-
A cow is 4 years 8 months older than a heifer. The product of their ages is 8 years. Determine the age
of the cow and...
(Solved)
A cow is 4 years 8 months older than a heifer. The product of their ages is 8 years. Determine the age
of the cow and that of the heifer.
Date posted:
September 30, 2019
.
Answers (1)
-
Simplify
(Solved)
Simplify 
Date posted:
September 30, 2019
.
Answers (1)
-
A bicycle can be bought for sh. 3500 cash or by paying 10 monthly installments of sh. 490 each.
Calculate the rate of interest per annum...
(Solved)
A bicycle can be bought for sh. 3500 cash or by paying 10 monthly installments of sh. 490 each.
Calculate the rate of interest per annum if its bought on hire purchase.
Date posted:
September 30, 2019
.
Answers (1)
-
A varies directly as B and inversely as the square root of C. Find the percentage change in A if B isincreased by 12% and...
(Solved)
A varies directly as B and inversely as the square root of C. Find the percentage change in A if B is increased by 12% and C is reduced by 36%.
Date posted:
September 30, 2019
.
Answers (1)
-
Simplify
(Solved)
Simplify

Date posted:
September 30, 2019
.
Answers (1)
-
Use reciprocal tables to find the reciprocal of 0.216 to 3 d.p hence evaluate.
(Solved)
Use reciprocal tables to find the reciprocal of 0.216 to 3 d.p hence evaluate.

Date posted:
September 30, 2019
.
Answers (1)
-
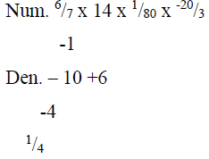
Evaluate without using tables or calculators.
(Solved)
Evaluate without using tables or calculators.

Date posted:
September 30, 2019
.
Answers (1)
-
Wanjau started a business with sh. 60,000 as at 1st Jan 2010. During the year profits and additional investments were sh. 50,000 and 60,000...
(Solved)
Wanjau started a business with sh. 60,000 as at 1st Jan 2010. During the year profits and additional investments were sh. 50,000 and 60,000 respectively. At the end of the year Wanjau remembered that she had taken goods for her personal use and that as at 31st Dec.2010 her capital was sh. 19,500.
Determine the value of goods that Wanjau had taken for her personal use.
Date posted:
September 25, 2019
.
Answers (1)
-
In a school trip there were x buses and y luxury vans. Each bus was hired at
Ksh.1000 and could carry 60 students. ...
(Solved)
In a school trip there were x buses and y luxury vans. Each bus was hired at
Ksh.1000 and could carry 60 students. Each van was hired at Ksh.2000 and could
carry 30 students.
(a)Express the following statements as inequalities in x and y.
(i)There must be some van or vans.
(ii)There should at least 3 buses.
(iii)The school should be not spend more than Ksh.18000 on the trip.
(iv)Not more than 420 students are to go on the trip.
(b)Illustrate inequalities graphically.
(c)Use your graph to determine the maximum number of students that can go on the trip and corresponding expenditure.
Date posted:
September 25, 2019
.
Answers (1)
-
(a)Draw the graph of the function. y=6x + x2 -x3 for -3 = x = 4
(b)By drawing a suitable straight line(s) on the graph in...
(Solved)
(a)Draw the graph of the function. y=6x + x2 -x3 for -3 ≤ x ≤ 4
(b)By drawing a suitable straight line(s) on the graph in (a) above estimate the roots of the following equations.
(i) 6x + x2 - x3 = 0
(ii) 2x + x2 - x3 = 0
Date posted:
September 25, 2019
.
Answers (1)
-
The table below shows the marks scored by students in a Mathematics test.
(a)Calculate the median mark.
(b)Using an assumed mean of 52, calculate the mean mark.
(c)On...
(Solved)
The table below shows the marks scored by students in a Mathematics test.

