-
x and Y are complementary angles and Tanx=3v3 . Find the value of hence rationalize the surd.
(Solved)
x and Y are complementary angles and Tanx=3√3 . Find the value of
hence rationalize the surd.
Date posted:
September 25, 2019
.
Answers (1)
-
A point R divides vector PQ in the ratio 5: -2. Find the coordinates of R given that P (3, -6) and Q (-9,...
(Solved)
A point R divides vector PQ in the ratio 5: -2. Find the coordinates of R given that P (3, -6) and Q (-9, 2).
Date posted:
September 25, 2019
.
Answers (1)
-
A shopkeeper mixes sugar costing Sh.40 per kg with another type which costs Sh.60 per kg. Find the ratio in which the two types...
(Solved)
A shopkeeper mixes sugar costing Sh.40 per kg with another type which costs Sh.60 per kg. Find the ratio in which the two types should be mixed so that if a kilogram of the mixture is sold at Sh.55, a profit of 10% is realised.
Date posted:
September 25, 2019
.
Answers (1)
-
Find the inverse of the matrix hence use the matrix method to solve the simultaneous equations.
2x -2y =6
3x + y = 5
(Solved)
Find the inverse of the matrix
hence use the matrix method to solve the simultaneous equations.
2x -2y =6
3x + y = 5
Date posted:
September 25, 2019
.
Answers (1)
-
Solve the simultaneous equation.
log3(2x+y) = 2
log2(3x+4y) = 4
(Solved)
Solve the simultaneous equation.
log3(2x+y) = 2
log2(3x+4y) = 4
Date posted:
September 25, 2019
.
Answers (1)
-
y varies inversely as the square of x. The difference between the value of y when x = 6 and when x = 10...
(Solved)
y varies inversely as the square of x. The difference between the value of y when x = 6 and when x = 10 is 16. Find the law connecting x and y.
Date posted:
September 25, 2019
.
Answers (1)
-
Solve the equation.
(Solved)
Solve the equation.
sin(2x-300)=1/2 for 00 ≤ x ≤ 3600
Date posted:
September 25, 2019
.
Answers (1)
-
Make M the subject in
(Solved)
Make M the subject in 
Date posted:
September 25, 2019
.
Answers (1)
-
A rectangular plot measures 31.4m by 28.3m. What is the percentage error in getting it’s area.
(Solved)
A rectangular plot measures 31.4m by 28.3m. What is the percentage error in getting it’s area.
Date posted:
September 25, 2019
.
Answers (1)
-
Evaluate using logarithms.
(Solved)
Evaluate using logarithms.

Date posted:
September 25, 2019
.
Answers (1)
-
In a mathematics test, the probability of 3 students, Kamau, Otieno and Mwala passing are ?, ¾ and ? respectively
(a)Draw a tree diagram to represent...
(Solved)
In a mathematics test, the probability of 3 students, Kamau, Otieno and Mwala passing are ⅔, ¾ and ⅚ respectively
(a)Draw a tree diagram to represent this information
(b)Use the tree diagram to find the probability that:
(i)All the three students will fail
(ii)At least two students will pass.
(iii)Only one student will pass
Date posted:
September 24, 2019
.
Answers (1)
-
The table below shows the income tax rates in Kenya.
Income in K£ per month Rate in Ksh / K£
1 - 325 ...
(Solved)
The table below shows the income tax rates in Kenya.
Income in K£ per month Rate in Ksh / K£
1 - 325 2
326 - 975 3
976 - 1300 5
1301 - 1625 6
Over 1625 7.5
(a)Mr. Sigei is a public servant who lives in a government house and pays a nominal rent of Ksh. 1220 per month. He earns a basic salary of Ksh. 24,800 and taxable allowances of Ksh. 13,380 per month. He is entitled to a monthly tax relief of Ksh. 1120. Calculate his monthly
i)Taxable income in K£.
ii)Gross tax.
iii)Tax due
(b)Apart from income tax, the following monthly deductions are made from his salary.
i) HELB loan repayment Ksh. 2400
ii) NHIF Ksh 320
iii) 2% basic salary as union dues.
Calculate Mr. Sigei’s monthly net salary.
Date posted:
September 24, 2019
.
Answers (1)
-
Without using logarithm table or calculators, find the value of p in the equation.
logn3+log4n = 10log2 - log(2/8)
(Solved)
Without using logarithm table or calculators, find the value of p in the equation.
logn3+log4n = 10log2 - log(2/8)
Date posted:
September 24, 2019
.
Answers (1)
-
A farmer bought a machine at a current price of Ksh 224,000. If the depreciation rate is 5% in every 3 months. Calculate the sum...
(Solved)
A farmer bought a machine at a current price of Ksh 224,000. If the depreciation rate is 5% in every 3 months. Calculate the sum of its value in 3 years ago and 3 years’ time.
Date posted:
September 24, 2019
.
Answers (1)
-
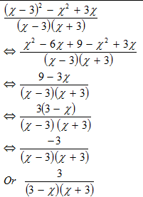
Rationalize the denominator leaving your answer in the form a+bvc where a, b and c are constants
(Solved)
Rationalize the denominator leaving your answer in the form a+b√c where a, b and c are constants

Date posted:
September 24, 2019
.
Answers (1)
-
Solve for q in the equation Sin (3? + 1200) = v3/2 in the range 0= ? = 1800
(Solved)
Solve for q in the equation Sin (3θ + 1200) = √3/2 in the range 0≤ θ ≤ 1800
Date posted:
September 24, 2019
.
Answers (1)
-
Expand (0.07)5 using binomial theorem giving your answer to four significant figures
(Solved)
Expand (0.07)5 using binomial theorem giving your answer to four significant figures
Date posted:
September 24, 2019
.
Answers (1)
-
The middle digit of a number between 100 and 1000 is zero, and the sum of the other digits is 11. If the digits are...
(Solved)
The middle digit of a number between 100 and 1000 is zero, and the sum of the other digits is 11. If the digits are reversed the number so formed exceeds the original by 495. Find the number.
Date posted:
September 24, 2019
.
Answers (1)
-
Use logarithm tables to evaluate
(Solved)
Use logarithm tables to evaluate 
Date posted:
September 24, 2019
.
Answers (1)
-
Triangle ABC is such that A(-5, 1), B(-1, 1) and C(-3, 4). Triangle A'B'C'.is the image of ?ABC under transformation
a)Determine the co-ordinates of ?A'B'C'.
b)On...
(Solved)
Triangle ABC is such that A(-5, 1), B(-1, 1) and C(-3, 4). Triangle A′B′C′.is the image of ∆ABC under transformation 
a)Determine the co-ordinates of ∆A′B′C′.
b)On the grid provided draw ∆ABC and ∆A′B′C′.
c)Describe the transformation T fully.
d)∆A′′B′′C′′ is a reflection of the ∆A′B′C′ on the line y = -x. Construct∆A′′B′′C′′.
e)Determine a single matrix that maps ∆A′′B′′C′′ onto ∆ABC.
Date posted:
September 24, 2019
.
Answers (1)