-
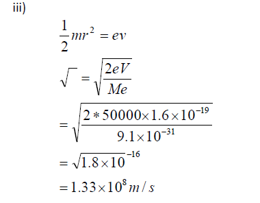
Calculate the maximum velocity of electrons that would produce x-rays of frequency 8.0x108HZ if only 20% of kinetic energy is converted to x – rays.(Take...
(Solved)
Calculate the maximum velocity of electrons that would produce x-rays of frequency 8.0x108HZ if only 20% of kinetic energy is converted to x – rays.(Take planks constant = 6.63 x 10-34 JS and mass of electron = 9.1 x 10-31 kg).
Date posted:
September 26, 2019
.
Answers (1)
-
The diagram below shows a glass prism and incident ray striking the surface XY.
(Solved)
The diagram below shows a glass prism and incident ray striking the surface XY.

i) Indicate on the diagram the path of the emergent ray.
ii) Calculate the refractive index of the glass prism given that the critical angle of glass is 420
Date posted:
September 26, 2019
.
Answers (1)
-
Give a reason why it is not advisable to take shelter under a tree especially when it is raining.
(Solved)
Give a reason why it is not advisable to take shelter under a tree especially when it is raining.
Date posted:
September 26, 2019
.
Answers (1)
-
Give a reason why a candle flame is blown away when a highly charged rod is brought close to it.
(Solved)
Give a reason why a candle flame is blown away when a highly charged rod is brought close to it.
Date posted:
September 26, 2019
.
Answers (1)
-
In the circuit diagram in figure below, the voltmeter reads 4 volts.
(Solved)
In the circuit diagram in figure below, the voltmeter reads 4 volts.

Determine the ammeter reading.
Date posted:
September 26, 2019
.
Answers (1)
-
The figure below shows an object O placed in front of a plane mirror.
(Solved)
The figure below shows an object O placed in front of a plane mirror.

Use a ray diagram to locate the position of the image.
Date posted:
September 26, 2019
.
Answers (1)
-
An automobile of mass 500 kilograms is accelerated from rest a long a horizontal surface. The force produced by the engine is 300N and that...
(Solved)
An automobile of mass 500 kilograms is accelerated from rest a long a horizontal surface. The force produced by the engine is 300N and that due to friction is 50N.What is the accelerating force and what is the acceleration produced.
Date posted:
September 26, 2019
.
Answers (1)
-
An object which is moving over a horizontal surface does not continue its motion with a constant acceleration when the acceleration force is discontinued. The...
(Solved)
An object which is moving over a horizontal surface does not continue its motion with a constant acceleration when the acceleration force is discontinued. The motion decreases to zero finally. Explain what is responsible for this observation.
Date posted:
September 26, 2019
.
Answers (1)
-
Explain what is meant by a uniform beam in equilibrium.
(Solved)
Explain what is meant by a uniform beam in equilibrium.
Date posted:
September 26, 2019
.
Answers (1)
-
Using the model below show all the forces that are acting on the metal ball bearing as it moves through the water (indicate with arrows).
(Solved)
Using the model below show all the forces that are acting on the metal ball bearing as it moves through the water (indicate with arrows).

Date posted:
September 26, 2019
.
Answers (1)
-
Curtains on the doors and windows are seen to bulge or hang outwards when there is a wind blowing across them. Explain this phenomenon.
(Solved)
Curtains on the doors and windows are seen to bulge or hang outwards when there is a wind blowing across them. Explain this phenomenon.
Date posted:
September 26, 2019
.
Answers (1)
-
Three identical spring balances of spring constant 40N/M and weight 0.5N are used to support a load as shown. Determine the total extension of the...
(Solved)
Three identical spring balances of spring constant 40N/M and weight 0.5N are used to support a load as shown. Determine the total extension of the system.

Date posted:
September 26, 2019
.
Answers (1)
-
A drop of oil has a volume of 3.0 x 10-6m3 and spreads to form a patch of radius 16cm on the surface of water. Determine the...
(Solved)
A drop of oil has a volume of 3.0 x 10-6m3 and spreads to form a patch of radius 16cm on the surface of water. Determine the thickness of the oil patch.
Date posted:
September 26, 2019
.
Answers (1)
-
The figure below shows a homogenious wooden sphere with a nail driven or hammered into it at a point x as shown below.
(Solved)
The figure below shows a homogenious wooden sphere with a nail driven or hammered into it at a point x as shown below.

The sphere is allowed to roll after a little push on it. On what position will it settle along the plane PQ.Give a reason for your answer.
Date posted:
September 26, 2019
.
Answers (1)
-
Explain why a dead dog thrown next to school smells so much during the day than during cold morning.
(Solved)
Explain why a dead dog thrown next to school smells so much during the day than during cold morning.
Date posted:
September 26, 2019
.
Answers (1)
-
The diagram below show a battery of e.m.f 12V and an internal resistance of 0.17O connected to a combination of resistors.
(Solved)
The diagram below show a battery of e.m.f 12V and an internal resistance of 0.17Ω connected to a combination of resistors.

Calculate
i). The current through the 3.0Ω resistor.
ii). The potential difference across the parallel connection.
iii). The current through the 4Ω resistor.
Date posted:
September 26, 2019
.
Answers (1)
-
A 10µF capacitor is charged by a 100 V supply and then connected a cross an uncharged 20µF capacitor. Calculate the final p.d on each...
(Solved)
A 10μF capacitor is charged by a 100 V supply and then connected a cross an uncharged 20μF capacitor. Calculate the final p.d on each capacitor.
Date posted:
September 26, 2019
.
Answers (1)
-
Two similar razor blades are placed one on a wooden block and the other on a soft iron block as shown in the figure below
(Solved)
Two similar razor blades are placed one on a wooden block and the other on a soft iron block as shown in the figure below

It was observed that the razor blade on the wooden block was attracted to the magnet while the other on the soft iron block was not. Explain.
Date posted:
September 26, 2019
.
Answers (1)
-
A radio signal of 30MHz is received by an aerial whose length is 0.125 of its wavelength. If the speed of light is 3.0x108 m/s...
(Solved)
A radio signal of 30MHz is received by an aerial whose length is 0.125 of its wavelength. If the speed of light is 3.0x108 m/s determine the length of the aerial.
Date posted:
September 26, 2019
.
Answers (1)
-
The figure below shows a thin wire connected to a charge generator and placed close to a candle flame.
(Solved)
The figure below shows a thin wire connected to a charge generator and placed close to a candle flame.

Explain why the candle flame is deflected as shown.
Date posted:
September 26, 2019
.
Answers (1)