-
The first three terms of a G.P. are the first, fourth and tenth terms of an A.P. Given that the first
term is 6 and that...
(Solved)
The first three terms of a G.P. are the first, fourth and tenth terms of an A.P. Given that the first
term is 6 and that all the terms of the G.P. are different, find the common ratio.
Date posted:
November 2, 2019
.
Answers (1)
-
Solve for x given logx3 + log3X = 2.
(Solved)
Solve for x given logx3 + log3X = 2.
Date posted:
November 2, 2019
.
Answers (1)
-
y varies partly as the square root of x and partly varies inversely as the cube of x.
When y=2, x=4 and when y=3, x=1. Express...
(Solved)
y varies partly as the square root of x and partly varies inversely as the cube of x.
When y=2, x=4 and when y=3, x=1. Express y in terms of x.
Date posted:
November 2, 2019
.
Answers (1)
-
A point T divides line AB externally in the ratio 8:2. Given that the position vectors of A and B are 3i - 4l +...
(Solved)
A point T divides line AB externally in the ratio 8:2. Given that the position vectors of A and B are 3i - 4l + k and -1 +j -3k respectively. Find the position vector of T in unit vector form.
Date posted:
November 2, 2019
.
Answers (1)
-
Solve for x given that 2 sin x = tax x for 00 = x = 3600
(Solved)
Solve for x given that 2 sin x = tax x for 00 ≤ x ≤ 3600
Date posted:
November 2, 2019
.
Answers (1)
-
Given sin find cos (90 - theta) without using mathematical tables or calculators.
(Solved)
Given sin
find cos (90 - theta) without using mathematical tables or calculators.
Date posted:
November 2, 2019
.
Answers (1)
-
Make P the subject of the formula
(Solved)
Make P the subject of the formula

Date posted:
November 2, 2019
.
Answers (1)
-
The figure below shows a transverse pulley systems.
The wheels have radius 15cm and 10cm respectively. If O1X=30cm and XO2 =20cm
Calculate:
(a) AO1C
(b) DO2F
(c) Length AD...
(Solved)
The figure below shows a transverse pulley systems.

The wheels have radius 15cm and 10cm respectively. If O1X=30cm and XO2 =20cm
Calculate:
(a) AO1C
(b) DO2F
(c) Length AD to 4 decimal places
(d) Length BE
(e) Length of arc ABC and BEF.
(f) The length of the belt
Date posted:
November 2, 2019
.
Answers (1)
-
A bus left town A at 5:20am to town B 610km away at an average speed of 60km/hr. After 3 hrs 10 minutes, a van...
(Solved)
A bus left town A at 5:20am to town B 610km away at an average speed of 60km/hr. After 3 hrs 10 minutes, a van left town B and travelled towards A at an average speed of 80km/hr.
(a) (i) At what time did they meet
(ii) How far from A was the meeting point
b) A car left town B at 9:00am and travelled towards A at an average speed of 100km/hr.
Determine
(i) The time the car caught up with the van
(ii) The distance the car travelled to catch up with the van.
Date posted:
November 2, 2019
.
Answers (1)
-
A triangle has vertices P(1,2) Q(3,5) and R(5,3)
a) Draw triangle PQR and its image P1Q1R1 under a translation vector
b) Draw triangle PII QII RII ,...
(Solved)
A triangle has vertices P(1,2) Q(3,5) and R(5,3)
a) Draw triangle PQR and its image P1Q1R1 under a translation vector 
b) Draw triangle PII QII RII , the image of triangle PI QI RI under a rotation of half turn about the origin
c) Triangle PIII QIII RIII is the image of triangle PII QII RII under reflection in the line y=x.
Draw triangle PIII QIII RIII and state its co-ordinates.
d) Triangle PIII QIII RIII is reflected in the line x=0. State the co-ordinates of its image
Date posted:
November 2, 2019
.
Answers (1)
-
Find the equation of the normal to the curve y=x2 – 4x + 5 at the point (4,5)
(Solved)
Find the equation of the normal to the curve y=x2 – 4x + 5 at the point (4,5)
Date posted:
November 1, 2019
.
Answers (1)
-
Juma needs to import a car from Japan whose cost is US $ 5000 outside Kenya. He intends to buy the car through an agent...
(Solved)
Juma needs to import a car from Japan whose cost is US $ 5000 outside Kenya. He intends to buy the car through an agent who deals in Japanese yen. The agent will charge him 20% commission on the price of the car and a further 80325 Japanese yen for shipment of the car. How many Kshs will he need to send to the agent to get the car given that
1 US $ = 105.00 Japanese yen
1 US $ = KShs 63.00
Date posted:
November 1, 2019
.
Answers (1)
-
ABCD is a parallelogram. DAB=124o. The bisectors of angle BCD and angle ADC meet at x. Find angle DXC (Reflex)
(Solved)
ABCD is a parallelogram. DAB=124o. The bisectors of angle BCD and angle ADC meet at x. Find angle DXC (Reflex)