(a)Calculate the median mark.
(b)Using an assumed mean of 52, calculate the mean mark.
(c)On the grid provided, draw a histogram to represent the information shown above.
Date posted:
September 25, 2019
.
Answers (1)
-
The table below shows tax rates in the year 2012.
(a)Mrs. Mwangi pays Ksh.5400 as PAYE. She is entitled to a house allowance of Ksh.9000p.m...
(Solved)
The table below shows tax rates in the year 2012.

(a)Mrs. Mwangi pays Ksh.5400 as PAYE. She is entitled to a house allowance of Ksh.9000p.m and claims a monthly tax relief of Ksh.1093. Calculate;
(i)Her gross tax per annum.
(ii)Her monthly basic salary in Ksh.
(b)She also has monthly contributions as follows:
(i)Cooperative society contribution of Ksh.2000.
(ii)Loan repayment of Ksh.2500.
Calculate her net monthly salary.
Date posted:
September 25, 2019
.
Answers (1)
-
The figure below shows a circle centre O, AB is a diameter. Chords ED and BH are equal NHJ, FET, STD are tangents to...
(Solved)
The figure below shows a circle centre O, AB is a diameter. Chords ED and BH are equal NHJ, FET, STD are tangents to the circle angle ECD = 20º and AHE = 30º. The figure is not drawn to scale.

Determine angles.
(i)EHB.
(ii)ETS
(iii)HGB
(iv)EHJ
(v)AOE.
Date posted:
September 25, 2019
.
Answers (1)
-
(a)A die and a coin (both fair) are thrown on a horizontal floor.
(i)List all the possible outcomes.
(ii)Find the probability of getting even number on the...
(Solved)
(a)A die and a coin (both fair) are thrown on a horizontal floor.
(i)List all the possible outcomes.
(ii)Find the probability of getting even number on the die and a tail on
the coin or an odd number on the die and a head on the coin.
(iii)Find the probability of getting a number greater than or equal to 3 on
the die and a head on the coin.
(b)The probability that a student gets grade A in Mathematics is 9/10. If she gets grade A in Mathematics then the probability that she gets grade A in Physics is 4/5. If she does not get grade A in Mathematics then the probability that she gets grade A in Physics is 3/8. Calculate the probability that she gets grade A in Physics only.
Date posted:
September 25, 2019
.
Answers (1)
-
In the figure below ABCD is a trapezium with DC parallel to AB. DC = 10cm, BC = 8cm, DB = 16cm and AB...
(Solved)
In the figure below ABCD is a trapezium with DC parallel to AB. DC = 10cm, BC = 8cm, DB = 16cm and AB = 20cm.

(a)Calculate the sine of angle BDC.
(b)Hence calculate the area of ABD.
Date posted:
September 25, 2019
.
Answers (1)
-
Evaluate:
(Solved)
Evaluate: 
Date posted:
September 25, 2019
.
Answers (1)
-
Simplify:
(Solved)
Simplify: 
Date posted:
September 25, 2019
.
Answers (1)
-
x and Y are complementary angles and Tanx=3v3 . Find the value of hence rationalize the surd.
(Solved)
x and Y are complementary angles and Tanx=3√3 . Find the value of
hence rationalize the surd.
Date posted:
September 25, 2019
.
Answers (1)
-
A point R divides vector PQ in the ratio 5: -2. Find the coordinates of R given that P (3, -6) and Q (-9,...
(Solved)
A point R divides vector PQ in the ratio 5: -2. Find the coordinates of R given that P (3, -6) and Q (-9, 2).
Date posted:
September 25, 2019
.
Answers (1)
-
A shopkeeper mixes sugar costing Sh.40 per kg with another type which costs Sh.60 per kg. Find the ratio in which the two types...
(Solved)
A shopkeeper mixes sugar costing Sh.40 per kg with another type which costs Sh.60 per kg. Find the ratio in which the two types should be mixed so that if a kilogram of the mixture is sold at Sh.55, a profit of 10% is realised.
Date posted:
September 25, 2019
.
Answers (1)