-
Simplify the following surds leaving your answer in the form a + b vc
(Solved)
Simplify the following surds leaving your answer in the form a + b √c

Date posted:
September 23, 2019
.
Answers (1)
-
The third and the fifth terms of an arithmetic progression are 10 and -10 respectively.
(a)Determine the first term and the common difference
(b)The sum of the...
(Solved)
The third and the fifth terms of an arithmetic progression are 10 and -10 respectively.
(a)Determine the first term and the common difference
(b)The sum of the first 15 terms.
Date posted:
September 23, 2019
.
Answers (1)
-
Make x the subject of the formula
(Solved)
Make x the subject of the formula

Date posted:
September 23, 2019
.
Answers (1)
-
Simplify the following expression
(Solved)
Simplify 
Date posted:
September 23, 2019
.
Answers (1)
-
In the figure below OA = a and OB =b. M is the midpoint of OA and AN:NB2: 1
(a) Express in terms of a and...
(Solved)
In the figure below OA = a and OB =b. M is the midpoint of OA and AN:NB2: 1

(a) Express in terms of a and b
(i)BA
(iii) BN
Iii ON
(b) Given that BX=hBM and OX=KON determine the values of h and k
Date posted:
September 23, 2019
.
Answers (1)
-
a) Given the transformation matrices and that transformation T1 followed by T2 can be replaced by a single transformation T.
Write down the matrix T
(b)Find...
(Solved)
a) Given the transformation matrices
and that transformation T1 followed by T2 can be replaced by a single transformation T.
Write down the matrix T
(b)Find the inverse of matrix T
(c) The points A’’(7,-11) B’’(-7,-13),C’’(8,8) are the images of points A,B,C and D respectively under transformation T1 followed by T2 write down the coordinate of A,B,C and D
(d) Find the co ordinates of A’B’C’ and D’ the images of A,B,C and D respectively under transformation T2
Date posted:
September 23, 2019
.
Answers (1)
-
The probability of a candidate passing her secondary examination is 4/5. If she passes his examination the probability of her joining the university is 2/3....
(Solved)
The probability of a candidate passing her secondary examination is 4/5. If she passes his examination the probability of her joining the university is 2/3. If she fails her examination, the probability of her joining the university is ¼ . If she joins the university the probability of her getting a job is 6/7 and if she does not join the university the probability of her getting a job is 2/9. find,
(a) The probability that she fails her examination
(b) Find the probability that she got a job after failing her secondary examination
(c) The probability that she joins university
(d) The probability that she did not get a job
Date posted:
September 23, 2019
.
Answers (1)
-
A tank has two inlet taps P and Q and the outer taps R. When empty, the tank can be filled by the tap P...
(Solved)
A tank has two inlet taps P and Q and the outer taps R. When empty, the tank can be filled by the tap P alone in 4 ½ hours or by tap Q alone in 3 hours when full, the tank can emptied in 2 hours by tap R. The tank is initially empty. Find the time taken to fill the tank
(a)(i) If tap R is closed and taps P and Q are opened at the same time
(ii) If all the three taps are opened at the same time
(b) The tank is initially empty and the three taps are opened as follows
P at 8:00am
Q at 8.45am
R at 9.00am
(i) Find the fraction of the tank that would be filled by 9.00am
(ii) Find the time the tank would be fully filled up
Date posted:
September 23, 2019
.
Answers (1)
-
The masses in kilogram of 20 bags of maize were
90 94 96 99 95 102 105 95 96 102 99 105
90 94 99 98 100 96 102 105
Using an assumed mean of 96Kg, calculate the mean mass per bag of the maize
(Solved)
The masses in kilogram of 20 bags of maize were
90 94 96 99 95 102 105 95 96 102 99 105
90 94 99 98 100 96 102 105
Using an assumed mean of 96Kg, calculate the mean mass per bag of the maize
Date posted:
September 23, 2019
.
Answers (1)
-
Calculate the amount obtained if Sh.60,000 is invested for 2 years at the rate of 8% per annum compounded semi-annually
(Solved)
Calculate the amount obtained if Sh.60,000 is invested for 2 years at the rate of 8% per annum compounded semi-annually
Date posted:
September 23, 2019
.
Answers (1)
-
A quantity V is partly constant and partly varies inversely as the square of W. If W=2 when V=14 and W=3 when V=9, write an...
(Solved)
A quantity V is partly constant and partly varies inversely as the square of W. If W=2 when V=14 and W=3 when V=9, write an equation connecting V and W hence find V when W=6
Date posted:
September 23, 2019
.
Answers (1)
-
The points with co-ordinates (6,1) and (-4,9) are the ends of a diameter of a circle centre A
(a) Find the co ordinates of the centre
(b)...
(Solved)
The points with co-ordinates (6,1) and (-4,9) are the ends of a diameter of a circle centre A
(a) Find the co ordinates of the centre
(b) Determine the equation of the circle in the form x2+y2+ax+by=C where a,b and c are constants
Date posted:
September 23, 2019
.
Answers (1)
-
The position vector of A and B are a=4i+4j-k6 and b=10i+4j+12k D is a point on AB such that AD:DB is 2:1. Find the co...
(Solved)
The position vector of A and B are a=4i+4j-k6 and b=10i+4j+12k D is a point on AB such that AD:DB is 2:1. Find the co ordinates of D
Date posted:
September 23, 2019
.
Answers (1)
-
By correcting each number to one significant figure, approximate the value of 578x0.005. Hence calculate the percentage error arising from the approximate
(Solved)
By correcting each number to one significant figure, approximate the value of 578x0.005. Hence calculate the percentage error arising from the approximate
Date posted:
September 23, 2019
.
Answers (1)
-
Simplify
(Solved)
Simplify 
Date posted:
September 23, 2019
.
Answers (1)
-
If (5x + 6y): (2x + 10y) = 22: 10 find x: y.
(Solved)
If (5x + 6y): (2x + 10y) = 22: 10 find x: y.
Date posted:
September 21, 2019
.
Answers (1)
-
The figure below A=62° B = 41° BC=8.4cm and CN is the bisector of ACB
Calculate the length of CN to l decimal place.
(Solved)
The figure below A=62° B = 41° BC=8.4cm and CN is the bisector of ACB

Calculate the length of CN to l decimal place.
Date posted:
September 21, 2019
.
Answers (1)
-
Make n the subject of the formula
(Solved)
Make n the subject of the formula

Date posted:
September 21, 2019
.
Answers (1)
-
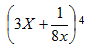
Determine the term independent of x in the expansion of
(Solved)
Determine the term independent of x in the expansion of

Date posted:
September 21, 2019
.
Answers (1)
-
Solve by completing the square method 2x2 - 7x +6=0
(Solved)
Solve by completing the square method 2x2 - 7x +6=0
Date posted:
September 21, 2019
.
Answers (1)