Date posted:
November 1, 2019
.
Answers (1)
-
Find the inequalities that defines the region marked R in the diagram below.
(Solved)
Find the inequalities that defines the region marked R in the diagram below.

Date posted:
November 1, 2019
.
Answers (1)
-
(a) Construct triangle PQR where PQ = 6cm, QR = 9cm and PR = 8cm.
(b)Drop a perpendicular from P to meet QR at M. Measure...
(Solved)
(a) Construct triangle PQR where PQ = 6cm, QR = 9cm and PR = 8cm.
(b)Drop a perpendicular from P to meet QR at M. Measure PM hence calculate the area of
triangle PQR
Date posted:
November 1, 2019
.
Answers (1)
-
Evaluate
(Solved)
Evaluate 
Date posted:
November 1, 2019
.
Answers (1)
-
Simplify the expression and hence solve the equation
(Solved)
Simplify the expression
and hence solve the equation 
Date posted:
November 1, 2019
.
Answers (1)
-
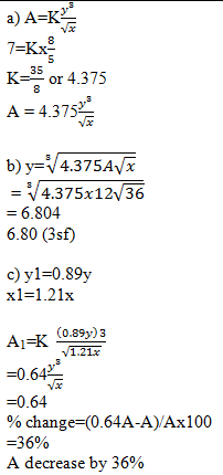
Three quantities P, Q and R are such that P varies directly as the square of Q and inversely as the square root of R.
a)Given...
(Solved)
Three quantities P, Q and R are such that P varies directly as the square of Q and inversely as the square root of R.
a)Given that P = 20 when Q = 5 and R = 9. Find P when Q = 7 and R = 25
b)If Q increased by 20% and R decreased by 36%, find the percentage change in P
Date posted:
October 30, 2019
.
Answers (1)
-
a)Two blends of tea costing Ksh. 140 and Ksh.160 per kg respectively are mixed in the ratio 2:3 by mass. The mixture is sold at...
(Solved)
a)Two blends of tea costing Ksh. 140 and Ksh.160 per kg respectively are mixed in the ratio 2:3 by mass. The mixture is sold at sh.240 per kg.
i)Find the percentage profit
ii)In what ratio should the two blends be mixed to get a mixture that costs sh.148 per kg
b)A quantity P is partly constant and partly varies as the cube of Q. when Q = 2, P = 50 and when Q =4, P =330. Find the value of Q when P= 16885
Date posted:
October 30, 2019
.
Answers (1)
-
An aircraft leaves town P(300S,140W) and moves directly east to town Q at a speed of 270 knots for 12 hours. Determine;
a)The distance moved in...
(Solved)
An aircraft leaves town P(300S,140W) and moves directly east to town Q at a speed of 270 knots for 12 hours. Determine;
a)The distance moved in nautical miles
b)The distance moved in km (take 1nm = 1.853km)
c)The position of town Q
d)The local time at Q if the local time at P is 9.13pm. Give the answer to the nearest minute.
Date posted:
October 30, 2019
.
Answers (1)