and B. Garment A requires 3m of material while B
requires 2 ½ m of material. The tailor uses not more than 600m of material daily in making both garments. The tailor must make not more than 100 garments of type A and not less than 80 of type B each day.
(a) Write down four inequalities from this information.
b) Draw a graph for the inequalities shading the unwanted regions.
c)If the tailor makes a profit of sh.80 on garment A and a profit of sh. 60 on garment B, how many garments must she make in order to maximize her total profit if all the garments are sold at once.
Date posted:
September 23, 2019
.
Answers (1)
-
In a triangle ABC, AB=a ,AC=b, BN= 1/3BC . M is the midpoint of AC. AN and BM intersect at P.
Express in terms...
(Solved)
In a triangle ABC, AB=a ,AC=b, BN= 1/3BC . M is the midpoint of AC. AN and BM intersect at P.
Express in terms of a and b only the vectors;
(i) BC
(ii) AN
(iii) BM
Date posted:
September 23, 2019
.
Answers (1)
-
Use the trapezium rule to establish the area under the curve y= x2 +x -6 over the interval 0= x =8 using 4 trapezia
(Solved)
Use the trapezium rule to establish the area under the curve y= x2 +x -6 over the interval 0≤ x ≤8 using 4 trapezia
Date posted:
September 23, 2019
.
Answers (1)
-
A coffee trader buys two grades of coffee at Sh. 80 and Sh. 100 per packet. Find the ratio at which she should mix them...
(Solved)
A coffee trader buys two grades of coffee at Sh. 80 and Sh. 100 per packet. Find the ratio at which she should mix them so that by selling a packet of the mixture at a Sh. 120 a profit of 25% is realized.
Date posted:
September 23, 2019
.
Answers (1)
-
Simplify the following surds leaving your answer in the form a + b vc
(Solved)
Simplify the following surds leaving your answer in the form a + b √c

Date posted:
September 23, 2019
.
Answers (1)
-
The third and the fifth terms of an arithmetic progression are 10 and -10 respectively.
(a)Determine the first term and the common difference
(b)The sum of the...
(Solved)
The third and the fifth terms of an arithmetic progression are 10 and -10 respectively.
(a)Determine the first term and the common difference
(b)The sum of the first 15 terms.
Date posted:
September 23, 2019
.
Answers (1)
-
Make x the subject of the formula
(Solved)
Make x the subject of the formula

Date posted:
September 23, 2019
.
Answers (1)
-
Simplify the following expression
(Solved)
Simplify 
Date posted:
September 23, 2019
.
Answers (1)
-
In the figure below OA = a and OB =b. M is the midpoint of OA and AN:NB2: 1
(a) Express in terms of a and...
(Solved)
In the figure below OA = a and OB =b. M is the midpoint of OA and AN:NB2: 1

(a) Express in terms of a and b
(i)BA
(iii) BN
Iii ON
(b) Given that BX=hBM and OX=KON determine the values of h and k
Date posted:
September 23, 2019
.
Answers (1)
-
a) Given the transformation matrices and that transformation T1 followed by T2 can be replaced by a single transformation T.
Write down the matrix T
(b)Find...
(Solved)
a) Given the transformation matrices
and that transformation T1 followed by T2 can be replaced by a single transformation T.
Write down the matrix T
(b)Find the inverse of matrix T
(c) The points A’’(7,-11) B’’(-7,-13),C’’(8,8) are the images of points A,B,C and D respectively under transformation T1 followed by T2 write down the coordinate of A,B,C and D
(d) Find the co ordinates of A’B’C’ and D’ the images of A,B,C and D respectively under transformation T2
Date posted:
September 23, 2019
.
Answers (1)
-
The probability of a candidate passing her secondary examination is 4/5. If she passes his examination the probability of her joining the university is 2/3....
(Solved)
The probability of a candidate passing her secondary examination is 4/5. If she passes his examination the probability of her joining the university is 2/3. If she fails her examination, the probability of her joining the university is ¼ . If she joins the university the probability of her getting a job is 6/7 and if she does not join the university the probability of her getting a job is 2/9. find,
(a) The probability that she fails her examination
(b) Find the probability that she got a job after failing her secondary examination
(c) The probability that she joins university
(d) The probability that she did not get a job
Date posted:
September 23, 2019
.
Answers (1)
-
A tank has two inlet taps P and Q and the outer taps R. When empty, the tank can be filled by the tap P...
(Solved)
A tank has two inlet taps P and Q and the outer taps R. When empty, the tank can be filled by the tap P alone in 4 ½ hours or by tap Q alone in 3 hours when full, the tank can emptied in 2 hours by tap R. The tank is initially empty. Find the time taken to fill the tank
(a)(i) If tap R is closed and taps P and Q are opened at the same time
(ii) If all the three taps are opened at the same time
(b) The tank is initially empty and the three taps are opened as follows
P at 8:00am
Q at 8.45am
R at 9.00am
(i) Find the fraction of the tank that would be filled by 9.00am
(ii) Find the time the tank would be fully filled up
Date posted:
September 23, 2019
.
Answers (1)
-
The masses in kilogram of 20 bags of maize were
90 94 96 99 95 102 105 95 96 102 99 105
90 94 99 98 100 96 102 105
Using an assumed mean of 96Kg, calculate the mean mass per bag of the maize
(Solved)
The masses in kilogram of 20 bags of maize were
90 94 96 99 95 102 105 95 96 102 99 105
90 94 99 98 100 96 102 105
Using an assumed mean of 96Kg, calculate the mean mass per bag of the maize
Date posted:
September 23, 2019
.
Answers (1)