-
Simplify the expression
(Solved)
Simplify the expression

Date posted:
October 7, 2019
.
Answers (1)
-
Mrs. Wekesa paid Kshs. 12500 for a wrist watch after the shopkeeper gave her a discount of 2%. If the shopkeeper made a profit of...
(Solved)
Mrs. Wekesa paid Kshs. 12500 for a wrist watch after the shopkeeper gave her a discount of 2%. If the shopkeeper made a profit of 20% calculate the price the shopkeeper bought from the manufacturer.
Date posted:
October 7, 2019
.
Answers (1)
-
Solve for x in
(4/9)x x (8)1-x = 486
(Solved)
Solve for x in
(4/9)x x (8)1-x = 486
Date posted:
October 7, 2019
.
Answers (1)
-
Use tables of reciprocals, squares and cube roots to evaluate the following
(Solved)
Use tables of reciprocals, squares and cube roots to evaluate the following

Date posted:
October 7, 2019
.
Answers (1)
-
Use the exchange rates below to answer this question
Buying selling
...
(Solved)
Use the exchange rates below to answer this question
Buying selling
1 US dollar 63.00 63.20
1 UK£ 125.30 125.95
A tourist arriving in Kenya from Britain had 9600 UK sterling pounds (£). He converted the pounds to Kenya shillings at a commission of 5%. While in Kenya he spent ¾ of this money. He changed the balance to US dollars after his stay. If he was not charged any commission for this last transaction, calculate to the nearest US dollars the amount he received.
Date posted:
October 7, 2019
.
Answers (1)
-
The scale of a map is given as 1:50,000
Find the actual area in hectares of a region represented by a triangle of sides 6cm by...
(Solved)
The scale of a map is given as 1:50,000
Find the actual area in hectares of a region represented by a triangle of sides 6cm by 7cm by 8cm (give your answer to the nearest whole number).
Date posted:
October 7, 2019
.
Answers (1)
-
3 pens and 5 exercise books cost Shs. 111. 4 pens and 3 exercise books cost Kshs 18 less.
Determine the cost of each item
(Solved)
3 pens and 5 exercise books cost Shs. 111. 4 pens and 3 exercise books cost Kshs 18 less.
Determine the cost of each item
Date posted:
October 7, 2019
.
Answers (1)
-
The interior angles of hexagon are (4x -5 )0, (4x + 5)0, 3x0, (4x +26)0, 2x0 and (2x + 5)0
Find the value of x
(Solved)
The interior angles of hexagon are (4x -5 )0, (4x + 5)0, 3x0, (4x +26)0, 2x0 and (2x + 5)0
Find the value of x
Date posted:
October 7, 2019
.
Answers (1)
-
Evaluate 5 ½ -1 1/7 (1 1/5 + 9/10 ) + 1/3 of(2/3 ÷5/6)
(Solved)
Evaluate 5 ½ -1 1/7 (1 1/5 + 9/10 ) + 1/3 of(2/3 ÷5/6)
Date posted:
October 7, 2019
.
Answers (1)
-
Simplify completely
(Solved)
Simplify completely

Date posted:
October 4, 2019
.
Answers (1)
-
Without using Logarithms tables or a calculator evaluate.
(Solved)
Without using Logarithms tables or a calculator evaluate.

Date posted:
October 4, 2019
.
Answers (1)
-
A frustrum whose vertical height is 4cm is formed by cutting the top of a cone parallel to the base if the two radii of...
(Solved)
A frustrum whose vertical height is 4cm is formed by cutting the top of a cone parallel to the base if the two radii of the frustrum are 6cm and 8cm respectively, determine the height of the original cone.
Date posted:
October 1, 2019
.
Answers (1)
-
In the figure below (not drawn to scale) has points P, Q, R and S on the circumference of the circle
centre O, such that PQ...
(Solved)
In the figure below (not drawn to scale) has points P, Q, R and S on the circumference of the circle
centre O, such that PQ is parallel to SR and angle SRQ = 125o

Determine the size of angle:-
a) QOS obtuse
b) QPS
c) SQR
Date posted:
October 1, 2019
.
Answers (1)
-
During a certain period the exchange rates at a Pesa point were;
(Solved)
During a certain period the exchange rates at a Pesa point were;
Buying shs...................... Selling shs
Riyal 19.68....................... 19.78
A tourist arrived with 5480 Riyal which he changed to Kshs. He spend 2/3 of the total in visiting various sites. As he was leaving he changed all he had to Riyal. How much did he leave with? Answer to 1 d.p.
Date posted:
October 1, 2019
.
Answers (1)
-
Factorise and hence simplify completely
(Solved)
Factorise and hence simplify completely

Date posted:
October 1, 2019
.
Answers (1)
-
Complete the table below for y=2 sin x and y= cos ½ x
(Solved)
Complete the table below for y=2 sin x and y= cos ½ x

Date posted:
September 30, 2019
.
Answers (1)
-
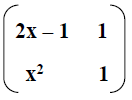
Find the value of x given that is a singular matrix.
(Solved)
Find the value of x given that
is a singular matrix.
Date posted:
September 30, 2019
.
Answers (1)
-
A transport company has two types of vehicles for hire: lorries and buses. The vehicles are hired
per day. The cost of hiring two lorries and...
(Solved)
A transport company has two types of vehicles for hire: lorries and buses. The vehicles are hired
per day. The cost of hiring two lorries and five buses is sh. 156000 and that of hiring 4 lories and
three buses is sh. 137,000
(i) Form two equations to represent the above information.
(ii) Use matrix method to determine the cost of hiring a lorry and that of hiring a bus.
Date posted:
September 30, 2019
.
Answers (1)
-
Find the inverse of the matrix.
(Solved)
Find the inverse of the matrix.

Date posted:
September 30, 2019
.
Answers (1)
-
A group of people planned to contribute sh.2000 000 to start a business. However before the contributions were made the group disintegrated and 40 members...
(Solved)
A group of people planned to contribute sh.2000 000 to start a business. However before the contributions were made the group disintegrated and 40 members pulled out. A a result each of the remaining members were to contribute sh. 2500 more/
(a) Find the original number of members in the group.
(b) After each member contributing half of the expected amount the members opted to get a bank
That would offset ¼ of the remaining amount. How much would each member contribute after
he bank loan.
(c) Twenty new members joined the group just before the business started. As a result the old
Members were to be refunded some money. How much was the refund?
Date posted:
September 30, 2019
.
Answers (1)