-
Hellen’s earnings are as follows:
Basic salary sh. 38000 per month
House allowance sh. 14000 per months
Travelling allowance sh.8500 per month and
Medical allowance Ksh.3300 per month.
She is...
(Solved)
Hellen’s earnings are as follows:
Basic salary sh. 38000 per month
House allowance sh. 14000 per months
Travelling allowance sh.8500 per month and
Medical allowance Ksh.3300 per month.
She is given a personal relief of Ksh. 12672
The table for payable tax is shown below
Income in K£ p.a Payable tax rate in Kshs per K£
0-6000 2
6001-12000 3
12001-18000 4
18001 -24000 5
24001-30000 6
30001-36000 7
36001-42000 8
42001-48000 9
Over 48000 10
Calculate
(a) (i) Hellen’s taxable income in K£ p.a
(ii) Her P.A.Y.E
(b) Hellen is deducted the following items per month
NHIF Ksh.320
Cooperative shares Ksh.2000
Loan repayment Ksh5000
Determine her net salary per month
Date posted:
September 30, 2019
.
Answers (1)
-
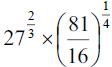
Use logarithms only to evaluate
(Solved)
Use logarithms only to evaluate

Date posted:
September 30, 2019
.
Answers (1)
-
Without using mathematical tables or a calculator evaluate;
(Solved)
Without using mathematical tables or a calculator evaluate;

Date posted:
September 30, 2019
.
Answers (1)
-
Position vectors A and B are 3i+2j+k and –i+3j+4k respectively. Determine the magnitude of AB.
(Solved)
Position vectors A and B are 3i+2j+k and –i+3j+4k respectively. Determine the magnitude of AB.
Date posted:
September 30, 2019
.
Answers (1)
-
From a point A the angle of elevation of the top of a tree is 250. From another point B which is 10m from the...
(Solved)
From a point A the angle of elevation of the top of a tree is 250. From another point B which is 10m from the base of the tree, the angle of elevation of the top of the tree is 36.5. Giving your answer to 1 decimal place
(a) Determine the height of the tree.
(b) Calculate the distance between A and B.
Date posted:
September 30, 2019
.
Answers (1)
-
The first term of a geometric sequence is 16 and the fifth term is 81 find the sum of the first 10 terms giving your...
(Solved)
The first term of a geometric sequence is 16 and the fifth term is 81 find the sum of the first 10 terms giving your answer correct to 2 decimal places.
Date posted:
September 30, 2019
.
Answers (1)
-
Jane invested sh. P at 7.5% p.a compound interest in a bank. After 8 years she was given sh. 30,000. Calculate to the nearest shilling...
(Solved)
Jane invested sh. P at 7.5% p.a compound interest in a bank. After 8 years she was given sh. 30,000. Calculate to the nearest shilling the value of P.
Date posted:
September 30, 2019
.
Answers (1)
-
State all the intergral values of x that satisfy the following inequality.
2x-3=3x+5=7x+6
(Solved)
State all the intergral values of x that satisfy the following inequality.
2x-3≤3x+5≥7x+6
Date posted:
September 30, 2019
.
Answers (1)
-
The cost of water is partly constant and partly varies as the number of units consumed. A family that use 10 units pays sh. 320...
(Solved)
The cost of water is partly constant and partly varies as the number of units consumed. A family that use 10 units pays sh. 320 and a family that uses 12 units uses sh. 370 for water. Calculate the amount paid by a family that uses 20 units of water in a month.
Date posted:
September 30, 2019
.
Answers (1)
-
A student gave the expansion of (x+y)2 as x2+y2.
(Solved)
A student gave the expansion of (x+y)2 as x2+y2. Find the percentage error in the expansion by the student if x=2.5 and y=3.0
Date posted:
September 30, 2019
.
Answers (1)
-
Make x the subject of the formular.
(Solved)
Make x the subject of the formular.

