-
A rectangular plot measures 31.4m by 28.3m. What is the percentage error in getting it’s area.
(Solved)
A rectangular plot measures 31.4m by 28.3m. What is the percentage error in getting it’s area.
Date posted:
September 25, 2019
.
Answers (1)
-
Evaluate using logarithms.
(Solved)
Evaluate using logarithms.

Date posted:
September 25, 2019
.
Answers (1)
-
In a mathematics test, the probability of 3 students, Kamau, Otieno and Mwala passing are ?, ¾ and ? respectively
(a)Draw a tree diagram to represent...
(Solved)
In a mathematics test, the probability of 3 students, Kamau, Otieno and Mwala passing are ⅔, ¾ and ⅚ respectively
(a)Draw a tree diagram to represent this information
(b)Use the tree diagram to find the probability that:
(i)All the three students will fail
(ii)At least two students will pass.
(iii)Only one student will pass
Date posted:
September 24, 2019
.
Answers (1)
-
The table below shows the income tax rates in Kenya.
Income in K£ per month Rate in Ksh / K£
1 - 325 ...
(Solved)
The table below shows the income tax rates in Kenya.
Income in K£ per month Rate in Ksh / K£
1 - 325 2
326 - 975 3
976 - 1300 5
1301 - 1625 6
Over 1625 7.5
(a)Mr. Sigei is a public servant who lives in a government house and pays a nominal rent of Ksh. 1220 per month. He earns a basic salary of Ksh. 24,800 and taxable allowances of Ksh. 13,380 per month. He is entitled to a monthly tax relief of Ksh. 1120. Calculate his monthly
i)Taxable income in K£.
ii)Gross tax.
iii)Tax due
(b)Apart from income tax, the following monthly deductions are made from his salary.
i) HELB loan repayment Ksh. 2400
ii) NHIF Ksh 320
iii) 2% basic salary as union dues.
Calculate Mr. Sigei’s monthly net salary.
Date posted:
September 24, 2019
.
Answers (1)
-
Without using logarithm table or calculators, find the value of p in the equation.
logn3+log4n = 10log2 - log(2/8)
(Solved)
Without using logarithm table or calculators, find the value of p in the equation.
logn3+log4n = 10log2 - log(2/8)
Date posted:
September 24, 2019
.
Answers (1)
-
A farmer bought a machine at a current price of Ksh 224,000. If the depreciation rate is 5% in every 3 months. Calculate the sum...
(Solved)
A farmer bought a machine at a current price of Ksh 224,000. If the depreciation rate is 5% in every 3 months. Calculate the sum of its value in 3 years ago and 3 years’ time.
Date posted:
September 24, 2019
.
Answers (1)
-
Rationalize the denominator leaving your answer in the form a+bvc where a, b and c are constants
(Solved)
Rationalize the denominator leaving your answer in the form a+b√c where a, b and c are constants

Date posted:
September 24, 2019
.
Answers (1)
-
Solve for q in the equation Sin (3? + 1200) = v3/2 in the range 0= ? = 1800
(Solved)
Solve for q in the equation Sin (3θ + 1200) = √3/2 in the range 0≤ θ ≤ 1800
Date posted:
September 24, 2019
.
Answers (1)
-
Expand (0.07)5 using binomial theorem giving your answer to four significant figures
(Solved)
Expand (0.07)5 using binomial theorem giving your answer to four significant figures
Date posted:
September 24, 2019
.
Answers (1)
-
The middle digit of a number between 100 and 1000 is zero, and the sum of the other digits is 11. If the digits are...
(Solved)
The middle digit of a number between 100 and 1000 is zero, and the sum of the other digits is 11. If the digits are reversed the number so formed exceeds the original by 495. Find the number.
Date posted:
September 24, 2019
.
Answers (1)
-
Use logarithm tables to evaluate
(Solved)
Use logarithm tables to evaluate 
Date posted:
September 24, 2019
.
Answers (1)
-
Triangle ABC is such that A(-5, 1), B(-1, 1) and C(-3, 4). Triangle A'B'C'.is the image of ?ABC under transformation
a)Determine the co-ordinates of ?A'B'C'.
b)On...
(Solved)
Triangle ABC is such that A(-5, 1), B(-1, 1) and C(-3, 4). Triangle A′B′C′.is the image of ∆ABC under transformation 
a)Determine the co-ordinates of ∆A′B′C′.
b)On the grid provided draw ∆ABC and ∆A′B′C′.
c)Describe the transformation T fully.
d)∆A′′B′′C′′ is a reflection of the ∆A′B′C′ on the line y = -x. Construct∆A′′B′′C′′.
e)Determine a single matrix that maps ∆A′′B′′C′′ onto ∆ABC.
Date posted:
September 24, 2019
.
Answers (1)
-
The figure shows a right pyramid mounted onto a rectangular block. The length AB=8cm, BC = 6cm, CH = 3cm and VC = 15cm
Given that...
(Solved)
The figure shows a right pyramid mounted onto a rectangular block. The length AB=8cm, BC = 6cm, CH = 3cm and VC = 15cm

