-
A tall building has two barometers, one at the ground floor reading 750mmHg and the other at the top reading 748mmHg. Determine the height of...
(Solved)
A tall building has two barometers, one at the ground floor reading 750mmHg and the other at the top reading 748mmHg. Determine the height of the building.
Date posted:
September 30, 2019
.
Answers (1)
-
The figure below shows a thermometer used by a doctor to determine the temperature of a patient. Why is it difficult to work with this...
(Solved)
The figure below shows a thermometer used by a doctor to determine the temperature of a patient. Why is it difficult to work with this thermometer?

Date posted:
September 30, 2019
.
Answers (1)
-
A uniform meter rule is balanced as shown in the figure below.By displacement method, the immersed object is found to occupy 13.5cm3. Determine the density...
(Solved)
A uniform meter rule is balanced as shown in the figure below.By displacement method, the immersed object is found to occupy 13.5cm3. Determine the density of the liquid in SI units.

Date posted:
September 30, 2019
.
Answers (1)
-
The figure below shows a marble placed on an inverted bowl.State and explain the type of equilibrium the marble is.
(Solved)
The figure below shows a marble placed on an inverted bowl.State and explain the type of equilibrium the marble is.

Date posted:
September 30, 2019
.
Answers (1)
-
The springs in figure below are identical.The extension produced in A is 4cm. What is the extension in B?
(Solved)
The springs in figure below are identical.The extension produced in A is 4cm. What is the extension in B?

Date posted:
September 30, 2019
.
Answers (1)
-
The water level in a burette is 20.3cm3. 50 drops of water each of volume 0.1cm3 are added to the water in the burette. What...
(Solved)
The water level in a burette is 20.3cm3. 50 drops of water each of volume 0.1cm3 are added to the water in the burette. What is the final reading of the burette?
Date posted:
September 30, 2019
.
Answers (1)
-
A 60 litre giant density bottle weighs 100N when empty. What will be its mass when filled with liquid W whose density is 0.72g/cm3? (g=10N/kg)
(Solved)
A 60 litre giant density bottle weighs 100N when empty. What will be its mass when filled with liquid W whose density is 0.72g/cm3? (g=10N/kg)
Date posted:
September 27, 2019
.
Answers (1)
-
A steel sphere released in a tall transparent water jar attains a constant velocity after a while. The same sphere released in air falls at...
(Solved)
A steel sphere released in a tall transparent water jar attains a constant velocity after a while. The same sphere released in air falls at a constant acceleration. Explain with a reason the difference in its motion in water and in air
Date posted:
September 27, 2019
.
Answers (1)
-
The figure below shows the features of a Geiger-Muller (G.M) Tube used for detecting radiation.
(Solved)
The figure below shows the features of a Geiger-Muller (G.M) Tube used for detecting radiation.

(i) State the use of Argon gas and Bromine.
Argon gas
Bromine
(ii) Explain how radiation from the source is detected by the tube.
(iii) State one use of radio activity in medicine.
Date posted:
September 27, 2019
.
Answers (1)
-
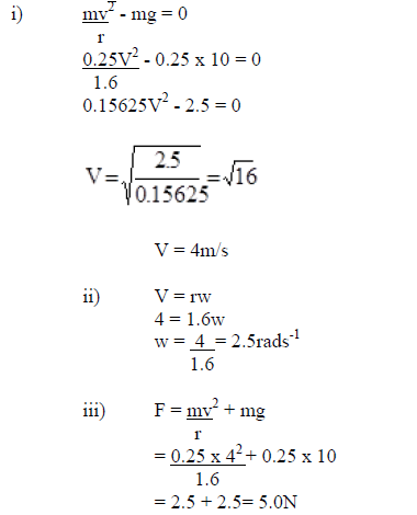
A block of mass 200g is placed on a frictionless rotating table while fixed to the centre of the table by a thin thread. The...
(Solved)
A block of mass 200g is placed on a frictionless rotating table while fixed to the centre of the table by a thin thread. The distance from the centre of the table to the block is 15cm. If the maximum tension the thread can withstand is 5.6N, determine the maximum angular velocity the table can attain before the thread cuts.
Date posted:
September 27, 2019
.
Answers (1)
-
The figure below shows a metal rod AB of length 2m horizontally balanced while supported by a pivot and a string.
(Solved)
The figure below shows a metal rod AB of length 2m horizontally balanced while supported by a pivot and a string.

Determine the mass of the metal rod if the tension is 15N.
Date posted:
September 27, 2019
.
Answers (1)
-
A block of wood of mass 80kg floats in water with 0.6 of its volume in water. Calculate the number of rods each 20g that...
(Solved)
A block of wood of mass 80kg floats in water with 0.6 of its volume in water. Calculate the number of rods each 20g that can be placed on the block so that its top is level with the surface of water.
Date posted:
September 27, 2019
.
Answers (1)
-
The figure below shows four equivalent springs with negligible weight, the weight of the rod R is 20N. Given that the spring constant is 5N/m....
(Solved)
The figure below shows four equivalent springs with negligible weight, the weight of the rod R is 20N. Given that the spring constant is 5N/m. Calculate the load L which causes an extension of 28m to the system.

Date posted:
September 27, 2019
.
Answers (1)
-
State any two possible ways of increasing velocity ratio of wheel and axle.
(Solved)
State any two possible ways of increasing velocity ratio of wheel and axle.
Date posted:
September 27, 2019
.
Answers (1)
-
What does it mean to say the density of water is 1g/cm3?
(Solved)
What does it mean to say the density of water is 1g/cm3?
Date posted:
September 27, 2019
.
Answers (1)
-
The diagram below shows two similar cups of tea containing equal volumes of hot tea at the same level. It was observed that the rate...
(Solved)
The diagram below shows two similar cups of tea containing equal volumes of hot tea at the same level. It was observed that the rate of cooling was the same in the two cups. Explain.

Date posted:
September 27, 2019
.
Answers (1)
-
A body is acted upon by a force of 10N towards the right hand side and 6N towards the left hand side. What is the...
(Solved)
A body is acted upon by a force of 10N towards the right hand side and 6N towards the left hand side. What is the resultant force?
Date posted:
September 27, 2019
.
Answers (1)
-
The figure below shows a rectangular block of wood with a hollow section at the position shown. The block is resting on a...
(Solved)
The figure below shows a rectangular block of wood with a hollow section at the position shown. The block is resting on a horizontal bench.

State and explain the effects on stability of the block when the hollow section is filled with water.
Date posted:
September 27, 2019
.
Answers (1)
-
The figure below shows two identical balloons A and B the balloons were filled with equal amounts of same type of gas. The balloons are...
(Solved)
The figure below shows two identical balloons A and B the balloons were filled with equal amounts of same type of gas. The balloons are suspected at distance X1 and X2 from a metal cube filled with boiling water and placed on an insulating material.

a. State the mode by which heat travels from the cubes to the balloons.
b. The face of the cube towards A is bright and shiny and face towards B is dull black. State with reasons the adjustments that should be made on the distances XI and X2 so that the rate of change of temperature in both balloons remains the same
Date posted:
September 27, 2019
.
Answers (1)
-
A nail is electrically magnetized, it attracts an increasing number of pins as the magnetizing current increase. After some time it can no longer attract...
(Solved)
A nail is electrically magnetized, it attracts an increasing number of pins as the magnetizing current increase. After some time it can no longer attract any more pins. Explain this observation domain theory.
Date posted:
September 27, 2019
.
Answers (1)