Date posted:
September 30, 2019
.
Answers (1)
-
Use tables of logarithms to evaluate;
(Solved)
Use tables of logarithms to evaluate;

Date posted:
September 30, 2019
.
Answers (1)
-
Evaluate ;
(Solved)
Evaluate ;

Date posted:
September 30, 2019
.
Answers (1)
-
Three pegs R,S and T are on the corners of a triangular plain field. R is 300m from S on a bearing of 300o and...
(Solved)
Three pegs R,S and T are on the corners of a triangular plain field. R is 300m from S on a bearing of 300o and T is 450 m directly south of R
(a) Using a scale of 1:6000 draw a diagram to show the positions of the pegs
(b) Use the scale drawing to determine:
(i) The distance between T and S in metres.
(ii) The bearing of T from S
(c) Find the area of the field, in hectares correct to one decimal place
Date posted:
September 30, 2019
.
Answers (1)
-
A trader has sh. 1200,000 and divided it in the ratio 5:3. He used the larger amount to buy a car and invested the remainders...
(Solved)
A trader has sh. 1200,000 and divided it in the ratio 5:3. He used the larger amount to buy a car and invested the remainders in a bank that paid simple interest at a rate of 8% p.a. after 1½ years he sold the car at 25% less what she bought it. He also withdraw his money and interest from the bank
Calculate;
(a) Amount the trader invested in the bank.
(b) Amount he sold the car.
(c) Amount he withdrew from the bank.
(d) The percentage of the initial amount he had after selling the car and withdrawing all the amount
Date posted:
September 30, 2019
.
Answers (1)
-
Two towns A and B are 360km apart. Msamaria left A at 8.15am and travelled towards B at an average speed of 90km/hr. After 21/3hours...
(Solved)
Two towns A and B are 360km apart. Msamaria left A at 8.15am and travelled towards B at an average speed of 90km/hr. After 21/3hours a minibus left B towards A at an average speed of 110km/hr
(a)(i) At what time did the two vehicles meet?
(ii) How far from A did they meet?
(b) A motorist started from his home at 10.30am on the same day towards B at a speed of 100km/hr and arrived at B at the same time as Msamaria. Calculate the distance from A to his house.
Date posted:
September 30, 2019
.
Answers (1)
-
Marks scored by 100 students in a test were recorded as follows
(a) Determine the value of x.
(b) State the modal class.
(c) Calculate the...
(Solved)
Marks scored by 100 students in a test were recorded as follows

(a) Determine the value of x.
(b) State the modal class.
(c) Calculate the median mark.
(d) Calculate the mean mark
Date posted:
September 30, 2019
.
Answers (1)
-
The figure below shows a cone with water filled as shown below.
(a) Calculate the volume of water in the vessel.
(b) Metal hemisphere is completely submerged...
(Solved)
The figure below shows a cone with water filled as shown below.

(a) Calculate the volume of water in the vessel.
(b) Metal hemisphere is completely submerged in the water, causing the water level to rise by 6cm. calculate
(i) The radius of the new water surface.
(iii) The diameter of the hemisphere.
Date posted:
September 30, 2019
.
Answers (1)
-
Use a ruler and compasses only in this question.
(a) Construct triangle ABC such that AB=6cm, AC=8.5cm and 0
(b) Draw a bisector of line AB from...
(Solved)
Use a ruler and compasses only in this question.
(a) Construct triangle ABC such that AB=6cm, AC=8.5cm and 0
(b) Draw a bisector of line AB from M on AB to meet BC at N.
(c) Determine the areas;
(i) MBN
(ii) AM NC
(d) Express the ratio of the area MBN to AMNC in the form 1: n
Date posted:
September 30, 2019
.
Answers (1)
-
A swimming pool 30m long is 1m deep at its shallow end and 4m deep at its deep end. The pool is 4m wide
(a) Calculate...
(Solved)
A swimming pool 30m long is 1m deep at its shallow end and 4m deep at its deep end. The pool is 4m wide
(a) Calculate the volume of water in cubic metres when the pool is full.
(b) A circular pipe of diameter 14cm is sued to empty the swimming pool. Water flows through the
pipe at a speed of 5m per second. Calculate the time it would take to the nearest minute to empty
the tank.
Date posted:
September 30, 2019
.
Answers (1)