Given that M is the centre of the plane ABCD and P is a point on MV such that MP =1/5 MV, Calculate:-
(a)The length of EG.
(b)The height MV of the pyramidal section to 2 decimal places.
(c)The angle between the plane BPC and the pyramidal base ABCD.
(d)The angle between the line GV and the plane EFGH.
(e)The volume of the solid to four significant figures.
Date posted:
September 24, 2019
.
Answers (1)
-
Using a ruler and a pair of compass only;
a)Construct a triangle PQR such that PR=7.5cm, PQ=3.0cm and
(Solved)
Using a ruler and a pair of compass only;
a)Construct a triangle PQR such that PR=7.5cm, PQ=3.0cm and b)Construct the locus T of points which are equidistant from a point L and passes through the vertices P, Q and R.
c)Locate the locus S on T such that it is equidistant from sides PQ and QR of the triangle.
d)Locate the locus of points G enclosed by PQ and QS such that QG <2cm
e)Measure SL.
Date posted:
September 24, 2019
.
Answers (1)
-
OPQ is a triangle in which OP=p and OQ=q. X is a point on OP such that OP: XP = 5: 2 and Y is...
(Solved)
OPQ is a triangle in which OP=p and OQ=q. X is a point on OP such that OP: XP = 5: 2 and Y is another point on PQ such that PY: YQ = 1: 2. Lines OY and XQ intersect at T.
a) Express the following vectors in terms of p and q
(i)PQ
(ii)OY
(iii)QX
(b)If OT = k OY and QT = h QX express OT in two different ways. Hence or otherwise find the values of h and k.
(c) Determine the ratio OT: TY.
Date posted:
September 24, 2019
.
Answers (1)
-
(a) Complete the table given below by filling the blank spaces.
(b) On the grid provided draw on the same axes, the graph of y=4cos2x and...
(Solved)
(a) Complete the table given below by filling the blank spaces.

(b) On the grid provided draw on the same axes, the graph of y=4cos2x and y=2sin(2x+300 for 00≤ x ≤ 1800
(c) From your graph
(i) State the amplitude of y=4cos2x
(ii) Find the period of y=2sin(2x+300
(d) Use your graph to solve 4cos2x-2sin(2x+300)0
Date posted:
September 24, 2019
.
Answers (1)
-
The table below shows the distribution of ages in years of 50 adults who attended a clinic
(a)State the median class
(b)Using a working mean of 45.5,...
(Solved)
The table below shows the distribution of ages in years of 50 adults who attended a clinic

(a)State the median class
(b)Using a working mean of 45.5, calculate:-
(i)The mean age
(ii)The standard deviation
(iii)Calculate the 6thdecile.
Date posted:
September 24, 2019
.
Answers (1)
-
The average of the first and fourth terms of a GP is 185. Given that the first term is 27, find the common ratio.
(Solved)
The average of the first and fourth terms of a GP is 185. Given that the first term is 27, find the common ratio.
Date posted:
September 24, 2019
.
Answers (1)
-
Solve for x in log(2x + 4) - log(x-1) = 3log 2.
(Solved)
Solve for x in log(2x + 4) - log(x-1) = 3log 2.
Date posted:
September 24, 2019
.
Answers (1)
-
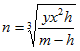
Make h the subject of the formula
(Solved)
Make h the subject of the formula 
Date posted:
September 24, 2019
.
Answers (1)