-
Make P the subject of the formula
(Solved)
Make P the subject of the formula 
Date posted:
September 23, 2019
.
Answers (1)
-
The Nyamira Express company runs a fleet of two types of buses operating between
Nairobi and Kisii. Type A bus has a capacity of 52...
(Solved)
The Nyamira Express company runs a fleet of two types of buses operating between
Nairobi and Kisii. Type A bus has a capacity of 52 passengers and 200kg of luggage.
Type B carries 32 passengers and 300kg of luggage. On a certain day, there were 500
passengers with 3500kg of luggage to be transported. The company could only use a
maximum of 15 buses altogether.
a)If the company uses x buses of type A and y buses of type B. Write down all the
inequalities satisfied by the above conditions.
b)Draw the inequalities representing the above information
c)If the cost of running one bus of type A is sh.7200 and that of type B is sh.6000,
find the minimum cost of running the buses.
Date posted:
September 23, 2019
.
Answers (1)
-
A particle moves in a straight line with acceleration (5 – 12t) m/s2, t seconds after the start.
Given that the particle started with a velocity...
(Solved)
A particle moves in a straight line with acceleration (5 – 12t) m/s2, t seconds after the start.
Given that the particle started with a velocity of 3m/s.
a)Find the velocity in terms of t.
b)Determine the velocity after 2 seconds
c)Determine the maximum velocity attained by the particle
d)Calculate the distance covered after one second.
Date posted:
September 23, 2019
.
Answers (1)
-
The figure below shows a cuboid ABCDEFGH. AB = 6cm, BC = 4cm and CG = 8cm.
Given that N is the midpoint of EH.
Calculate...
(Solved)
The figure below shows a cuboid ABCDEFGH. AB = 6cm, BC = 4cm and CG = 8cm.
Given that N is the midpoint of EH.

Calculate the angle between line BN and the base ABCD.
Date posted:
September 23, 2019
.
Answers (1)
-
a)Expand (1 – 2x)10 up to the 4th term.
b)Hence use your expansion in (a) above to evaluate (0.98)10 correct to 4s.f
(Solved)
a)Expand (1 – 2x)10 up to the 4th term.
b)Hence use your expansion in (a) above to evaluate (0.98)10 correct to 4s.f
Date posted:
September 23, 2019
.
Answers (1)
-
The cost C of operating a computer business is partly constant and partly varies as the square of labour input L. If C = 25,000...
(Solved)
The cost C of operating a computer business is partly constant and partly varies as the square of labour input L. If C = 25,000 when L = 20 and C = 45,000 when L = 30. Find C when L = 8.
Date posted:
September 23, 2019
.
Answers (1)
-
Two lines, x + 2y = -1 and 2x + 3y = 3 intersect at a point P. Find the equation of the circle, Centre...
(Solved)
Two lines, x + 2y = -1 and 2x + 3y = 3 intersect at a point P. Find the equation of the circle, Centre P, radius 4 units giving your answer in the form x2 + y2 + ax + by = c, where a, b and c are constants.
Date posted:
September 23, 2019
.
Answers (1)
-
The gradient function of a curve is given as 3x2 – 4x + 1. If the curve passes through the Point (1, -2). Find the...
(Solved)
The gradient function of a curve is given as 3x2 – 4x + 1. If the curve passes through the Point (1, -2). Find the equation of the curve.
Date posted:
September 23, 2019
.
Answers (1)
-
Make S the subject of the formula
(Solved)
Make S the subject of the formula

Date posted:
September 23, 2019
.
Answers (1)
-
Using the mid-ordinate rule with four strips, estimate the area under the curve from x = 0 to x = 4.
(Solved)
Using the mid-ordinate rule with four strips, estimate the area under the curve
from x = 0 to x = 4.
Date posted:
September 23, 2019
.
Answers (1)
-
Some Form Four students went for a contest and scored the following marks, marked out of 10 marks: 6, 5, 2, 7, 3, 9, 8...
(Solved)
Some Form Four students went for a contest and scored the following marks, marked out of 10 marks: 6, 5, 2, 7, 3, 9, 8 and 8. Calculate the standard deviation.
Date posted:
September 23, 2019
.
Answers (1)
-
Using a ruler and a pair of compasses only, construct triangle PQR such that PQ=5cm,QR=4cm and angle PQR=1200. Measure PR. On the diagram, construct a...
(Solved)
Using a ruler and a pair of compasses only, construct triangle PQR such that PQ=5cm,QR=4cm and angle PQR=1200. Measure PR. On the diagram, construct a circle centre O which passes through the vertices of the triangle PQR. Measure the radius of the circle. Measure the shortest distance from the centre of the circle to the lines PQ and QR.
Date posted:
September 23, 2019
.
Answers (1)
-
A student throws a regular tetrahedron and a die he recorded the outcome when they settled.
a) Write down the probability sample space for all...
(Solved)
A student throws a regular tetrahedron and a die he recorded the outcome when they settled.
a) Write down the probability sample space for all possible outcomes.
b) Find the probability that the numbers appearing on the die and the tetrahedron have a product of 4 or 12.
c) Find the probability that the sum of the numbers on top is 5 or more than 5.
d) Find the probability that both numbers are odd.
Date posted:
September 23, 2019
.
Answers (1)
-
Mr. Wangila is a salaried civil servant. He earns a basic monthly salary of sh. 20,640, a house allowance of sh. 6,800p.m and medical allowance...
(Solved)
Mr. Wangila is a salaried civil servant. He earns a basic monthly salary of sh. 20,640, a house allowance of sh. 6,800p.m and medical allowance of sh. 2800p.m. He claims a family relief of sh. 400p.m. He pays sh. 300 per month and 2% of his salary towards water bills and NHIF respectively.
Calculate his net monthly salary in Ksh using the tax rates shown in the table below.

Date posted:
September 23, 2019
.
Answers (1)
-
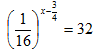
Solve for x in the equation
(Solved)
Solve for x in the equation

Date posted:
September 23, 2019
.
Answers (1)
-
Use logarithms tables to evaluate
(Solved)
Use logarithms tables to evaluate

Date posted:
September 23, 2019
.
Answers (1)
-
In the figure below, PQ//SR,SPO=SOR = 900, RS =7cm and QR = 4cm. Calculate the length of PQ correct to three significant figures.
(Solved)
In the figure below, PQ//SR,SPO=SOR = 900, RS =7cm and QR = 4cm. Calculate the length of PQ correct to three significant figures.

Date posted:
September 23, 2019
.
Answers (1)
-
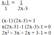
Solve for x given that:
(Solved)
Solve for x given that: 
Date posted:
September 23, 2019
.
Answers (1)
-
If Z varies jointly as x2 and the square root of y and z = 18¾ when x = 5 and y = 9.Find...
(Solved)
If Z varies jointly as x2 and the square root of y and z = 18¾ when x = 5 and y = 9.Find z when x = 3 and y=16
Date posted:
September 23, 2019
.
Answers (1)
-
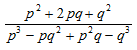
Simplify:
(Solved)
Simplify: 
Date posted:
September 23, 2019
.
Answers (1)