-
Calculate the standard deviation (S.D) for the set of numbers given:
4, 6, 12,3,9,8.
(Solved)
Calculate the standard deviation (S.D) for the set of numbers given:
4, 6, 12,3,9,8.
Date posted:
September 23, 2019
.
Answers (1)
-
Find the compound interest on Ksh. 21,000 in 3 years at a Rate of 20% P.a. Compounded semi annually.
(Solved)
Find the compound interest on Ksh. 21,000 in 3 years at a Rate of 20% P.a. Compounded semi annually.
Date posted:
September 23, 2019
.
Answers (1)
-
An aeroplane flies 125km in the direction 1100. It then changes course and flies for 170km in the direction of 1600. Find by calculation its...
(Solved)
An aeroplane flies 125km in the direction 1100. It then changes course and flies for 170km in the direction of 1600. Find by calculation its distance from the starting point.
Date posted:
September 23, 2019
.
Answers (1)
-
Find the sum of the first 10 terms of the series: Log x + log x2 + log x3……………
(Solved)
Find the sum of the first 10 terms of the series: Log x + log x2 + log x3……………
Date posted:
September 23, 2019
.
Answers (1)
-
The figure below is a segment of a circle cut-off by chord AB. Line MX is perpendicular Bisector of chord AB.
If AB is 20cm ad...
(Solved)
The figure below is a segment of a circle cut-off by chord AB. Line MX is perpendicular Bisector of chord AB.

If AB is 20cm ad MX is 6cm. Calculate the radius of the circle from which the chord was cut.
Date posted:
September 23, 2019
.
Answers (1)
-
Solve the simultaneous equations:
(Solved)
Solve the simultaneous equations:

Date posted:
September 23, 2019
.
Answers (1)
-
A rectangle has a length of 14.6cm and a width of 6.70 cm. Find the percentage Error in calculating the area of the rectangle.
(Solved)
A rectangle has a length of 14.6cm and a width of 6.70 cm. Find the percentage Error in calculating the area of the rectangle.
Date posted:
September 23, 2019
.
Answers (1)
-
Use Logarithm tables to evaluate
(Solved)
Use Logarithm tables to evaluate

Date posted:
September 23, 2019
.
Answers (1)
-
Using logarithms, evaluate
(Solved)
Using logarithms, evaluate

Date posted:
September 23, 2019
.
Answers (1)
-
Make x the subject of the formula:
(Solved)
Make x the subject of the formula:

Date posted:
September 23, 2019
.
Answers (1)
-
Solve the equation
(Solved)
Solve the equation 
Date posted:
September 23, 2019
.
Answers (1)
-
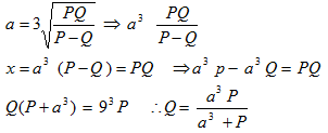
Make P the subject of the formula
(Solved)
Make P the subject of the formula 
Date posted:
September 23, 2019
.
Answers (1)
-
The Nyamira Express company runs a fleet of two types of buses operating between
Nairobi and Kisii. Type A bus has a capacity of 52...
(Solved)
The Nyamira Express company runs a fleet of two types of buses operating between
Nairobi and Kisii. Type A bus has a capacity of 52 passengers and 200kg of luggage.
Type B carries 32 passengers and 300kg of luggage. On a certain day, there were 500
passengers with 3500kg of luggage to be transported. The company could only use a
maximum of 15 buses altogether.
a)If the company uses x buses of type A and y buses of type B. Write down all the
inequalities satisfied by the above conditions.
b)Draw the inequalities representing the above information
c)If the cost of running one bus of type A is sh.7200 and that of type B is sh.6000,
find the minimum cost of running the buses.
Date posted:
September 23, 2019
.
Answers (1)
-
A particle moves in a straight line with acceleration (5 – 12t) m/s2, t seconds after the start.
Given that the particle started with a velocity...
(Solved)
A particle moves in a straight line with acceleration (5 – 12t) m/s2, t seconds after the start.
Given that the particle started with a velocity of 3m/s.
a)Find the velocity in terms of t.
b)Determine the velocity after 2 seconds
c)Determine the maximum velocity attained by the particle
d)Calculate the distance covered after one second.
Date posted:
September 23, 2019
.
Answers (1)
-
The figure below shows a cuboid ABCDEFGH. AB = 6cm, BC = 4cm and CG = 8cm.
Given that N is the midpoint of EH.
Calculate...
(Solved)
The figure below shows a cuboid ABCDEFGH. AB = 6cm, BC = 4cm and CG = 8cm.
Given that N is the midpoint of EH.

Calculate the angle between line BN and the base ABCD.
Date posted:
September 23, 2019
.
Answers (1)
-
a)Expand (1 – 2x)10 up to the 4th term.
b)Hence use your expansion in (a) above to evaluate (0.98)10 correct to 4s.f
(Solved)
a)Expand (1 – 2x)10 up to the 4th term.
b)Hence use your expansion in (a) above to evaluate (0.98)10 correct to 4s.f
Date posted:
September 23, 2019
.
Answers (1)
-
The cost C of operating a computer business is partly constant and partly varies as the square of labour input L. If C = 25,000...
(Solved)
The cost C of operating a computer business is partly constant and partly varies as the square of labour input L. If C = 25,000 when L = 20 and C = 45,000 when L = 30. Find C when L = 8.
Date posted:
September 23, 2019
.
Answers (1)
-
Two lines, x + 2y = -1 and 2x + 3y = 3 intersect at a point P. Find the equation of the circle, Centre...
(Solved)
Two lines, x + 2y = -1 and 2x + 3y = 3 intersect at a point P. Find the equation of the circle, Centre P, radius 4 units giving your answer in the form x2 + y2 + ax + by = c, where a, b and c are constants.
Date posted:
September 23, 2019
.
Answers (1)
-
The gradient function of a curve is given as 3x2 – 4x + 1. If the curve passes through the Point (1, -2). Find the...
(Solved)
The gradient function of a curve is given as 3x2 – 4x + 1. If the curve passes through the Point (1, -2). Find the equation of the curve.
Date posted:
September 23, 2019
.
Answers (1)
-
Make S the subject of the formula
(Solved)
Make S the subject of the formula

Date posted:
September 23, 2019
.
Answers (1)